Hector SLAM 原理详解、算法解析

article/2025/10/5 21:43:02

目录

  1.原理详解

  2.算法解析


1.原理详解

Hector整体算法很直接,就是将激光点与已有的地图“对齐”,即扫描匹配。扫描匹配就是使用当前帧与已经有的地图数据构建误差函数,使用高斯牛顿法得到最优解和偏差量。其工作是实现激光点到栅格地图的转换,t时刻所有的激光点都能变换到栅格地图中,也就意味着匹配成功。

  具体流程为:

首先初始时刻激光自身的坐标系与栅格地图坐标系重合,即激光在地图中的初始位姿(estimate)已知,激光的第一帧扫描数据在地图中的坐标已知。接着,获取到第二帧激光扫描数据,第二帧数据在激光雷达坐标系下的坐标是可以测出的(根据激光雷达的range、angle便可得到在激光坐标系下的坐标),但是不知道与第一帧的相对位置关系。

下一步就是实现这两帧数据的匹配,我们假设两帧数据无限接近,即激光点在栅格地图占用值接近1(占用值越大,匹配的效果越好)。然后构造最小二乘法,对函数先对括号内部展开,然后对使误差偏导为0,求解高斯牛顿方程(其中有用到地图求偏导的方程(双线性插值法),带入即可求出位姿增量(在hector位姿增量用变量searchDir)。

 接下来就可求出第二帧激光在地图坐标系下的位姿(第一帧位姿加上位姿增量即可得到,estimate += searchDir),slam中定位完成。

接下来建图,后一帧的激光位姿求出,因为已知后一帧激光点在激光坐标系下的坐标,所以可根据后一帧激光位姿得后一帧激光点在地图中坐标,即映射到地图中,完成slam建图过程。

cartographer中的前端匹配使用了双三次线性插值+ceres库求解非线性优化问题(构造最小二乘,优化匹配),而hector slam中使用了双线性插值+高斯牛顿求解非线性优化问题


hector存在的问题:
1、其中对于双线性差值,在理论上存在不连续的可能,Pm可能在计算的时候迭代的过程中跑出P00->P11围成的正方形。这个问题也被google的cartographer改进为三线性差值。

https://github.com.cnpmjs.org/googlecartographer/cartographer
2、没有对地图的修正能力,一旦地图出错,之后的匹配也都会出现问题。

2.算法解析

算法解析参考


http://chatgpt.dhexx.cn/article/4ctmKRHg.shtml

相关文章

MPU 6050姿态角度融合算法

1、介绍 1.1 姿态角(Euler角)pitch yaw roll介绍 飞行器的姿态角并不是指哪个角度,是三个角度的统称。它们是:俯仰、滚转、偏航。你可以想象是飞机围绕XYZ三个轴分别转动形成的夹角。 地面坐标系(earth-surface inert…

linemod算法过程理解

一、提取模板 1、预处理 使用高斯模糊预处理将要作为模板的RGB图 2、模板梯度计算 分别计算RGB三个通道中每个像素点x和y方向的梯度(sobel算子),取幅值最大的作为该像素的梯度,若梯度幅度值小于阈值,则被舍弃 3、梯度离…

MATLAB函数angle、unwrap

一、angle 相位角 语法 P angle(Z)描述 P angle(Z)返回复数数组Z的每个元素的相角(以弧度为单位)。角度介于π之间。对于复数Z,幅值R和相角theta由下式给出 R 绝对值(Z&#xff0…

fbp算法matlab实现,matlab实现fbp算法

matlab提供大量函数,可以方便的完成fbp算法 1)fbp算法原理: 中心切片定理 (CST) : 原数据投影的一维傅立叶变换等于原数据的二维傅立叶变换 投影 --> 一维傅立叶变换 --> 滤波 --> 二维傅立叶反变换 经过上述过程应该得到原始数据 2)投影相关知识 2.1)正投影:对…

一种简单的图形旋转算法

图形旋转好玩又有实用性, 这里介绍一种简单的图形旋转算法. 具体步骤如下: 1. 首先将原图和旋转图的坐标原点都变换到图形的中心位置处. 2. 历遍旋转图形中的每一个pixel, 将pixel的坐标(j,i)反向旋转映射到原图, 得到原图对应的坐标值(Xr,Yr). 3. 考虑到旋转图的尺寸可能大于…

多目标跟踪之数据关联算法——匈牙利算法

零、Track和Detection的cost matrix,distance metric。距离计算的方式有如下几种: 距离cost distance metric,track和detection的距离矩阵。 外观距离appearance distance,来自检测切片ROI的网络特征提取;——余弦距离 运动模型距离 马氏距离,来自检测-跟踪的kalman校正…

EAST算法简单解析

前言 最近写了很多算法代码的解析,但是却很少写原理的解析,这段时间学得快忘得也快,所以寻思这几天写几篇学过算法的原理,可能不是很详细但是一定很简单,利于理解。 算法介绍 EAST: An Efficient and Accurate Scen…

定位算法初探

定位算法初探 一、指纹定位算法介绍 指纹定位(finger-printing localization)算法,是基于室内环境复杂,信号反射折射所形成的在不同位置形成的不同的信号强度信息而提出的一套算法。 指纹算法能很好的利用了反射折射所形成的信号信息,离线首…

使用python模拟实现PID控制算法

使用python模拟实现PID控制算法 PID控制算法是工业应用中最广泛算法之一,在闭环系统的控制中,可自动对控制系统进行准确且迅速的校正。 P、I、D分别是“比例(proportional)、积分(integral)、微分&#xff…

TCP Nagle算法简述

TCP/IP协议中,无论发送多少数据,总是要在数据前面加上协议头,同时,对方接收到数据,也需要发送ACK表示确认。为了尽可能的利用网络带宽,TCP总是希望尽可能的发送足够大的数据。 (一个连接会设置M…

倒角算法推导

推导原理基本很简单: 已知AB, BC两条线段,且交于B点,求倒角半径为 L,AB,BC的倒角 以最短边(假定为AB)长 LAB, 在BC中,以B为起点,找出与LAB同长度…

[控制算法]

[常用控制算法] 0.博览众长 0.1 视频 1. DR_CAN b站 0.2 文章 1.控制算法整理 0.3 传统 VS 现代控制算法 1. 传统 传统控制算法:PID,模糊,神经网络控制算法。 2. 现代 现代控制算法有比例,LQR算法(用于线性系统)&#x…

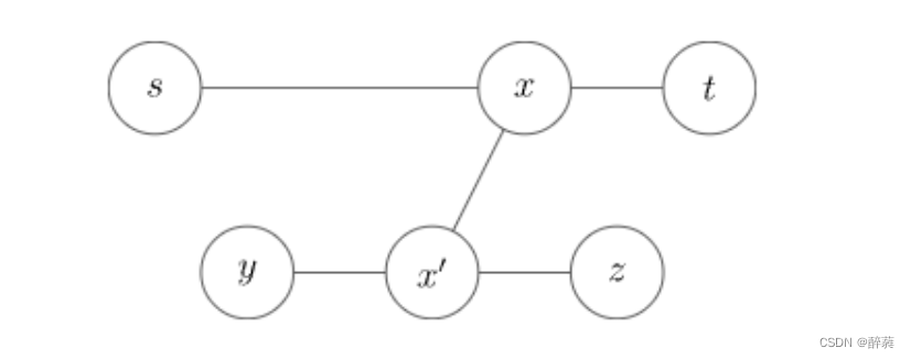
求树的直径证明

树的直径(最长路) 的详细证明 主要是利用了反证法: 假设 s-t这条路径为树的直径,或者称为树上的最长路 现有结论,从任意一点u出发搜到的最远的点一定是s、t中的一点,然后在从这个最远点开始搜,就…

树的直径和树的重心

1.树包括有根树和无根树,有根树是有向图的子图,无根树是无向图的子图,都满足边数等于节点数减一。根是入度为零或没有父亲的节点 2.树的直径:树上最长的简单路径(不重复经过点的路径) 3.求解算法&#xf…

树的直径总结

树的直径 一、定义 在一棵树中,最远的两个子节点之间的距离被称为树的直径; 链接这两个点的路径被称为树的最长链; 有两种求法,时间复杂度均为 O ( n ) O(n) O(n) ; 二、树形DP 1. 状态 由于一个点的最长路通过…

基础算法 - 树的直径

题目地址:https://leetcode-cn.com/problems/tree-diameter/ 1245. 树的直径 难度中等48收藏分享切换为英文接收动态反馈 给你这棵「无向树」,请你测算并返回它的「直径」:这棵树上最长简单路径的 边数。 我们用一个由所有「边」组成的数…

树的直径-c++

题目 实验室里原先有一台电脑(编号为1),最近氪金带师咕咕东又为实验室购置了N-1台电脑,编号为2到N。每台电脑都用网线连接到一台先前安装的电脑上。但是咕咕东担心网速太慢,他希望知道第i台电脑到其他电脑的最大网线长度,但是可怜…

求树的直径算法以及证明

以下为两次dfs(bfs)的做法以及正确性证明。 算法步骤 (1)任取树上一点S,以S为源点BFS得S到各个顶点的d值; (2)取d值最大者之一为P,再以P为源点BFS得P到各个顶点的d值&am…

求树的直径

树的直径,即树上的最长路径,显然,树的直径可以有很多条(考虑一棵菊花)。 接下来我们考虑如何求出一棵树的直径。有很多种O(n)的算法。 算法1:我们任取树中的一个节点x,找出距离它最远的点y&am…

数据结构 树的直径

学习的最大理由是想摆脱平庸,早一天就多一份人生的精彩;迟一天就多一天平庸的困扰。 学习日记 目录 学习日记 一、定义 二、两次DFS 定理: 反证法证明: 1、若y在d(t,s)上 2、若y不在d(s,t)上,且d(y,z)与d(s.t)…