带正态曲线直方图
利用SPSS的菜单分析环境:“分析”-“描述统计”-“频率”,在绘图选项选择带正态曲线的直方图。

绘制带正态曲线的直方图通过对比直方图与正态曲线的拟合程度,判定数据序列的分布形态是否接近正态分布。下面两幅图是某班级语文和数学成绩,带有正态曲线的直方图。在图形上,显示出了与当前数据序列最接近的正态曲线。从图中可知,语文成绩分布于正态曲线比较接近,而数学成绩的分布则与正态曲线相距甚远。基于直方图及其相近的正态曲线的拟合程度,可以判定数据序列是否符合正态分布。
Q-Q图和P-P图
利用SPSS的菜单分析环境:“分析”-“描述统计”-“P-P图或Q-Q图”。
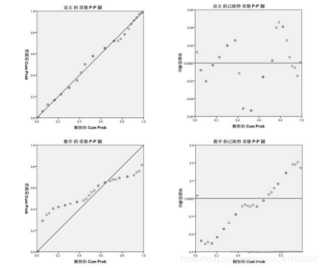
利用Q-Q图、P-P图判断数据序列是否接近正态分布,P-P图与Q-Q图的判断原理相同,区别在于横纵坐标的单位不同,P是累积比例,Q是分位数,下面以P-P图为例说明。从左侧的两幅图来看,语文的P-P图,散点能够与斜线很好的吻合,则说明该数据序列符合正态分布,而数学的散点严重偏离斜线,说明该数据序列不符合正态分布。
右侧的两幅图成为反趋势正态概率图,以累积概率作为横坐标,以与标准正态分布的偏差作为纵坐标。因此,标准正态分布是中部的水平线。尽管两幅图都有很多散点分布在水平线两侧,但语文的纵坐标单位在-0.06~0.06之间,而数学的单位在-0.3~0.3之间,相对于累积概率1来说,语文成绩的偏差很小,可认为基本符合正态分布。

K-S正态检验
利用SPSS的菜单分析环境:“分析”-“描述统计”-“1样本K-S”。

利用SPSS的单变量K-S检验判断数据序列是否接近正态分布。利用直方图/Q-Q图/P-P图来判断数据序列的正态性,主要还是通过分析者的主观判断。而用K-S作正态性检验则是通过对比数据序列与标准正态分布有没有显著性差异来判断序列是否满足正态分布。下表是用SPSS作K-S正态性检验的结果,可以在最后一行得到语文的P值为0.2,大于0.05,说明语文成绩与正态分布没有显著性差别,而数学为0.000,小于0.05,可以认为数学成绩与正态分布由显著性差异。

















