学习的最大理由是想摆脱平庸,早一天就多一份人生的精彩;迟一天就多一天平庸的困扰。
学习日记
目录
学习日记
一、定义
二、两次DFS
定理:
反证法证明:
1、若y在d(t,s)上
2、若y不在d(s,t)上,且d(y,z)与d(s.t)存在重合路径:
3、 若y不在d(s,t)上,且d(y,z)与d(s,t)不存在重合路径:编辑
三、树形DP
状态表示
一、定义
树的直径,又称树的最长链。我们将一棵树 T = {V, E} 的直径定义为max(u,v), 也就是说,树中所有最短路径距离的最大值即为树的直径。
显然,一棵树可以有多条直径,他们的长度相等。 可以用两次 DFS 或者树形 DP 的方法在
O(n) 时间求出树的直径。
二、两次DFS
首先从任意节点x开始进行第一次 DFS,到达距离其最远的节点,记为y,然后再从y开始做第二次 DFS,到达距离y最远的节点,记为,则即d(y,z)为树的直径。 显然,如果第一次 DFS 到达的节点y是直径的一端,那么第二次 DFS 到达的节点 一定是直径的一端。我 们只需证明在任意情况下, 必为直径的一端。
定理:
在一棵树上,从任意节点开始进行一次 DFS,到达的距离其最远的节点必为直径的一端。
反证法证明:
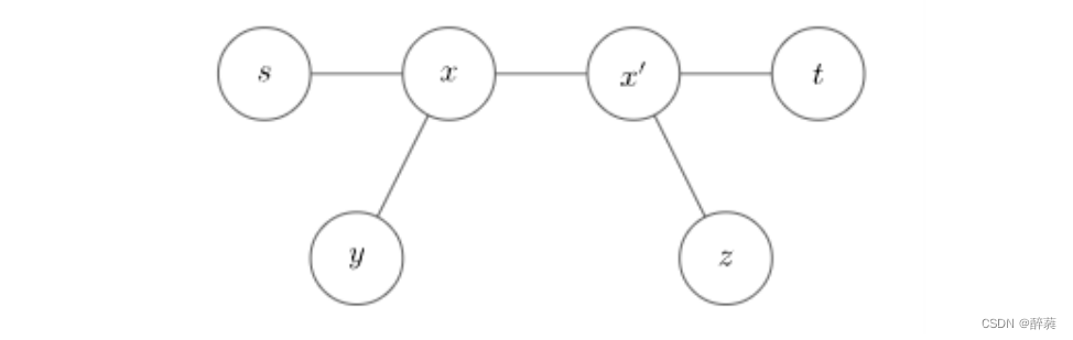
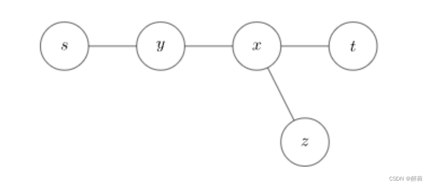
记出发点记出发节点为y。设真实的直径是d(s,t),而从y进行的第一次 DFS 到达的距离其 最远的节点z不为t或x。共分三种情况:
1、若y在d(t,s)上
有d(y,z)>d(s,t),则d(x,z)>d(x,t),得d(s,z)>d(s,t),与 d(s,t) 为树的直径矛盾。
2、若y不在d(s,t)上,且d(y,z)与d(s.t)存在重合路径:
有d(y,z)>d(s,t),则d(x,z)>d(x,t),得d(s,z)>d(s,t),与d(s,t)为树的直径矛盾。
3、 若y不在d(s,t)上,且d(y,z)与d(s,t)不存在重合路径:
有d(y,z)>d(s,t),则d(x',z)>d(x',t),d(x,z)>d(x,t),得d(s,z)>d(s,t),与d(s,t)为树的直径矛盾。
综上,三种情况下假设均会产生矛盾,故原定理得证。上述证明过程建立在所有路径均不为负的前提下。如树上存在负权边,则上述证明不成立。故如果存在负权边,则无法使用两次 DFS 的方式求解直径。
int maxdis,maxu;
void dfs(int u,int fa,int dis)
{ if(maxdis < dis) maxdis = dis , maxu = u; for(int i = h[u] ; ~i ; i = ne[i]) { int j = e[i]; if(j == fa) continue;dfs(j,u,dis+w[i]); }
}
dfs(1,-1,0); dfs(maxu,-1,0);
三、树形DP
记录当1为树的根时,每个节点作为子树的根向下,所能延伸的最远距离d1,和次远距离d2 ,那么直径就是所有d1+d2的最大值。树形 DP 可以在存在负权边的情况下求解出树的直径。
状态表示
f1[i]表示以i为根的子树中,i到叶子结点距离的最大值。f2[i]表示以i为根的子树中,i到叶子结点距离的次大值。
int f1[N],f2[N];
int ans;
void dfs(int u,int fa)
{ f1[u] = f2[u] = 0;for(int i = h[u] ; ~i ; i = ne[i]) { int j = e[i];if(j == fa) continue;dfs(j,u); if(f1[j]+w[i] > f1[u]) f2[u] = f1[u] , f1[u] = f1[j]+w[i]; else if(f1[j] + w[i] > f2[u]) f2[u] = f1[j] + w[i]; }ans = max(ans,f1[u]+f2[u]);
}
dfs(1,-1);