常见的微分方程模型(1)

article/2025/10/10 20:06:43

学习了几个常见的微分方程模型,比如传染病模型和经济增长模型

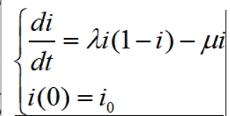
1.传染病模型

已知已感染人数(病人)的比例为 i(t) ,假设每个病人每天的有效接触的人数为\lambda,在一块封闭区域内,总人数为N ,健康人的比例为s(t),还需要考虑病人治愈后再一次被感染的情况,假设病人每天治愈的比例为\mu
则建模为

 在这里我们令,其中\sigma~ 一个感染期内每个病人的有效接触人数,称为接触数。

通过图像分析

 所以如果想要实现患病人数的减少,就要控制在这个\sigma\leqslant1时候

 2.经济增长模型

首先我们把问题分成三部分

(1)建立产值与资金、劳动力之间的关系

(2)研究资金与劳动力的最佳分配,使投资效益最大

(3)调节资金与劳动力的增长率,使经济(生产率)增长

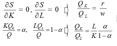
第一步,建立要素之间的相关关系

 其实一阶偏导和二阶偏导相对于0的大小就是说明了我们刚刚开始对于模型的假设,通过假设,也就推出来道格拉斯函数的简单形式

 我们令QK=单位资金创造的产值。  QL为单位劳动力创造的产值

\alpha~ 资金在产值中的份额              1-\alpha ~劳动力在产值中的份额

 第二步 资金与劳动力的最佳分配(静态模型) 

资金来自贷款,利率 r,劳动力付工资 w

资金和劳动力创造的效益为:

而我们要求资金与劳动力的分配比例K/L(每个劳动力占有的资金) ,使效益S最大

 然后就得到了一个关于K和L的一个等式

通过分析,得知减少\omega和提高\gamma可以提高K/L的比例,从而使效益S最大化。

第三步 经济(生产率)增长的条件 (动态模型)

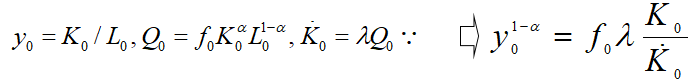
要使 Q(t) 或  Z(t)=Q(t)/L(t) 增长,  K(t), L(t)应满足的条件

Q(t)为工业产值,L(t)为劳动力,所以Z(t)为人均产值

在这里我们做出模型假设:投资增长率与产值成正比 (用一定比例扩大再生产)

 还有劳动力相对增长率为常数

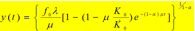
经过整理就得到了最后的经济增长方程

    \alpha~ 资金在产值中的份额 ,\lambda为投资与产值之间的比例,\mu为劳动力增长比率.

​现在让我们讨论产值增长的条件,产值为Q(t)

 还有就是讨论每个劳动力的产值 Z(t)=Q(t)/L(t)增长

 \mu >0时,劳动力相对增长率要小于初始投资相对增长率,才可以实现单位劳动力产值的增长


http://chatgpt.dhexx.cn/article/0nEBmHID.shtml

相关文章

微分方程模型的求解方法

微分方程模型的求解方法 在实际问题中经常需要寻求某个变量y随另一变量t的变化规律,yy(t)这个函数关系式常常不能直接求出。然而有时容易建立包含变量及导数在内的关系式,即建立变量能满足的微分方程,从而通过求解微分方程对所研究的问题进行解释说明。…

微分方程模型_天生一对,硬核微分方程与深度学习的「联姻」之路

微分方程真的能结合深度神经网络?真的能用来理解深度神经网络、推导神经网络架构、构建深度生成模型?我们将从鄂维南、董彬和陈天琦等研究者的工作中,窥探微分方程与深度学习联袂前行的路径。 近日,北京智源人工智能研究院开展了第…

微分方程模型——偏微分方程

1. 简介 微分方程:描述自然界中存在的物理现象和普遍规律。 常微分方程(ODE)偏微分方程(PDE) 偏微分方程理论: 物理/工程问题————翻译(建模)/物理工程规律————》数学问题…

数学建模——微分方程模型的求解

文章目录 微分方程的符号解法微分方程数值解法一些常用的微分方程模型(学习中,持续更新)Logistics模型传染病模型 本文介绍微分方程的求解,不介绍微分方程的建立方法 微分方程的符号解法 求解微分方程的符号解主要是依赖于Python…

微分方程模型_常微分方程模型简介

注:本文是刘然对常微分方程模型的简介 什么是常微分方程模型 常用的回归分析聚焦于直接建立响应变量和协变量之间的关系,之后根据建立的模型进行分析和预测,比如常见的线性回归模型:。 而如果我们感兴趣的变量是随时间变化的,那么还有另外一种常用的建模方式:建立变量与变…

数学建模【微分方程模型(介绍、分析方法、数值模拟、传染病问题的建模和分析、经济增长模型、人口增长预测和控制模型)】

🚀【MOOC数学建模与实验---学习笔记---整理汇总表】🚀 🌈【学习网址:MOOC---郑州轻工业大学---数学建模与实验】🌈 【第1、2章】【概述、软件介绍】【第3章】【数据处理方法】【第4章】【规划模型】【第5章】【图与网络…

数学建模理论自制笔记1:微分方程及其模型

1、微分方程基础概念: 微分方程:含有自变量、未知函数及未知函数的导数或微分的等式,其定义式为;常微分方程(Ordinary Differential Equations, ODE):不含偏导数或偏微分的微分方程&#xff0c…

微分方程模型

微分方程模型简介 在研究生物、经济等学科的实际问题时,常常会联系到某些变量的变化率或导数,这样所得到变量之间的关系式就是微分方程。微分方程反映的是变量之间的间接关系,因此,要得到直接关系,就得求解微分方程。…

【数学建模】常用微分方程模型 + 详细手写公式推导 + Matlab代码实现

文章目录 一、学习内容二、学习时间三、学习产出3.1 微分方程基本概念3.2 微分方程在数学建模中的应用3.3 微分方程常用模型3.3.1 人口增长模型3.3.1.1 指数增长模型(马尔萨斯模型)3.3.1.2 阻滞增长模型(Logistic模型)3.3.1.3 人口模型小结 3.3.2 传染病模型3.3.2.1 SI模型3.3.…

数学建模之微分方程模型详解

全文共10110个字,码字总结不易,老铁们来个三连:点赞、关注、评论 作者:[左手の明天] 原创不易,转载请联系作者并注明出处 版权声明:本文为博主原创文章,遵循 CC 4.0 BY-SA 版权协议&#xff0c…

Station P2(ROC-RK3568-PC) 裸机开发5_RKUBoot TPL

完整编译 u-boot-next-dev:./make.sh rk3568 2>&1 >log.txt 生成两个主要的文件是: RKLoader:rk356x_spl_loader_v1.08.111.bin Uoot FIT Image:uboot.img 两个都是有特定格式的混合文件。 RKLoader 的生成&#xf…

tpl怎么搞_emlog后台模板设置功能插件tpl_options

到目前为止emlog都没有集成模板后台设置功能,可能是和emlog一直走轻量级路径有关。但是集成模板后台配置功能,无论是对emlog模板开发者还是用户来说,其作用都非常大,可以使一些模板功能不需要修改模板文件就可以改变设置&#xff…

tpl.js的使用

tpl.js的使用 tpl.js简介1.如何写模板2.如何引用模板tpl.js的下载地址 tpl.js简介 tpl.js是用于和require.js相结合的html模板,和template.js的用法非常相似,我们可以从以下几点来学习它,我们先来看一下小案例中的目录结构: 1.如何写模板 …

vscode配置tpl文件关联html语言

使用beego框架的时候,有个操作,需要将tpl文件修改vscode识别成html; 有两种方法: 方法一:页面配置 ctrl shift p 选择打开工作区设置 找到Files:Associations文件关联 添加项:*.tpl html 方法二&…

基于JAVA的TPL解释器

基于JAVA的TPL解释器 编写一个Java程序,该程序读取一个文件中的TPL指令(见下文),并执行这些指令。该语言编写的程序每一行都必须以这些单词中的一个开头,不区分大小写。具体代码可参考链接 https://download.csdn.net…

U-Boot 之零 源码文件、启动阶段(TPL、SPL)、FALCON、设备树

最近,工作重心要从裸机开发转移到嵌入式 Linux 系统开发,在之前的博文 Linux 之八 完整嵌入式 Linux 环境、(交叉)编译工具链、CPU 体系架构、嵌入式系统构建工具 中详细介绍了嵌入式 Linux 环境,接下来就是重点学习一…

java .tpl是什么模版_tpl标签定义

canonical 阅读(996) 评论(0) 编辑 收藏 所属分类: Witrix开发平台 tpl自定义标签的设计目标之一是尽量减少配置说明项. 在tpl标签库中, 标签定义格式如下 importVars"varA, varB" otherArgs"optionalArgA, optionalArgB" localScope"trueOrFalse&q…

创建TPL自定义模板

文件布局 <!--1d7c7a527b6335cc7a623305ca940e1findex.tpl.html--><!DOCTYPE htmlPUBLIC "-//W3C//DTD XHTML 1.0 Transitional//EN""http://www.w3.org/TR/xhtml1/DTD/xhtml1-transitional.dtd"> <html xmlns"http://www.w3.org/1999…

php tpl模板文件,php自己创建TPL模板引擎之初学习

一&#xff0c;创建初始化模板所需的文件和文件夹。 1&#xff0c;index.php主文件&#xff0c;用于编写业务逻辑。 2&#xff0c;template.inc.php模板初始化文件&#xff0c;用于初始化模板信息。 3&#xff0c;templates目录存放所有的模板文件。 4&#xff0c;templates_c目…

观远数据苏春园:五年AI+BI路,数智化破局中的变与不变|数据猿采访

““2021年终大型金猿主题策划活动”已正式开启&#xff0c;欢迎报名参与&#xff1a;榜单奖项产业图谱行业报告线下论坛&#xff5c;或点击文末“阅读原文”链接后提交活动意向报名表&#xff0c;并进一步与数据猿工作人员沟通后&#xff0c;可获取相关申报资料与模板。 数据智…