二次型化为标准型

article/2025/10/2 18:34:09

将二次型化为标准形有利于我们了解二次型的简单形式、二次型的各种参数如正负惯性指数、得到二次型的规范形、对称矩阵合同的简单形等等。另外,化标准形也是解析几何化简二次曲线和二次曲面的需要。

下面,我们以两道题目为例说明计算二次型的标准形的2种方法:

  • 配方法
  • 正交变换法

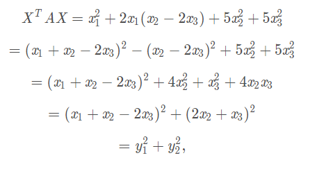
配方法

在这里插入图片描述
在这里插入图片描述

其中

在这里插入图片描述

这里配方法有无数种配方的方法

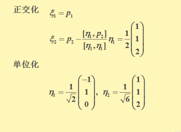
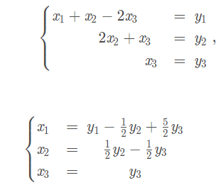
正交变换法

在这里插入图片描述

在这里插入图片描述

在这里插入图片描述

在这里插入图片描述

在这里插入图片描述

在这里插入图片描述

这里提醒一下就是正交变换法的得到的矩阵只有一个就是特征值组成的矩阵


http://chatgpt.dhexx.cn/article/MyLeNDEx.shtml

相关文章

二次型的标准型、规范型

若二次型只有平方项,则称二次型为标准型 如果标准型中,系数只有1,-1和0,那么称为二次型的规范型,因为标准型中,1,-1,0的个数是由正负惯性指数决定的,而合同的矩阵正负惯…

二次型,正定二次型

二次型:含有n个变量 x 1 , x 2 , . . . x n x_1,x_2,...x_n x1​,x2​,...xn​的二次齐次函数: f ( x 1 , x 2 , . . . x n ) a 11 x 1 2 a 12 x 1 x 2 a 13 x 1 x 3 a 14 x 1 x 4 . . . a 1 n x 1 x n f(x_1,x_2,...x_n)a_{11}x_1^2a_{12}x_1x_2a_{13}x_1x_3…

二次型的正定

实数二次型的类型 设为一个实二次型,若 自变量不全为0 若恒成立,则称f为一个正定二次型,称A为正定矩阵 若恒成立,则称f为一个半正定二次型,称A为半正定矩阵 若恒成立,则称f为一个负定二次型&#xff0…

线性代数-二次型及其正定性

二次型及其矩阵表示形式 二次型:含有n个变量的二次齐次多项式 二次型矩阵:xTAx,其中A为实对称矩阵 任给一个实二次型,就唯一确定一个实对称矩阵;反之,任给一个实对称矩阵,也可以唯一确认一个实二次型,因此,实二次型与实对称矩阵之间存在一一对应关系,称实对称矩阵A为二次型f的…

【考研线代】六. 二次型

文章目录 第六章 二次型6.1 二次型及其标准形6.1.1 概念6.1.2 合同基本性质6.1.3 题型 6.2 正定二次型6.2.1 概念6.2.2 定理 6.3 补充:解题技巧6.3.1 惯性定理的理解6.3.2 矩阵合同的充要条件6.3.3 配方法的坐标变换必须可逆6.3.4 正交变化化标准型 (&am…

线性代数(10):二次型

一、二次型 (1)定义 含有 n 个变量 x1,x2,…… ,xn 的二次齐次函数称为二次型; 对称矩阵 A 的秩也叫做二次型 f 的秩; (2) 例: 排列二次型 所对应的矩阵 …

二次型化标准形的三种方法

二次型化标准形的三种方法 将二次型化为标准形有利于我们了解二次型的简单形式、二次型的各种参数如正负惯性指数、得到二次型的规范形、对称矩阵合同的简单形等等。另外,化标准形也是解析几何化简二次曲线和二次曲面的需要。 下面,我们以两道题目为例…

二次型化标准形的五种方法

文章目录 1. 配方法2. 初等变换法3. 正交变换法4. 偏导数法5. 顺序主子式法 1. 配方法 用配方法化二次型为标准形的关键是消去交叉项,分如下两种情况: 情形1:如果二次型 f ( x 1 , x 2 , x 3 , ⋯ , x n ) {f \left( x\mathop{{}}\nolimits…

区别:二次型、标准形、规范形

文章目录: 一:二次型 二次型衔接 合同和相似 二:标准形 二次型化为标准形 1.配方法 2.正交变换法 三:规范形 标准形:不唯一规范形:唯一 一:二次型 二次型:对称矩阵 A&#…

速通二次型、二次型标准型、二次型规范型

浅过二次型 理解二次型可以从二次型的多项式入手: 显然,在系数都为实数的情况下,二次型矩阵即为一个实对称矩阵。 取一个代入值的例子就是: 二次型的标准型 OK,再从二次型的标准型的多项式入手,如下&…

二次型的来龙去脉

在学习二次型的时候没有好好理解概念,导致记住了可以用的结论,但往往遇到题目反应不过来,故这次对二次型进行一个详细剖析。 首先二次型是什么?是一个n元变量的二次齐次多项式,根据二次齐次多项式的定义(所…

二次型二次型矩阵

二次型 二次型(Quadratic form)是关于一些变量的二次齐次多项式 二次型矩阵 表达形式跟矩阵的相似雷同,只是换成了转置 规范二次型 二次型化标准型 配方 将含有x1的项集中起来进行配方 非退化线性替换 合同变换 故标准型为 非退化线性…

线性代数——二次型

一:通过矩阵研究二次方程 二次型的定义: 把含有n个变量的二次齐次函数或方程称为二次型,例如: 二次型可以用矩阵来表示: 可以表示为 更一般的情况: 可以表示为 令:,&#xff0…

线性代数(六)——二次型

文章目录 前言二次型是什么?二次型的表示合同矩阵与合同二次型正定二次型、正定矩阵二次型的题型 前言 一直对二次型和线性代数的关系不解,导致一系列的知识点因为没有理解而常常忘记。 在这里对二次型进行梳理,希望可以加深对二次型的印象。…

高等代数---二次型

高等代数—二次型 声明: 本篇文章内容主要对《高等代数》第三版第五章内容的总结,复习 基本概念: 二次型的矩阵;标准形,规范形 二次型及其矩阵表示 从代数的观点看,所谓化标准方程就是用变量的线性替换化简一个二次…

二次型的意义与应用

二次型在数学很多分支里都频繁出现,而且在其他学科也到处可见。比如实二次型4c似乎在非常多的应用中都出现过,比如优化、概率图论、统计、机器学习、信号处理等等。那么,二次型在你所学的领域有什么应用呢?।希望大家能列出二次型在自己领域内对应的具体问题,是如何求解的等等…

二次型矩阵

二次型的每一项都是二次的,如果是平方则是平方项,如果是两个不同的变量则为交叉项。二次型如: x 2 x y y 2 x^2xyy^2 x2xyy2。 二次型->矩阵表达式 例: x 1 2 2 x 1 x 2 x 2 2 − x 2 x 3 2 x 3 2 − 2 x 1 x 3 x_1^22x_…

二次型

二次型理论起源于解析几何中化二次曲线或 二次曲面方程为标准形问题. 这里首先介绍一些 基本概念,然后讨论如何利用可逆线性变换把一 个二次型化成标准形。 二次曲面 二次型及其标准形的概念 定义 含有n个变量 x 1 , x 2 , . . . , x n x_{1},x_{2},...,x_{n} x1​…

【线性代数】四、二次型

第四章 二次型 文章目录 第四章 二次型一、二次型定义二、合同变换1.线性变换2.矩阵合同标准型和规范型 3.惯性定理 三、正定二次型 一、二次型定义 如果系数aij全为实数,那么为实二次型。上述二次型展开式可表示用矩阵为 可以看出,二次型矩阵A是一个对…

二次型(Quadratic Form)

1.二次型 二次型(quadratic form):n个变量的二次多项式称为二次型,即在一个多项式中,未知数的个数为任意多个,但每一项的次数都为2的多项式。 它起源于几何学中二次曲线方程和二次曲面方程化为标准形问题的…