数学建模理论自制笔记1:微分方程及其模型

article/2025/10/10 22:30:44

1、微分方程基础概念:

  • 微分方程:含有自变量、未知函数及未知函数的导数或微分的等式,其定义式为f\left ( x,y,y',y'',\cdots ,y^{(n)} \right )=0
  • 常微分方程(Ordinary Differential Equations, ODE):不含偏导数或偏微分的微分方程,即对于函数f来说仅含有一个独立变量x的微分方程;
  • 偏微分方程(Partial Differential Equations, PDE):含有偏导数f^{'}_{x}\left ( x_{0},y_{0} \right )=\frac{\partial f}{\partial x}\left ( x_{0},y_{0} \right )或偏微分的微分方程,即对于函数f来说包含两个或两个以上的独立变量x, y,\cdots的微分方程;
  • 微分方程的阶数:微分方程中所出现的未知函数的导数(或微分)的最高阶数,如有n个,就称为n阶常/偏微分方程;其中2阶及以上阶数的微分方程称作高阶微分方程;
  • 微分方程的通解:微分方程的解中含有任意变化的常数,且任意变化的常数的个数与微分方程的阶数相同,这样的解称为通解;
  • 常微分方程的初值问题/柯西问题:在给微分方程添加附加条件时,附加条件中未知函数及其导数的独立变量取值相同,比如在x=1的情况下,对于常微分方程给出了y\left ( 1 \right )y'\left ( 1 \right )的值;
  • 常微分方程的边值问题:在给微分方程添加附加条件时,附加条件中未知函数及其导数的独立变量取值不同,比如在x=1的情况下,对于常微分方程给出了y\left ( 1 \right )y'\left ( 2 \right )的值;

2、一阶微分方程的常见形式:

  1. 标准形式:y'=f\left ( x,y \right ),大部分一阶微分方程都可以通过代数方法写成该形式;
  2. 微分形式:M\left ( x,y \right )dx+N\left ( x,y \right )dy=0,它和标准形式是等价的且可以相互转化;
  3. 变量分离方程:M\left ( x \right )dx+N\left ( y \right )dy=0
  4. 齐次一阶微分方程:y'=f\left ( \frac{y}{x} \right ),即满足f\left ( tx,ty \right )=f\left ( x,y \right )特性的方程,其中f\left ( x,y \right )称为齐次函数;
  5. 全微分方程/恰当方程:变量分离方程M\left ( x,y \right )dx+N\left ( x,y \right )dy=0里满足\frac{\partial M\left ( x,y \right )}{\partial y}=\frac{\partial N\left ( x,y \right )}{\partial x}的方程,此为全微分方程的充要条件;详细的定义是:存在二元函数u\left ( x,y \right )满足du\left ( x,y \right )=M\left ( x,y \right )dx+N\left ( x,y \right )dy,即u\left ( x,y \right )的全微分是M\left ( x,y \right )dx+N\left ( x,y \right )dy,满足 u\left ( x,y \right )M\left ( x,y \right )dx+N\left ( x,y \right )dy的原函数;
  6. 一阶线性微分方程:y'+p\left ( x \right )y=q\left ( x \right );当q\left ( x \right )=0时,y'+p\left ( x \right )y=0称作一阶齐次线性方程,表示线性方程里常数项为0,当然它在这里也是变量分离方程;
  7. 伯努利微分方程:y'+p\left ( x \right )y=q\left ( x \right )y^{n};当n=01时,方程会退化为线性方程形式;

 3、一阶常微分方程的解法:

  1. 变量分离方程M\left ( x \right )dx+N\left ( y \right )dy=0在两端积分变成\int M\left ( x \right )dx+\int N\left ( y \right )dy=C即可求解;
  2. 齐次一阶微分方程y'=f\left ( \frac{y}{x} \right )\frac{y}{x}=k(注:这里k不是常数),则可得x\frac{dk}{dx}+k=f\left ( k \right ),通过化简可得关于x,k的变量分离方程形式,之后在两端积分即可求解;
  3. 全微分方程/恰当方程:首先需要验证微分方程M\left ( x,y \right )dx+N\left ( x,y \right )dy=0为全微分方程,判别方法就是证明\frac{\partial M\left ( x,y \right )}{\partial y}=\frac{\partial N\left ( x,y \right )}{\partial x}成立,根据是否成立分为以下两种情况:
    1.  \frac{\partial M\left ( x,y \right )}{\partial y}=\frac{\partial N\left ( x,y \right )}{\partial x}成立:说明M\left ( x,y \right )dx+N\left ( x,y \right )dy=0为全微分方程,就需要求出M\left ( x,y \right )dx+N\left ( x,y \right )dy的原函数u\left ( x,y \right );已知\left\{\begin{matrix} u_{x}=\frac{\partial u}{\partial x}=M\left ( x,y \right )\\ u_{y}=\frac{\partial u}{\partial y}=N\left ( x,y \right ) \end{matrix}\right.,首先对\frac{\partial u}{\partial x}=M\left ( x,y \right )两边关于x积分,得u\left ( x,y \right )=\int M\left ( x,y \right )dx+h\left ( y \right ),再让这个式子两边对y求导,得\frac{\partial u}{\partial y}=\frac{\partial }{\partial y}\int M\left ( x,y \right )dx+h'\left ( y \right );将其与u_{y}=\frac{\partial u}{\partial y}=N\left ( x,y \right )对应得h'\left ( y \right )=N\left ( x,y \right )-\frac{\partial }{\partial y}\int M\left ( x,y \right )dx,然后再在其两边关于y积分即可求出h\left ( y \right ),最后代入u\left ( x,y \right )=\int M\left ( x,y \right )dx+h\left ( y \right )中可求出原函数u\left ( x,y \right );那么u\left ( x,y \right )=C就是全微分方程的通解;

    2.   \frac{\partial M\left ( x,y \right )}{\partial y}=\frac{\partial N\left ( x,y \right )}{\partial x}不成立:需要引入积分因子\mu \left ( x,y \right ),使得非全微分方程M\left ( x,y \right )dx+N\left ( x,y \right )dy=0变为全微分方程\left (\mu \left ( x,y \right )M\left ( x,y \right ) \right )dx+\left (\mu \left ( x,y \right )N\left ( x,y \right ) \right )dy=0,之后就可以利用上述方法求解;积分因子的求解视\frac{1}{N\left ( x,y \right )}\left ( \frac{\partial M\left ( x,y \right )}{\partial y}-\frac{\partial N\left ( x,y \right )}{\partial x} \right )的值或者微分方程形态而定:

      1. \frac{1}{N}\left ( \frac{\partial M}{\partial y}-\frac{\partial N}{\partial x} \right )\equiv g\left ( x \right )时(即结果仅是x的函数):\mu \left ( x,y \right )=e^{\int g\left ( x \right )dx}

      2. \frac{1}{N}\left ( \frac{\partial M}{\partial y}-\frac{\partial N}{\partial x} \right )\equiv h\left ( y \right )时(即结果仅是x的函数):\mu \left ( x,y \right )=e^{-\int h\left ( y \right )dy}

      3. \left\{\begin{matrix} M=yf\left ( xy \right )\\ N=xg\left ( xy \right ) \end{matrix}\right.时(即\frac{M}{y}\frac{N}{x}仅是xy的函数):\mu \left ( x,y \right )=\frac{1}{xM-yN}=\frac{1}{xy\left ( f\left ( xy \right )-g\left ( xy \right ) \right )}

      4. 当不满足以上三种情况时,建议采用其他方法求解;

  4. 伯努利微分方程y'+p\left ( x \right )y=q\left ( x \right )y^{n} 令z=y^{1-n},即可将方程转换为一阶线性常微分方程形式,再按照上面1-3里对应方程的求解方法求出z的通解,之后利用z=y^{1-n}y的通解;

4、可降阶高阶微分方程的求解:

  1. y^{(n)}=f(x)型微分方程(n阶微分方程):对该n阶微分方程两边进行n次积分,即可得到该方程的通解;
  2. y''=f\left ( x,y' \right )型微分方程(不含y):y'=p(x),则y''=p'(x), 即可将原来的方程化为p'=f(x,p),很明显这就是一阶微分方程的标准形式,利用上述知识找出对应一阶常微分方程的形式求解;之后利用y'=p(x)两边积分,求解y=\int p(x)dx+C得原方程的通解;
  3.  y''=f(y,y')型微分方程(不含x): 将y视作自变量,令y'=p(y),那么y''=p'(x)=\frac{dp}{dx}=\frac{dp}{dy}\frac{dy}{dx}=p\frac{dp}{dy},即可将原来的方程化为p\frac{dp}{dy}=f\left ( y,p \right ), 很明显这也近似于一阶微分方程的标准形式,利用上述知识找出对应一阶常微分方程的形式求解;

5、微分方程的模型:

  1. 按已知规律建模法:物理、化学等学科中,许多现象所符合的规律或定律都已知道,建模时只需要依据这些规律,给出一些变量与变化率之间的关系,即可列出微分方程。使用这种方法时,首先要确立实际问题中的几个要素,例如自变量、未知函数、必要的参数与常数、坐标系等;然后找到一些与未知函数的变化率有关的规律及定律;最后按照已知的规律列出微分方程;

  2. 微元分析法:根据某些已知的规律及定律直接建立变量的微元之间的关系式,即可建立微分方程。使用这种方法时,首先要确立实际问题中的几个变量,再建立这些变量的微元,最后按照这些微元之间的关系列出等式,加以整理即可得到微分方程;

  3. 近似待定模拟校正法:在生物、经济等学科提出的一些实际问题中,一些现象的规律还不十分清楚,而且是极其复杂的,要用数学模型去研究这些实际问题,只能用近似待定模拟校正法。具体而言,是要作出各种假设,在不同的假设下去建立近似的模型。然后从数学上求解由这样近似所建立的微分方程或者分析解的性质,再与实际现象对比,看这个微分方程模型能否刻画、模拟、近似某些实际现象,如果不行,再进一步修订校正,直到合理为止。

6、微分方程建模的步骤:

  1. 把用语言描述的情况转化为文字方程;
  2. 陈述出所涉及的原则或定律;
  3. 建立微分方程;;
  4. 确定约束条件;
  5. 求出微分方程的通解;
  6. 求出微分方程通解中的任意常数;
  7. 给出问题答案;
  8. 检验答案是否满足问题的要求。

7、微分方程建模模型举例:

  • 饿狼追兔问题:现有一只兔子,一匹狼,兔子位于狼的正西100米处。假设兔子与狼同时发现对方并一起起跑,兔子往正北60米处的巢穴跑,而狼在追兔子,已知兔子、狼是匀速跑且狼的速度是兔子的两倍。问题是兔子能否安全回到巢穴? 
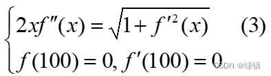
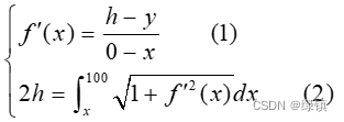
    • 首先建立如图所示的坐标系,设兔子在O处,狼在A处。由于狼要盯着兔子追,所以狼行走的是一条曲线,且在同一时刻,曲线上狼的位置与兔子的位置的连线为曲线上该点处的切线。设狼的行走轨迹是y=f\left ( x \right ), 则有f(100)=0,f'(100)=0,假设在某一时刻,兔子跑到D\left ( 0,h \right )处,而狼在C\left ( x,y \right )处,则有整理得到下述式子:,很明显这属于y''=f\left ( x,y' \right )型微分方程,即可降阶的二阶微分方程,解得狼的行走轨迹f(x)=\frac{1}{30}x^{\frac{3}{2}}-10x^{\frac{1}{2}}+\frac{200}{3};而因为f(0)=\frac{200}{3}>60所以狼追不上兔子。 
  • 尸体冷却问题:某地发生一起凶案,受害者的尸体于晚上7:30在其家中被发现,法医于晚上8:20赶到凶案现场,测得尸体温度为32.6℃;一小时后,当尸体即将被抬走时,测得尸体温度为31.4℃,室温在几个小时内始终保持21.1℃。此案最大的嫌疑人张某某声称自己是无罪的,并有证人说:“下午张某某一直在办公室上班,5:00时打完电话后就离开了办公室”。从嫌疑人张某某到受害者家(凶案现场)步行需5分钟,现在的问题是,嫌疑人张某某不在凶案现场的证言能否被采信,使他排除在嫌疑之外。
    • 首先应确定凶案的发生时间,若死亡时间在下午5:05之前,则张某某就可以排除嫌疑,否则不能排除;
    • f(t)表示t时刻尸体的温度,单位为摄氏度,并记晚上8:20t=0,则f(0)=32.6,f(1)=31.4。假设受害者死亡时体温是正常的,即f=37对应的时间是受害者死亡的时间,也就是求f(t)=37的时刻t,进而确定张某某是否是嫌疑犯;
    • 人体体温受大脑神经中枢调节。人死亡后体温调节的功能消失,尸体的温度受外界环境温度的影响。假设尸体温度的变化服从牛顿冷却定律,即尸体温度的变化率与他同周围的温度差成正比。即:\frac{df}{dt}=-k\left ( f-21.1 \right ),解答这个变量分离方程得f(t)=21.1+ae^{-kt},带入f(0),f(1),解得f(t)=21.1+11.5e^{-0.11t},当f=37时,有t=-2.95(2h57min)8h20min-2h57min=5h23min。即死亡时间大约在下午5:23,因此张某某不在凶案现场的证言不能被采信,不能被排除在嫌疑之外。
  • 马尔萨斯(Malthus)人口模型/指数增长模型:在人口自然增长过程中净相对增长(出生率与死亡率之差)是常数即单位时间内人口的增长量与人口成正比比例系数设为r在此假设下推导并求解人口随时间的变化;

    • 设时刻t的人口为N(t), 把N(t)当作连续、可微函数处理,据马尔萨斯的假设,在tt+\Delta t时问段内,人口的增长量为N(t+\Delta t)-N(t)=rN(t)\Delta t,即有\frac{dN}{dt}=rN

    • t=t_{0}时刻的人口为N_0,于是有N(t_0)=N_0\left\{\begin{matrix} \frac{dN}{dt}=rN\\N(t_0)=N_0 \end{matrix}\right.这个联立式就是马尔萨斯人口模型,求解这个变量分离方程可得N(t)=N_0 e^{r\left ( t-t_0 \right )},此式表明人口以指数规律随时间无限增长;

    • 马尔萨斯模型的一个显著特点是:种群数量翻一番所需的时间是固定的。令种群数量翻一番所需的时间为T,则有:2N_0=N_0e^{rT},那么T=\frac{\ln 2}{r}

    • 模型检验:据估计1961年地球上的人口总数为3.06\times 10^9,而在以后7年中,人口总数以每年2%的速度增长,即t_0=1961,N_0=3.06\times 10^9,r=0.02;于是N(t)=3.06\times 10^9e^{0.02\left ( t-1961 \right )}比较历年的人口统计资料,可发现人口增长的实际情况与马尔萨斯模型的预报结果基本相符,例如,1961年世界人口数为30.6亿(即3.06\times 10^9),人口增长率约为2%,人口数大约每35年增加一倍。检查1700年至1961260年人口实际数量,发现两者几乎完全一致,且按马尔萨斯模型计算,人口数量每34.6年增加一倍,两者也几乎相同;

    • 模型预测:假如人口数真能保持每34.6年增加一倍,那么人口数将以几何级数的方式增长。例如,到2510年,人口数将达到2\times10^{14}个,即使海洋全部变成陆地,每人也只有9.3平方英尺的活动范围,而到2670年,人口数将达到3.6\times 10^{16}个,只好一个人站在另一人的肩上排成二层了。 故马尔萨斯模型是不完善的。

  • Logistic模型/阻滞增长模型:马尔萨斯模型为什么不能预测未来的人口数呢?这主要是地球上的各种资源只能供一定数量的人生活,随着人口的增加,自然资源环境条件等囚素对人口增长的限制作佣越来越显著,如果当人口较少时,人口的自然增长率可以看作常数的话,那么当人口增加到一定数量以后,这个增长率就要随人口的增加而减小;因此应对马尔萨斯模型中关于净增长率为常数的假设进行修改。

    • ​​​​​​​​​​​​​​1838荷兰生物数学家韦尔侯斯特(Verhulst)引入常数N_m(最大人口容量)用来表示自然环境条件所能容许的最大人口数并假设增长率等于r\left ( 1-\frac{N(t)}{N_m} \right ),即净增长率随着N(t)的增加而减小N(t)\rightarrow N_m净增长率趋于0,按此假定建立人口预测模型;

    • 由韦尔侯斯特假定,马尔萨斯模型应改为Logistic模型,该变量分离方程的解为

    • 模型检验:用该模型检验美国从1790年到1950年的人口数发现模型计算的结果与实际人口数在1930年以前都非常吻合自从1930年以后误差愈来愈大一个明显的原因是在20世纪60年代美国的实际人口数已经突破了20世纪初所设的极限人口数由此可见该模型的缺点之一是N_m不易确定事实上随着一个国家经济的腾飞,它所拥有的食物就越丰富,N_m的值也就越大;​​​​​​​

    • 模型预测:用Logistic模型来预测世界未来人口总数。某生物学家估计r=0.029,又当人口总数为N=3.06\times 10^9时,人口每年以2%的速率增长Logistic模型得:\frac{1}{N}\frac{dN}{dt}=r\left ( 1-\frac{N}{N_m} \right );解得N_m=9.86\times 10^9,即世界人口总数极限值约为100亿。​​​​​​​

参考资料:

微分方程(1)-基本概念及分类 - 知乎 (zhihu.com)
微分方程第五节 可降阶的高阶微分方程 - 知乎 (zhihu.com)


http://chatgpt.dhexx.cn/article/8AYaYWWc.shtml

相关文章

微分方程模型

微分方程模型简介 在研究生物、经济等学科的实际问题时,常常会联系到某些变量的变化率或导数,这样所得到变量之间的关系式就是微分方程。微分方程反映的是变量之间的间接关系,因此,要得到直接关系,就得求解微分方程。…

【数学建模】常用微分方程模型 + 详细手写公式推导 + Matlab代码实现

文章目录 一、学习内容二、学习时间三、学习产出3.1 微分方程基本概念3.2 微分方程在数学建模中的应用3.3 微分方程常用模型3.3.1 人口增长模型3.3.1.1 指数增长模型(马尔萨斯模型)3.3.1.2 阻滞增长模型(Logistic模型)3.3.1.3 人口模型小结 3.3.2 传染病模型3.3.2.1 SI模型3.3.…

数学建模之微分方程模型详解

全文共10110个字,码字总结不易,老铁们来个三连:点赞、关注、评论 作者:[左手の明天] 原创不易,转载请联系作者并注明出处 版权声明:本文为博主原创文章,遵循 CC 4.0 BY-SA 版权协议&#xff0c…

Station P2(ROC-RK3568-PC) 裸机开发5_RKUBoot TPL

完整编译 u-boot-next-dev:./make.sh rk3568 2>&1 >log.txt 生成两个主要的文件是: RKLoader:rk356x_spl_loader_v1.08.111.bin Uoot FIT Image:uboot.img 两个都是有特定格式的混合文件。 RKLoader 的生成&#xf…

tpl怎么搞_emlog后台模板设置功能插件tpl_options

到目前为止emlog都没有集成模板后台设置功能,可能是和emlog一直走轻量级路径有关。但是集成模板后台配置功能,无论是对emlog模板开发者还是用户来说,其作用都非常大,可以使一些模板功能不需要修改模板文件就可以改变设置&#xff…

tpl.js的使用

tpl.js的使用 tpl.js简介1.如何写模板2.如何引用模板tpl.js的下载地址 tpl.js简介 tpl.js是用于和require.js相结合的html模板,和template.js的用法非常相似,我们可以从以下几点来学习它,我们先来看一下小案例中的目录结构: 1.如何写模板 …

vscode配置tpl文件关联html语言

使用beego框架的时候,有个操作,需要将tpl文件修改vscode识别成html; 有两种方法: 方法一:页面配置 ctrl shift p 选择打开工作区设置 找到Files:Associations文件关联 添加项:*.tpl html 方法二&…

基于JAVA的TPL解释器

基于JAVA的TPL解释器 编写一个Java程序,该程序读取一个文件中的TPL指令(见下文),并执行这些指令。该语言编写的程序每一行都必须以这些单词中的一个开头,不区分大小写。具体代码可参考链接 https://download.csdn.net…

U-Boot 之零 源码文件、启动阶段(TPL、SPL)、FALCON、设备树

最近,工作重心要从裸机开发转移到嵌入式 Linux 系统开发,在之前的博文 Linux 之八 完整嵌入式 Linux 环境、(交叉)编译工具链、CPU 体系架构、嵌入式系统构建工具 中详细介绍了嵌入式 Linux 环境,接下来就是重点学习一…

java .tpl是什么模版_tpl标签定义

canonical 阅读(996) 评论(0) 编辑 收藏 所属分类: Witrix开发平台 tpl自定义标签的设计目标之一是尽量减少配置说明项. 在tpl标签库中, 标签定义格式如下 importVars"varA, varB" otherArgs"optionalArgA, optionalArgB" localScope"trueOrFalse&q…

创建TPL自定义模板

文件布局 <!--1d7c7a527b6335cc7a623305ca940e1findex.tpl.html--><!DOCTYPE htmlPUBLIC "-//W3C//DTD XHTML 1.0 Transitional//EN""http://www.w3.org/TR/xhtml1/DTD/xhtml1-transitional.dtd"> <html xmlns"http://www.w3.org/1999…

php tpl模板文件,php自己创建TPL模板引擎之初学习

一&#xff0c;创建初始化模板所需的文件和文件夹。 1&#xff0c;index.php主文件&#xff0c;用于编写业务逻辑。 2&#xff0c;template.inc.php模板初始化文件&#xff0c;用于初始化模板信息。 3&#xff0c;templates目录存放所有的模板文件。 4&#xff0c;templates_c目…

观远数据苏春园:五年AI+BI路,数智化破局中的变与不变|数据猿采访

““2021年终大型金猿主题策划活动”已正式开启&#xff0c;欢迎报名参与&#xff1a;榜单奖项产业图谱行业报告线下论坛&#xff5c;或点击文末“阅读原文”链接后提交活动意向报名表&#xff0c;并进一步与数据猿工作人员沟通后&#xff0c;可获取相关申报资料与模板。 数据智…

大咖 | 王汉生:从数据到价值的转化,回归分析的“道”与“术”

摘自《数据思维》 作者&#xff1a;王汉生 学过统计学的同学们都知道一件事情&#xff0c;回归分析师数据分析的一个非常重要的模型方法。而且这些模型很可能是线性的、非线性的,也可能是参数的、非参数的,甚至是一元的、多元的,低维的、高维的,不尽相同。所以&#xff0c;把数…

李宏毅深度学习--《Backpropagation》

李宏毅深度学习 Gradient Descent of neural network&#xff1a; n e u r a l n e t w o r k neural\ \ network neural network的参数&#xff1a; θ { w 1 , w 2 , ⋯ , b 1 , b 2 , ⋯ } θ\{w_1,w_2,\cdots,b_1,b_2,\cdots \} θ{w1​,w2​,⋯,b1​,b2​,⋯}计算参数 θ…

郑宇:多源数据融合与时空数据挖掘(转载)

来自&#xff1a; https://mp.weixin.qq.com/s?__bizMzAwMTA3MzM4Nw&mid2649440531&idx1&snd9c92b1f157ee37c7c6e185919a3ffbb&chksm82c0a897b5b721810f4d795cc144d309086274a9071515e727f9f420d7ffb7f06c9b376557ee&scene21#wechat_redirect 和https:/…

近10年数据智能团队建设,联想总结了由内而外的发展经验 | 专访联想集团副总裁田日辉...

来源&#xff1a;大数据文摘 本文约3300字&#xff0c;建议阅读5分钟。 本文为清华大学大数据研究中心联合大数据文摘发起的年度白皮书《顶级数据团队建设全景报告》系列专访的第四篇内容。《报告》囊括专家访谈、问卷、网络数据分析&#xff0c;力求为行业内数据团队的组建和高…

谷俊丽:基于大数据的深度学习

嘉宾介绍&#xff1a;谷俊丽&#xff0c;博士学历&#xff0c;毕业于清华大学-美国University of Illinois Urbana-champaign大学&#xff0c;在清华期间作为核心人员研发过超长指令字数字信号处理器&#xff0c;在美期间曾参与UIUC超级计算机上的研究工作&#xff0c;并工作实…

MyBatis从入门到精通(1):MyBatis入门

作为一个自学Java的自动化专业211大学本科生&#xff0c;在学习和实践过程中”趟了不少雷“&#xff0c;所以有志于建立一个适合同样有热情学习Java技术的参考“排雷手册”。 最近在读刘增辉老师所著的《MyBatis从入门到精通》一书&#xff0c;很有收获&#xff0c;于是将自己学…

给力!低代码开发平台广州流辰信息科技助您增辉创价值!

低代码平台开发公司流辰信息深耕行业多年&#xff0c;一直以市场为导向&#xff0c;凭借敏锐的市场洞察力砥砺前行、拼搏进取&#xff0c;提升研发创新能力&#xff0c;广州流辰信息科技与各新老客户朋友风雨同舟&#xff0c;携手共创宏伟新蓝图&#xff01; 一、熔铸前沿科技 …