文章目录
- 1. 红黑树概念
- 2. 节点定义
- 3. 旋转操作
- 4. 插入操作
- 5. 删除操作
- 6. 完整代码
1. 红黑树概念

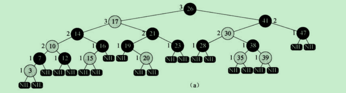
下图就是一棵红黑树:

为了后续操作中不出现空指针异常,可以加入一个额外的哨兵节点T,T作为所有叶子节点的子节点,作为根节点的父节点,节点T要求是黑色,其他属性不做要求,如下图所示:

2. 节点定义
class Node {int key;Node left, right;Node parent;boolean color;public Node(boolean color) {super();this.color = color;}public Node(int key) {super();this.key = key;}@Overridepublic String toString() {return "Node [key=" + key + ", color=" + color + " p=" + parent.key + "]";}}
3. 旋转操作

左旋操作代码:
public void rotateLeft(Node x) {Node y = x.right;x.right = y.left;// y的左子树作为x的右子树if (y.left != nil) {// y存在左子树y.left.parent = x;// 该左子树的父节点变为x}y.parent = x.parent;// x之前的父节点现在成为y的父节点if (x.parent == nil) {// x是根节点root = y;// y替代x成为根节点} else if (x == x.parent.left) {// x是左子节点x.parent.left = y;// y替代x作为左子节点} else {// x是右子节点x.parent.right = y;// y替代x作为右子节点}y.left = x;// x作为y的左子节点x.parent = y;// y作为x的父节点}
右旋操作代码:
public void rotateRight(Node y) {Node x = y.left;y.left = x.right;if (x.right != null) {// x存在右子树x.right.parent = y;// x的右子树的父节点变为y}x.parent = y.parent;// y之前的父节点现在变为x的父节点if (y == nil) {// y是根节点root = x;// x替代y成为根节点} else if (y == y.parent.left) {// y是左子节点y.parent.left = x;// x代替y作为其父节点的左子节点} else {// y是右子节点y.parent.right = x;// x代替y作为其父节点的右子节点}x.right = y;// y变成x的右子节点y.parent = x;// x变成y的父节点}

4. 插入操作
public void insert(Node z) {Node y = nil;// y指向哨兵节点Node x = root;// x指向根节点while (x != nil) {y = x;// y保存更新前的xif (z.key < x.key) {// z的key较小 然后去x左子树中查找x = x.left;} else {// z的key较大 然后去x右子树中查找x = x.right;}}z.parent = y;// y作为z的父节点if (y == nil) {// 说明目前树为空 插入的是第一个节点root = z;// z成为根节点} else if (z.key < y.key) {y.left = z;// z的值比父节点值小 作为左子节点} else {y.right = z;// z的值比父节点值大 作为右子节点}z.left = nil;z.right = nil;// z是叶子节点z.color = RED;// 叶子节点红色insetFix(z);// 插入之后需要调整树的结构}
插入操作完成了还需要进行树的结构调整,先来看下面几种情况:
情况1: 新插入节点z的叔节点y是红色的

上图中的(a)或(b)违反了性质:一个红节点的两个子节点都是黑色的
解决方案:z的父节点和树节点颜色由红变黑,z的爷爷节点颜色由黑变红
Node y=z.parent.parent.right;if(y.color==RED) {z.parent.color=BLACK;y.color=BLACK;z.parent.parent.color=RED;z=z.parent.parent;//z指向爷爷节点继续处理树的结构}
情况2: 新插入节点z的叔节点y是黑色的并且z是一个右孩子节点
情况3: 新插入节点z的叔节点y是黑色的并且z是一个左孩子节点
情况2和情况3可以放在一张图中来讨论,因为情况2可以通过左旋操作进入情况3,入下图所示:

else if(z==z.parent.right) {//情况2z=z.parent;rotateLeft(z);z.parent.color=BLACK;z.parent.parent.color=RED;rotateRight(z.parent.parent);}else if(z==z.parent.right) {//情况3z.parent.color=BLACK;z.parent.parent.color=RED;rotateRight(z.parent.parent);}
上面的三种情况都是基于新插入节点z的父节点是一个左子节点的情形,对于z的父节点是一个右子节点的情况也有三种,与上面三种情况对称,关于调整的完整代码如下:
public void insetFix(Node z) {while (z.parent.color == RED) {if (z.parent == z.parent.parent.left) {// z的父节点是左子节点Node y = z.parent.parent.right;if (y != nil && y.color == RED) {// 情况1z.parent.color = BLACK;y.color = BLACK;z.parent.parent.color = RED;z = z.parent.parent;continue;} else if (z == z.parent.right) {// 情况2z = z.parent;rotateLeft(z);}// 情况3z.parent.color = BLACK;z.parent.parent.color = RED;rotateRight(z.parent.parent);} else if (z.parent == z.parent.parent.right) {// z的父节点是右子节点Node y = z.parent.parent.left;if (y != nil && y.color == RED) {z.parent.color = BLACK;y.color = BLACK;z.parent.parent.color = RED;z = z.parent.parent;continue;} else if (z == z.parent.left) {z = z.parent;rotateRight(z);}z.parent.color = BLACK;z.parent.parent.color = RED;rotateLeft(z.parent.parent);}root.color = BLACK;}}
5. 删除操作
红黑树的删除操作和BST的删除操作类似,如果待删除节点x没有左子节点,就用右子节点替代x;如果待删除节点x没有右子节点,就用左子节点替代x; 如果x既有左子节点也有右子节点,可以使用x右子树中的最小节点y来替代x, y之前的右子树来替换y, x的右子树作为y新的右子树,只不过在红黑树中需要根据节点的颜色进行树结构的调整
// 用节点v 替代 节点upublic void transplant(Node u, Node v) {if (u.parent == T) {// u是根节点T.left = v;// v替代u作为根节点} else if (u == u.parent.left) {// u是左子节点u.parent.left = v;} else if (u == u.parent.right) {u.parent.right = v;}v.parent = u.parent;// u的父节点成为v的父节点}public void delete(Node z) {//z是待删除节点Node y = z;Node x = null;boolean originColor = y.color;if (z.left == T) {// z没有左子节点x = z.right;transplant(z, z.right);//z的右子节点替代z} else if (z.right == T) {//z没有右子节点x = z.left;transplant(z, z.left);//z的左子节点替代z}else {//z的左右子节点都存在y=minimum(z.right);//y保存z右子树中的最小节点 用y替换zoriginColor=y.color;x=y.right;if(y.parent==z) {//y是z的直接右子节点 不需要else语句中的y的右子树替换yx.parent=y;}else {transplant(y, y.right);//y的右子树替换yy.right=z.right;//待删除节点z的右子树成为y的右子树y.right.parent=y;//更新y的右子树的的父节点}transplant(z, y);//用y替换zy.left=z.left;//z的左子树作为y的左子树y.left.parent=y;y.color=z.color;//更新颜色}if(originColor==BLACK) {//待删除节点的颜色是黑色 需要调整树的结构deleteFix(x);}}/** 寻找某个子树中的最小节点*/Node minimum(Node subTreeRoot) {while (subTreeRoot.left != T) {subTreeRoot = subTreeRoot.left;}return subTreeRoot;}
删除-调整操作:
情形1:待调整节点x的兄弟节点w是红色

w.color=BLACK;x.parent.color=RED;rotateLeft(x.parent);w=x.parent.right;
情形2:待调整节点x的兄弟节点w是黑色的,并且w的两个子节点也是黑色的

w.color=RED;x=x.parent;continue;
情形3:待调整节点x的兄弟节点w是黑色的,w的左子节点为红色,右子节点为黑色

w.left.color=BLACK;w.color=RED;rotateRight(w);w=x.parent.right;
情形4:待调整节点x的兄弟节点w是黑色的,w的右子节点为红色,左子节点不考虑

w.color=x.parent.color;//case4x.parent.color=BLACK;w.right.color=BLACK;rotateLeft(x.parent);x=T.left;
可以发现情况1经过转化可以变成情况2,3,4中的一种,情况3经过转化后就变成了情况4
上面的4种情况是基于x是左子节点的情况,对于x是右子节点的情况,只一将上面代码中的left和right互换即可
刪除-调整代码如下:
public void deleteFix(Node x) {Node w = null;while (x != root && x.color == BLACK) {if (x == x.parent.left) {w = x.parent.right;if (w.color == RED) {// case1w.color = BLACK;x.parent.color = RED;rotateLeft(x.parent);w = x.parent.right;}if (w.left.color == BLACK && w.right.color == BLACK) {// case2w.color = RED;x = x.parent;continue;} else if (w.right.color == BLACK) {// case3w.left.color = BLACK;w.color = RED;rotateRight(w);w = x.parent.right;}w.color = x.parent.color;// case4x.parent.color = BLACK;w.right.color = BLACK;rotateLeft(x.parent);x = root;} else {w = x.parent.left;if (w.color == RED) {// case1w.color = BLACK;x.parent.color = RED;rotateRight(w);w = x.parent.left;}if (w.left.color == BLACK && w.right.color == BLACK) {// case2w.color = RED;x = x.parent;continue;} else if (w.right.color == BLACK) {// case3w.right.color = BLACK;w.color = RED;rotateLeft(w);w = x.parent.left;}w.color = x.parent.color;// case4x.parent.color = BLACK;w.left.color = BLACK;rotateRight(x.parent);x = root;}}x.color = BLACK;}
6. 完整代码
package datastructure.tree;import java.util.LinkedList;
import java.util.Queue;class Node {int key;Node left, right;Node parent;boolean color;public Node(boolean color) {super();this.color = color;}public Node(int key) {super();this.key = key;}@Overridepublic String toString() {return "Node [key=" + key + ", color=" + color + " p=" + parent.key + "]";}}public class RedBlackTree {private static final boolean RED = true;private static final boolean BLACK = false;private Node nil;private Node root;/** 初始化操作中创建一个哨兵节点nil root开始等于nil*/public RedBlackTree() {nil = new Node(BLACK);nil.key = -1;root = nil;}public void rotateLeft(Node x) {Node y = x.right;x.right = y.left;// y的左子树作为x的右子树if (y.left != nil) {// y存在左子树y.left.parent = x;// 该左子树的父节点变为x}y.parent = x.parent;// x之前的父节点现在成为y的父节点if (x.parent == nil) {// x是根节点root = y;// y替代x成为根节点} else if (x == x.parent.left) {// x是左子节点x.parent.left = y;// y替代x作为左子节点} else {// x是右子节点x.parent.right = y;// y替代x作为右子节点}y.left = x;// x作为y的左子节点x.parent = y;// y作为x的父节点}public void rotateRight(Node y) {Node x = y.left;y.left = x.right;if (x.right != null) {// x存在右子树x.right.parent = y;// x的右子树的父节点变为y}x.parent = y.parent;// y之前的父节点现在变为x的父节点if (y == nil) {// y是根节点root = x;// x替代y成为根节点} else if (y == y.parent.left) {// y是左子节点y.parent.left = x;// x代替y作为其父节点的左子节点} else {// y是右子节点y.parent.right = x;// x代替y作为其父节点的右子节点}x.right = y;// y变成x的右子节点y.parent = x;// x变成y的父节点}public void insert(Node z) {Node y = nil;// y指向哨兵节点Node x = root;// x指向根节点while (x != nil) {y = x;// y保存更新前的xif (z.key < x.key) {// z的key较小 然后去x左子树中查找x = x.left;} else {// z的key较大 然后去x右子树中查找x = x.right;}}z.parent = y;// y作为z的父节点if (y == nil) {// 说明目前树为空 插入的是第一个节点root = z;// z成为根节点} else if (z.key < y.key) {y.left = z;// z的值比父节点值小 作为左子节点} else {y.right = z;// z的值比父节点值大 作为右子节点}z.left = nil;z.right = nil;// z是叶子节点z.color = RED;// 叶子节点红色insetFix(z);// 插入之后需要调整树的结构}public void insetFix(Node z) {while (z.parent.color == RED) {if (z.parent == z.parent.parent.left) {// z的父节点是左子节点Node y = z.parent.parent.right;if (y != nil && y.color == RED) {// 情况1z.parent.color = BLACK;y.color = BLACK;z.parent.parent.color = RED;z = z.parent.parent;continue;} else if (z == z.parent.right) {// 情况2z = z.parent;rotateLeft(z);}//情况2经过调整之后可以变成情况3// 情况3z.parent.color = BLACK;z.parent.parent.color = RED;rotateRight(z.parent.parent);} else if (z.parent == z.parent.parent.right) {// z的父节点是右子节点Node y = z.parent.parent.left;if (y != nil && y.color == RED) {z.parent.color = BLACK;y.color = BLACK;z.parent.parent.color = RED;z = z.parent.parent;continue;} else if (z == z.parent.left) {z = z.parent;rotateRight(z);}z.parent.color = BLACK;z.parent.parent.color = RED;rotateLeft(z.parent.parent);}root.color = BLACK;}}// 用节点v 替代 节点upublic void transplant(Node u, Node v) {if (u.parent == nil) {// u是根节点root = v;// v替代u作为根节点} else if (u == u.parent.left) {// u是左子节点u.parent.left = v;} else if (u == u.parent.right) {u.parent.right = v;}v.parent = u.parent;// u的父节点成为v的父节点}public void delete(Node z) {Node y = z;Node x = null;boolean originColor = y.color;if (z.left == nil) {// z没有左子节点x = z.right;transplant(z, z.right);// z的右子节点替代z} else if (z.right == nil) {// z没有右子节点x = z.left;transplant(z, z.left);// z的左子节点替代z} else {// z的左右子节点都存在y = minimum(z.right);// y保存z右子树中的最小节点 用y替换zoriginColor = y.color;x = y.right;if (y.parent == z) {// y是z的直接右子节点 不需要else语句中的y的右子树替换yx.parent = y;} else {transplant(y, y.right);// y的右子树替换yy.right = z.right;// 待删除节点z的右子树成为y的右子树y.right.parent = y;// 更新y的右子树的的父节点}transplant(z, y);// 用y替换zy.left = z.left;y.left.parent = y;y.color = z.color;}if (originColor == BLACK) {// 节点y的颜色是黑色 需要调整树的结构deleteFix(x);}}/** 寻找某个子树中的最小节点*/Node minimum(Node subTreeRoot) {while (subTreeRoot.left != nil) {subTreeRoot = subTreeRoot.left;}return subTreeRoot;}public void deleteFix(Node x) {Node w = null;while (x != root && x.color == BLACK) {if (x == x.parent.left) {w = x.parent.right;if (w.color == RED) {// case1w.color = BLACK;x.parent.color = RED;rotateLeft(x.parent);w = x.parent.right;}if (w.left.color == BLACK && w.right.color == BLACK) {// case2w.color = RED;x = x.parent;continue;} else if (w.right.color == BLACK) {// case3w.left.color = BLACK;w.color = RED;rotateRight(w);w = x.parent.right;}//case3 经过调整之后可以变成case4w.color = x.parent.color;// case4x.parent.color = BLACK;w.right.color = BLACK;rotateLeft(x.parent);x = root;} else {w = x.parent.left;if (w.color == RED) {// case1w.color = BLACK;x.parent.color = RED;rotateRight(w);w = x.parent.left;}if (w.left.color == BLACK && w.right.color == BLACK) {// case2w.color = RED;x = x.parent;continue;} else if (w.right.color == BLACK) {// case3w.right.color = BLACK;w.color = RED;rotateLeft(w);w = x.parent.left;}w.color = x.parent.color;// case4x.parent.color = BLACK;w.left.color = BLACK;rotateRight(x.parent);x = root;}}x.color = BLACK;}/** 层次遍历*/public void printTreeByLevel(Node root) {Queue<Node> q = new LinkedList<>();q.offer(root);while (!q.isEmpty()) {int sz = q.size();Node node = null;for (int i = 0; i < sz; i++) {node = q.poll();System.out.print(node + " ");if (node.left != nil)q.offer(node.left);if (node.right != nil)q.offer(node.right);}System.out.println();}}/** 根据key查找某个节点*/public Node find(Node root, int key) {if (root == nil) {return null;}if (root.key < key) {return find(root.right, key);} else if (root.key > key) {return find(root.left, key);} else if (key == root.key) {return root;}return null;}/** 中序遍历*/public void printInorder(Node root) {if (root == nil)return;printInorder(root.left);System.out.println(root);printInorder(root.right);}public static void main(String[] args) {RedBlackTree tree = new RedBlackTree();System.out.println("插入数据:");for (int i = 1; i <= 10; i++) {tree.insert(new Node(i));}System.out.println("层次遍历:");tree.printTreeByLevel(tree.root);System.out.println("中序遍历:");tree.printInorder(tree.root);System.out.println("删除数据:");int[] delete = { 1, 2,3, 4,5, 6,7,8, 9,10 };for (int num : delete) {Node delNode = tree.find(tree.root, num);System.out.println("删除了元素" + delNode);tree.delete(delNode);System.out.println("中序遍历:");tree.printInorder(tree.root);}}
}
















