18.微分方程模型

article/2025/10/10 18:18:11

微分方程模型

1.应用matlab求解微分方程模型

在这里插入图片描述
在这里插入图片描述

2.例题

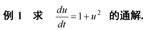
1)
在这里插入图片描述

dsolve('Du=1+u^2','t')

2)
在这里插入图片描述

y=dsolve('Dy=exp(x)','y(0)=exp(1)','x');
ezplot(y,[-10,10])

3)
在这里插入图片描述

y=dsolve('D2y+4*Dy+29*y=0','y(0)=0,Dy(0)=15','x');
ezplot(y,[1,4])

4)
在这里插入图片描述

[x,y,z]=dsolve('Dx=2*x-3*y+3*z','Dy=4*x-5*y+3*z','Dz=4*x-4*y+2*z', 't');

3.求常微分方程数值解

在这里插入图片描述
在这里插入图片描述

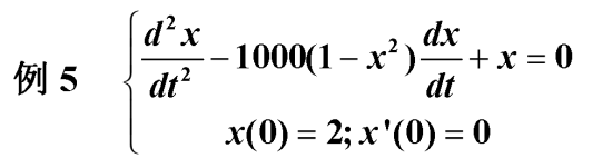
4.例题

在这里插入图片描述
在这里插入图片描述

vdp.m

function dy=vdp1000(t,y) dy=zeros(2,1); 
dy(1)=y(2); 
dy(2)=1000*(1-y(1)^2)*y(2)-y(1);
[T,Y]=ode15s('vdp1000',[0 6000],[2 0]); plot(T,Y(:,1),'-')

在这里插入图片描述
rigid.m

function dy=rigid(t,y) 
dy=zeros(3,1); 
dy(1)=y(2)*y(3); 
dy(2)=-y(1)*y(3); 
dy(3)=-0.51*y(1)*y(2);
[T,Y]=ode45(@rigid,[0 12],[0 1 1]); 
plot(T,Y(:,1),'-',T,Y(:,2),'*',T,Y(:,3),'+')

返回目录

下一篇:19.2006年国赛B题“艾滋病疗法的评价”


http://chatgpt.dhexx.cn/article/ikuJHNF2.shtml

相关文章

数学建模:微分方程模型— Python 求解

目录 例:使用显式欧拉法和四阶龙格库塔法计算Lorenz模型scipy.integrate.odeint 求解微分方程模型scipy.integrate.solve_ivp 求解微分方程模型 使用 Python 求常微分方程的数值求解通常是基于一阶方程进行的,高阶微分方程要化成一阶方程组。 例&#x…

数学建模预测方法之 微分方程模型

微分方程模型 短、中、长期的预测都适合。 反应事物内部规律及其内在关系,但由于方程的建立是以局部规律的独立性假定为基础,当作为长期预测时,误差较大,且微分方程的解比较难以得到。 具体案例 传染病的预测模型、经济增长&a…

常见的微分方程模型(1)

学习了几个常见的微分方程模型,比如传染病模型和经济增长模型 1.传染病模型 已知已感染人数(病人)的比例为 i(t) ,假设每个病人每天的有效接触的人数为,在一块封闭区域内,总人数为N ,健康人的…

微分方程模型的求解方法

微分方程模型的求解方法 在实际问题中经常需要寻求某个变量y随另一变量t的变化规律,yy(t)这个函数关系式常常不能直接求出。然而有时容易建立包含变量及导数在内的关系式,即建立变量能满足的微分方程,从而通过求解微分方程对所研究的问题进行解释说明。…

微分方程模型_天生一对,硬核微分方程与深度学习的「联姻」之路

微分方程真的能结合深度神经网络?真的能用来理解深度神经网络、推导神经网络架构、构建深度生成模型?我们将从鄂维南、董彬和陈天琦等研究者的工作中,窥探微分方程与深度学习联袂前行的路径。 近日,北京智源人工智能研究院开展了第…

微分方程模型——偏微分方程

1. 简介 微分方程:描述自然界中存在的物理现象和普遍规律。 常微分方程(ODE)偏微分方程(PDE) 偏微分方程理论: 物理/工程问题————翻译(建模)/物理工程规律————》数学问题…

数学建模——微分方程模型的求解

文章目录 微分方程的符号解法微分方程数值解法一些常用的微分方程模型(学习中,持续更新)Logistics模型传染病模型 本文介绍微分方程的求解,不介绍微分方程的建立方法 微分方程的符号解法 求解微分方程的符号解主要是依赖于Python…

微分方程模型_常微分方程模型简介

注:本文是刘然对常微分方程模型的简介 什么是常微分方程模型 常用的回归分析聚焦于直接建立响应变量和协变量之间的关系,之后根据建立的模型进行分析和预测,比如常见的线性回归模型:。 而如果我们感兴趣的变量是随时间变化的,那么还有另外一种常用的建模方式:建立变量与变…

数学建模【微分方程模型(介绍、分析方法、数值模拟、传染病问题的建模和分析、经济增长模型、人口增长预测和控制模型)】

🚀【MOOC数学建模与实验---学习笔记---整理汇总表】🚀 🌈【学习网址:MOOC---郑州轻工业大学---数学建模与实验】🌈 【第1、2章】【概述、软件介绍】【第3章】【数据处理方法】【第4章】【规划模型】【第5章】【图与网络…

数学建模理论自制笔记1:微分方程及其模型

1、微分方程基础概念: 微分方程:含有自变量、未知函数及未知函数的导数或微分的等式,其定义式为;常微分方程(Ordinary Differential Equations, ODE):不含偏导数或偏微分的微分方程&#xff0c…

微分方程模型

微分方程模型简介 在研究生物、经济等学科的实际问题时,常常会联系到某些变量的变化率或导数,这样所得到变量之间的关系式就是微分方程。微分方程反映的是变量之间的间接关系,因此,要得到直接关系,就得求解微分方程。…

【数学建模】常用微分方程模型 + 详细手写公式推导 + Matlab代码实现

文章目录 一、学习内容二、学习时间三、学习产出3.1 微分方程基本概念3.2 微分方程在数学建模中的应用3.3 微分方程常用模型3.3.1 人口增长模型3.3.1.1 指数增长模型(马尔萨斯模型)3.3.1.2 阻滞增长模型(Logistic模型)3.3.1.3 人口模型小结 3.3.2 传染病模型3.3.2.1 SI模型3.3.…

数学建模之微分方程模型详解

全文共10110个字,码字总结不易,老铁们来个三连:点赞、关注、评论 作者:[左手の明天] 原创不易,转载请联系作者并注明出处 版权声明:本文为博主原创文章,遵循 CC 4.0 BY-SA 版权协议&#xff0c…

Station P2(ROC-RK3568-PC) 裸机开发5_RKUBoot TPL

完整编译 u-boot-next-dev:./make.sh rk3568 2>&1 >log.txt 生成两个主要的文件是: RKLoader:rk356x_spl_loader_v1.08.111.bin Uoot FIT Image:uboot.img 两个都是有特定格式的混合文件。 RKLoader 的生成&#xf…

tpl怎么搞_emlog后台模板设置功能插件tpl_options

到目前为止emlog都没有集成模板后台设置功能,可能是和emlog一直走轻量级路径有关。但是集成模板后台配置功能,无论是对emlog模板开发者还是用户来说,其作用都非常大,可以使一些模板功能不需要修改模板文件就可以改变设置&#xff…

tpl.js的使用

tpl.js的使用 tpl.js简介1.如何写模板2.如何引用模板tpl.js的下载地址 tpl.js简介 tpl.js是用于和require.js相结合的html模板,和template.js的用法非常相似,我们可以从以下几点来学习它,我们先来看一下小案例中的目录结构: 1.如何写模板 …

vscode配置tpl文件关联html语言

使用beego框架的时候,有个操作,需要将tpl文件修改vscode识别成html; 有两种方法: 方法一:页面配置 ctrl shift p 选择打开工作区设置 找到Files:Associations文件关联 添加项:*.tpl html 方法二&…

基于JAVA的TPL解释器

基于JAVA的TPL解释器 编写一个Java程序,该程序读取一个文件中的TPL指令(见下文),并执行这些指令。该语言编写的程序每一行都必须以这些单词中的一个开头,不区分大小写。具体代码可参考链接 https://download.csdn.net…

U-Boot 之零 源码文件、启动阶段(TPL、SPL)、FALCON、设备树

最近,工作重心要从裸机开发转移到嵌入式 Linux 系统开发,在之前的博文 Linux 之八 完整嵌入式 Linux 环境、(交叉)编译工具链、CPU 体系架构、嵌入式系统构建工具 中详细介绍了嵌入式 Linux 环境,接下来就是重点学习一…

java .tpl是什么模版_tpl标签定义

canonical 阅读(996) 评论(0) 编辑 收藏 所属分类: Witrix开发平台 tpl自定义标签的设计目标之一是尽量减少配置说明项. 在tpl标签库中, 标签定义格式如下 importVars"varA, varB" otherArgs"optionalArgA, optionalArgB" localScope"trueOrFalse&q…