线性代数(六)——二次型

article/2025/10/2 20:34:13

文章目录

  • 前言
  • 二次型是什么?
  • 二次型的表示
  • 合同矩阵与合同二次型
  • 正定二次型、正定矩阵
  • 二次型的题型


前言

一直对二次型和线性代数的关系不解,导致一系列的知识点因为没有理解而常常忘记。 在这里对二次型进行梳理,希望可以加深对二次型的印象。

二次型是什么?

二次型的目的,是利用矩阵来研究二次方程。
所以它和线性代数本质的关系不大,可以看作是线性代数的一种应用。

二次型:n个变量的一个二次齐次多项式n个变量的二次型

所以我们很自然的想到既然利用矩阵来研究二次方程,那么二次型肯定要用矩阵表示吧。

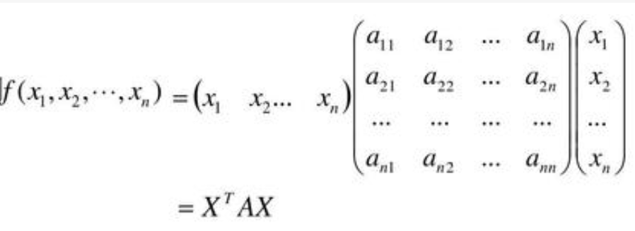
矩阵表示:
在这里插入图片描述
注意:因为 x 1 x 2 = x 2 x 1 x_1x_2 = x_2x_1 x1x2=x2x1,所以二次型的对应矩阵必须是对称阵,只有对应矩阵为对称阵时,二次型的对应矩阵才是唯一确定的。并且我们这一章主要研究实矩阵,所以二次型在这个阶段都是实对称矩阵

这样就和上一节接上了,实对称矩阵必定可相似对角化,且有 Q − 1 A Q = Q T A Q = Λ Q^{-1}AQ = Q^TAQ = Λ Q1AQ=QTAQ=Λ。这又和我们马上要讲的合同矩阵相关(实对称矩阵A必定既相似又合同于对角阵)。

二次型的表示

就是把齐次二次多项式进行分类。二次型 f ( x 1 , x 2 , x 3 , x 4 , . . . , x n ) f(x_1,x_2,x_3,x_4,...,x_n) f(x1,x2,x3,x4,...,xn)里面可以分为平方项( x i 2 x_i^{2} xi2)和混合项( x i x j x_ix_j xixj)。

  • 只有平方项没有混合项的二次型叫做标准形
  • 只有平方项没有混合项,且平方项的系数只有 1 , 0 , − 1 1,0,-1 1,0,1时,称作规范形

定理1:任何一个二次型 f f f,必存在一个正交变换 x = Q y x = Qy x=Qy,其中Q为正交阵,使得二次型化为标准型。
因为二次型是实对称矩阵嘛,且有 Q − 1 A Q = Q T A Q = Λ Q^{-1}AQ = Q^TAQ = Λ Q1AQ=QTAQ=Λ。中间只剩一个 Λ Λ Λ,便是标准型,标准型的系数为矩阵的特征值。

因为二次型是实对称矩阵嘛,且有 Q − 1 A Q = Q T A Q = Λ Q^{-1}AQ = Q^TAQ = Λ Q1AQ=QTAQ=Λ。中间只剩一个 Λ Λ Λ,便是标准型,标准型的系数为矩阵的特征值。

定理2:任何一个二次型 f f f,通过配方法必存在一个可逆线性变换 x = C y x = Cy x=Cy,其中Q为可逆矩阵,使得二次型化为标准型。

将二次型变为标准形有两种方法,正交变换配方法。其中通过正交变换,标准型的系数正好是矩阵的特征值,通过配方法,矩阵的系数不一定是特征值。即二次型的标准形是不唯一的,二次型的规范形是唯一的。

要熟练掌握这两种转化的方法,这是二次型中经典的计算题目。

合同矩阵与合同二次型

定义: 设A、B是两个n阶矩阵,若存在可逆阵C,使得 C T A C = B C^TAC=B CTAC=B,则称A合同于B。

充要条件: 矩阵A、B合同当且仅当对应的二次型有相同的正负惯性指数(惯性定理)且 r ( A ) = r ( B ) r(A) =r(B) r(A)=r(B)

下面摘抄一段来自这里的对矩阵等秩、等价、相似、合同的辨析。

一、矩阵等价、相似和合同之间的du区别:

  1. 等价,相似和合同三者都是等价关系。

  2. 矩阵相似或合同必等价,反之不一定成立。

  3. 矩阵等价,只需满足两矩阵之间可以通过一系列可逆变换,也即若干可逆矩阵相乘得到。

  4. 矩阵相似,则存在可逆矩阵P使得, A P = P B AP=PB AP=PB

  5. 矩阵合同,则存在可逆矩阵P使得, P T A P = B P^TAP=B PTAP=B

  6. 当上述矩阵P是正交矩阵时,即 P T = P − 1 P^T = P^{-1} PT=P1,则有A,B之间既满足相似,又满足合同关系。

二、矩阵等价、相似、合同之间联系:

  1. 矩阵等秩是相似、合同、等价的必要条件,相似、合同、等价是等秩的充分条件。

  2. 矩阵等价是相似、合同的必要条件,相似、合同是等价的充分条件。

  3. 矩阵相似、合同之间没有充要关系,存在相似但不合同的矩阵,也存在合同但不相似的矩阵。

  4. 总结起来就是:相似=>等价,合同=>等价,等价=>等秩。

三、多说一句:

矩阵等价

  1. 同型矩阵而言。

  2. 一般与初等变换有关。

  3. 秩是矩阵等价的不变量,其次两同型矩阵等价的本质是秩相等。

矩阵相似:

  1. 针对方阵而言。

  2. 秩相等是必要条件。

  3. 本质是二者有相等的不变因子(超纲)。

矩阵合同:

  1. 针对方阵而言,一般是对称矩阵。

  2. 秩相等是必需条件。

  3. 本质是秩相等且正惯性指数相等,即标准型相同。

在这里插入图片描述

通过上述的对比可知,等价关系是三种关系中条件最弱的,合同与相似是特堵的等价关系,若两个矩阵相似或合同,则这两个矩阵一定等价,反之不成立,相似与合同不能互相推导,但是如果两个实对称矩阵式相似的,那一定是合同的。

正定二次型、正定矩阵

判断矩阵A正定的充要条件:

  1. A的正惯性指数 p = r = n p=r=n p=r=n
  2. 矩阵A合同与矩阵E,即 A = D T E D = D T D A=D^{T}ED = D^{T}D A=DTED=DTD
  3. A的全部特征值大于0.
  4. A的全部顺序主子式大于零。

判断矩阵A正定的必要条件:

  1. A的主对角线元素>0
  2. ∣ A ∣ > 0 |A|>0 A>0

二次型的题型

  • 判断两矩阵是否是合同矩阵,矩阵看正负惯性指数,二次型看标准型的正负惯性指数。
  • 判断平方和二次型是否是正定矩阵,即判断各子式不能同时为零,即构成的矩阵只有零解。
  • 判断抽象矩阵是否为正定矩阵,需要满足可逆、对称和全部特征值大于0的条件,或者利用定义。

http://chatgpt.dhexx.cn/article/WLTjWVFm.shtml

相关文章

高等代数---二次型

高等代数—二次型 声明: 本篇文章内容主要对《高等代数》第三版第五章内容的总结,复习 基本概念: 二次型的矩阵;标准形,规范形 二次型及其矩阵表示 从代数的观点看,所谓化标准方程就是用变量的线性替换化简一个二次…

二次型的意义与应用

二次型在数学很多分支里都频繁出现,而且在其他学科也到处可见。比如实二次型4c似乎在非常多的应用中都出现过,比如优化、概率图论、统计、机器学习、信号处理等等。那么,二次型在你所学的领域有什么应用呢?।希望大家能列出二次型在自己领域内对应的具体问题,是如何求解的等等…

二次型矩阵

二次型的每一项都是二次的,如果是平方则是平方项,如果是两个不同的变量则为交叉项。二次型如: x 2 x y y 2 x^2xyy^2 x2xyy2。 二次型->矩阵表达式 例: x 1 2 2 x 1 x 2 x 2 2 − x 2 x 3 2 x 3 2 − 2 x 1 x 3 x_1^22x_…

二次型

二次型理论起源于解析几何中化二次曲线或 二次曲面方程为标准形问题. 这里首先介绍一些 基本概念,然后讨论如何利用可逆线性变换把一 个二次型化成标准形。 二次曲面 二次型及其标准形的概念 定义 含有n个变量 x 1 , x 2 , . . . , x n x_{1},x_{2},...,x_{n} x1​…

【线性代数】四、二次型

第四章 二次型 文章目录 第四章 二次型一、二次型定义二、合同变换1.线性变换2.矩阵合同标准型和规范型 3.惯性定理 三、正定二次型 一、二次型定义 如果系数aij全为实数,那么为实二次型。上述二次型展开式可表示用矩阵为 可以看出,二次型矩阵A是一个对…

二次型(Quadratic Form)

1.二次型 二次型(quadratic form):n个变量的二次多项式称为二次型,即在一个多项式中,未知数的个数为任意多个,但每一项的次数都为2的多项式。 它起源于几何学中二次曲线方程和二次曲面方程化为标准形问题的…

二次型定义

二次型用矩阵表达式表示 , 1 平方项的系数直接做成主对角元素 2. 交叉项的系数除以2,放到两个对称的相应位置上。 , ,的平方项系数为 1 ,1 ,2放在对角线上,如下图红色部分; 交叉项部分 &#xff0c…

如何理解二次型?

通过矩阵来研究二次函数(方程),这就是线性代数中二次型的重点。 1 二次函数(方程)的特点 1.1 二次函数 最简单的一元二次函数就是: 给它增加一次项不会改变形状: 增加常数项就更不用说了&…

常微分方程——非齐次线性微分方程与常数变易法

文章目录 性质性质1性质2定理 例题 性质 性质1 性质2 定理 例题

一阶线性微分方程

目录 线性方程 例题: 伯努利方程 例题: ​编辑 线性方程 我们先对齐次方程进行求解: 所以一阶线性微分齐次方程的公式: 那么对于非齐次的方程,我们该怎么求解呢? 我们可以把这里的任意数c换成一个函数&a…

计算方法(六):常微分方程初值问题的数值解法

文章目录 常微分方程初值问题的数值解法欧拉(Euler)方法与改进欧拉方法欧拉方法欧拉公式的局部截断误差与精度分析改进欧拉方法 龙格-库塔(Runge-Kutta)法构造原理经典龙格-库塔法步长的自动选择 收敛性与稳定性收敛性稳定性 一阶方程组与高阶方程的数值…

数学建模笔记(九):差分方程与代数方程模型

文章目录 一、概述1.引例2.定义(函数的差分)3.定义(差分方程)4.差分方程的阶5.差分方程的解6.差分方程与微分方程的联系 二、一阶常系数线性差分方程1.一阶常系数齐次线性差分方程(一)一般形式(…

算法基础——1.4常数变易法

例一&#xff1a; [java] view plain copy /* * * * * * * * * * * * * * * * */ public class T1 { public static void main(String[] args) { for(int k1; k<5; k){ for(int i0; …

MT【129】常数变易法

已知数列\(\{x_n\}\)满足\[x_{n1}\left(\dfrac 2{n^2}\dfrac 3n1\right)x_nn1,n\in\mathbf N^*,\]且\(x_13\)&#xff0c;求数列\(\{x_n\}\)的通项公式&#xff0e; 解答: 根据题意&#xff0c;有\[x_{n1}\dfrac{(n1)(n2)}{n^2}x_nn1,\]于是\[\dfrac{x_{n1}}{(n1)^2(n2)}\dfrac…

常微分方程

高数中的微分方程 全微分方程&#xff08;需要积分域与路径无关&#xff09; 一阶线性常微分方程 y’p(x)yq(x) 对于一阶线性常微分方程&#xff0c;常用的方法是常数变易法&#xff1a; 对于方程&#xff1a;将y’p(x)y0中的常数变为函数求解非齐次方程 ( ∫ q ( x ) ∗ e …

常数变易法二

/*打印这个* A* ABA* ABCBA* ABCDCBA* ABCDEDCBA */// " ABCDCBA" 第3行&#xff08;下标从0开始吧&#xff01;&#xff09;for(int i0;i<4;i) System.out.print(" ");for(int i0;i<4;i) System.out.print((char)(Ai));for(in…

常数易变法

/*常数变易法* 打印金字塔* ** * ** * * ** * * * ** * * * * **/ public class A {public static void main(String[] args) {//常数变易法&#xff0c;演变过程System.out.println(" *");//第一行System.out.println(&…

个人对于常微分方程之一阶线性非齐次方程的常数变易法的见解

我们都知道&#xff0c;对常微分方程 最简单也是最本质的处理方法就是分离变量&#xff0c;使得方程可以变成的形式&#xff0c;两边再进行积分便可以得到方程的解.在常微分方程&#xff08;以下简称为方程&#xff09;中&#xff0c;有两类比较特殊的方程&#xff0c;分别是一…

常数变易法

思路: 现将变动部分用常数代替&#xff0c;再逐步将常数替换为变数(变量) 关键是寻找变化的规律&#xff0c;如果不直观&#xff0c;可以列出所有变化&#xff0c;进行比对&#xff0c;然后设计公式 实例: 1.输出三角星号 首先找规律&#xff0c;发现每一行都是先输出空格&…