基础算法 - 树的直径

article/2025/10/6 23:57:27

题目地址:https://leetcode-cn.com/problems/tree-diameter/

1245. 树的直径

难度中等48收藏分享切换为英文接收动态反馈

给你这棵「无向树」,请你测算并返回它的「直径」:这棵树上最长简单路径的 边数

我们用一个由所有「边」组成的数组 edges 来表示一棵无向树,其中 edges[i] = [u, v] 表示节点 u 和 v 之间的双向边。

树上的节点都已经用 {0, 1, ..., edges.length} 中的数做了标记,每个节点上的标记都是独一无二的。

示例 1:

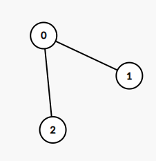
输入:edges = [[0,1],[0,2]]
输出:2
解释:
这棵树上最长的路径是 1 - 0 - 2,边数为 2。

示例 2:

输入:edges = [[0,1],[1,2],[2,3],[1,4],[4,5]]
输出:4
解释: 
这棵树上最长的路径是 3 - 2 - 1 - 4 - 5,边数为 4。

提示:

  • 0 <= edges.length < 10^4
  • edges[i][0] != edges[i][1]
  • 0 <= edges[i][j] <= edges.length
  • edges 会形成一棵无向树

 

两次BFS遍历

 

第一次遍历求出离当前节点最远的点

第二次遍历求出离 第一次最远的 点

两点之间的距离就是树的直径

    

时间复杂度O(N)

空间复杂度O(N)

	Map<Integer, Set<Integer>> graph = new HashMap();public int treeDiameter(int[][] edges){for(int i = 0; i < edges.length; i++){add(edges[i][0], edges[i][1]); add(edges[i][1], edges[i][0]);}int[] ints = bfs(0);int[] bfs = bfs(ints[0]);return bfs[1];}public int[] bfs(int cur){Set<Integer> st = new HashSet();st.add(cur);Queue<int[]> q = new LinkedList();q.offer(new int[]{cur, 0});int farthestNode = -1, farthestDist = 0;while (!q.isEmpty()){int[] poll = q.poll();farthestNode = poll[0];farthestDist = poll[1];for(Integer ne: graph.get(farthestNode)){if(!st.contains(ne)){st.add(ne);q.offer(new int[]{ne, farthestDist + 1});}}}return new int[]{farthestNode, farthestDist};}public void add(int a, int b){graph.putIfAbsent(a, new HashSet());graph.get(a).add(b);}

 

1617. 统计子树中城市之间最大距离

https://leetcode-cn.com/problems/count-subtrees-with-max-distance-between-cities/

给你 n 个城市,编号为从 1 到 n 。同时给你一个大小为 n-1 的数组 edges ,其中 edges[i] = [ui, vi] 表示城市 ui 和 vi 之间有一条双向边。题目保证任意城市之间只有唯一的一条路径。换句话说,所有城市形成了一棵 树 。

一棵 子树 是城市的一个子集,且子集中任意城市之间可以通过子集中的其他城市和边到达。两个子树被认为不一样的条件是至少有一个城市在其中一棵子树中存在,但在另一棵子树中不存在。

对于 d 从 1 到 n-1 ,请你找到城市间 最大距离 恰好为 d 的所有子树数目。

请你返回一个大小为 n-1 的数组,其中第 d 个元素(下标从 1 开始)是城市间 最大距离 恰好等于 d 的子树数目。

请注意,两个城市间距离定义为它们之间需要经过的边的数目。

 

示例 1:

输入:n = 4, edges = [[1,2],[2,3],[2,4]]
输出:[3,4,0]
解释:
子树 {1,2}, {2,3} 和 {2,4} 最大距离都是 1 。
子树 {1,2,3}, {1,2,4}, {2,3,4} 和 {1,2,3,4} 最大距离都为 2 。
不存在城市间最大距离为 3 的子树。
示例 2:

输入:n = 2, edges = [[1,2]]
输出:[1]
示例 3:

输入:n = 3, edges = [[1,2],[2,3]]
输出:[2,1]
 

提示:

2 <= n <= 15
edges.length == n-1
edges[i].length == 2
1 <= ui, vi <= n
题目保证 (ui, vi) 所表示的边互不相同。

 

 

 

 


http://chatgpt.dhexx.cn/article/EI41vLOO.shtml

相关文章

树的直径-c++

题目 实验室里原先有一台电脑(编号为1)&#xff0c;最近氪金带师咕咕东又为实验室购置了N-1台电脑&#xff0c;编号为2到N。每台电脑都用网线连接到一台先前安装的电脑上。但是咕咕东担心网速太慢&#xff0c;他希望知道第i台电脑到其他电脑的最大网线长度&#xff0c;但是可怜…

求树的直径算法以及证明

以下为两次dfs&#xff08;bfs&#xff09;的做法以及正确性证明。 算法步骤 &#xff08;1&#xff09;任取树上一点S&#xff0c;以S为源点BFS得S到各个顶点的d值&#xff1b; &#xff08;2&#xff09;取d值最大者之一为P&#xff0c;再以P为源点BFS得P到各个顶点的d值&am…

求树的直径

树的直径&#xff0c;即树上的最长路径&#xff0c;显然&#xff0c;树的直径可以有很多条&#xff08;考虑一棵菊花&#xff09;。 接下来我们考虑如何求出一棵树的直径。有很多种O(n)的算法。 算法1&#xff1a;我们任取树中的一个节点x&#xff0c;找出距离它最远的点y&am…

数据结构 树的直径

学习的最大理由是想摆脱平庸&#xff0c;早一天就多一份人生的精彩&#xff1b;迟一天就多一天平庸的困扰。 学习日记 目录 学习日记 一、定义 二、两次DFS 定理&#xff1a; 反证法证明&#xff1a; 1、若y在d(t,s)上 2、若y不在d(s,t)上&#xff0c;且d(y,z)与d(s.t)…

树的直径(最长的简单路径)

题解&#xff1a;分析一下&#xff0c;由于是树&#xff0c;所以两点之间的路径有且只有一条&#xff0c;为了求出欧拉路&#xff0c;所以必然会向回走&#xff0c;从递归的角度来看&#xff0c;假设x看作一个树根&#xff0c;有t个孩子y1…yt。其中每个孩子为根的子树欧拉路都…

树的直径概念及求解

文章目录 1. 使用两次DFS求得树的直径2. 使用树形DP求得树的直径3. 性质4. 参考文献和习题 树上任意两节点之间最长的简单路径即为树的「直径」。显然&#xff0c;一棵树可以有多条直径&#xff0c;他们的长度相等。可以用两次 D F S / B F S DFS/BFS DFS/BFS 或者树形 D P D…

树的直径两种求法

首先先介绍一下什么是树的直径&#xff0c;树的直径就是树中所有最短路经距离的最大值。 求树的直径通常有两种方法&#xff0c;一种是通过两次搜索&#xff08;bfs和dfs均可&#xff09;&#xff0c;另一种就是通过树形dp来求了。 先来介绍一下用两次深搜来求树的直径&#x…

树的直径的概念

树的直径的定义: 在一棵树中&#xff0c;每一条边都有权值&#xff0c;树中的两个点之间的距离&#xff0c;定义为连接两点的路径上边权之和&#xff0c; 那么树上最远的两个点&#xff0c;他们之间的距离&#xff0c;就被称之为&#xff0c;树的直径。 树的直径的别称&#x…

树的直径

【定义】 我们将一棵树T ( V&#xff0c;E )的直径定义为maxδ ( u&#xff0c;v ) ( u&#xff0c;v ∈ V )&#xff0c;也就是说&#xff0c;树中所有最短路径距离的最大值即为树的直径。 【做法】 例题传送门Cow Marathon&#xff08;POJ 1985&#xff09; 对于树的直径…

浅谈树的直径

一、定义&#xff1a; 我们将一棵树T(V,E)的直径定义为max(u,v) (u,v∈V)&#xff0c;也就是说&#xff0c;树中所有最短路径距离的最大值即为树的直径。&#xff08;就是树中的最长路径的长度&#xff09; 二、求解树德直径&#xff1a; 求得树的直径有两种方法&#xff0c;一…

3.网络基础-三层路由网络

3.1、IP地址 初识IP地址 • 在IP网络中&#xff0c;通信节点需要有一个唯一的IP地址&#xff1b; • IP地址用于IP报文的寻址以及标识一个节点&#xff1b; • IPv4地址一共32bits&#xff0c;使用点分十进制的形式表示&#xff1b; IP地址的分类 E类是保留地址 公有IP及私有…

计算机网络——配置动态路由实验

配置动态路由实验 实验目的实验软件实验要求实验知识实验步骤实验结果 实验目的 掌握 RIP 协议配置。RIP 协议配置的命令为&#xff1a;router(config)#network <connected-network> 其中参数 <connected-network> 表示路由器的直连网络号。 实验软件 Cisco Pac…

路由技术基础

路由技术是在网络拓扑结构中为不同节点的数据提供传输路径的技术&#xff0c;路由选择算法是其核心内容。路由选择算法分为静态路由选择算法和动态路由选择算法。 一.路由基础 1.路由的基本概念 路由、路由器 &#xff08;1&#xff09;路由 路由是指导IP报文从源发送到目…

网络路由交换 -- 静态路由 和 缺省路由

1.IP路由基础 1.什么是静态路由&#xff1f; 静态路由是由管理员手工添加的路由条目&#xff1b;通过静态路由添加的都是非直连网段。 2.静态路由的特点&#xff1f; 静态路由的添加和删除都需要手工完成&#xff1b;静态路由无法适应网络的动态变更&#xff0c;即缺乏适应…

cisco packet tracer配置网络路由

广州大学 计算机网络实验 配置网络路由 利用packet tracer搭建如图网络 中间是三个路由器&#xff0c;两边各接一台计算机。 首先先把网络搭建出来 1是路由器&#xff0c;2是终端设备&#xff0c;3是连接设备的线缆。左键点击1或者2或3&#xff0c;区域4就会出现不同的路由器…

路由的几个基本概念-直连路由/网关路由/主机路由/网络路由/动态路由/静态路由/默认路由

1.动态路由/静态路由 1&#xff09;动态路由 路由选择器自动共享路由信息 自动构造路由表&#xff0c;需要一个路由协议&#xff0c;如RIP或OSPF 2&#xff09;静态路由 路由选择器不共享路由信息&#xff08;单方向路由&#xff09; 手工构造路由表 2.直连路由/网关路由…

计算机网络-实验四:配置网络路由

一、实验目的 了解路由器的特点、基本功能及配置方法&#xff1b;使用模拟软件Packet Tracer 8.0&#xff0c;熟悉Cisco路由器的操作&#xff1b;配置静态路由和距离矢量路由协议RIP&#xff0c;实现给定网络的连通&#xff1b;从而加深对IP编址、路由转发机制、路由协议、路由…

广州大学 计算机网络实验 2020版 配置网络路由

一、实验目的 了解路由器的特点、基本功能及配置方法&#xff1b;使用模拟软件 Packet Tracer 5.3 熟悉 Cisco 路由器的操 作&#xff1b;配置静态路由和距离矢量路由协议 RIP&#xff0c;实现给定网络的连通&#xff1b;从而加深对IP 编址、路由转发机制、路由协 议、路由表的…

Ad hoc网络路由协议概述1——分类

目录 1. 传统Internet网络路由协议 1.1 距离矢量路由协议&#xff08;Distance Vector&#xff09; 1.2 链路状态路由协议&#xff08;Link State&#xff09; 1.3 在Ad hoc网络中的不适用性 1.3.1 动态变化的网络拓扑结构 1.3.2 周期性的广播拓扑信息 1.3.3 单向的无线…

3.2 Ad Hoc 网络路由协议

Ad Hoc 网络路由协议 Ad Hoc 网络路由面临的问题 在设计Ad Hoc 网络路由协议时&#xff0c;我们首先要明确可能面临的问题&#xff1a; &#xff08;1&#xff09;路由信息不易获得&#xff1a;定期交换路由信息的开销大、网络资源有限&#xff0c;并且必须被所有节点共享、节…