微分方程模型

article/2025/10/10 22:32:55

微分方程模型简介

在研究生物、经济等学科的实际问题时,常常会联系到某些变量的变化率或导数,这样所得到变量之间的关系式就是微分方程。微分方程反映的是变量之间的间接关系,因此,要得到直接关系,就得求解微分方程。

1.微分方程建模分类:

静态优化模型
存储模型,价格模型,消费者均衡模型

动态模型
人口模型,传染病模型

  • 描述对象特征随时间(空间)的演变过程
  • 分析对象特征的变化规律
  • 预报对象特征的未来性质
  • 研究控制对象特征的手段

稳态模型
种群的竞争模型,军备竞赛模型

2.建立微分方程模型的方法

翻译或转化
在实际问题中许多表示导数的常用词,如“速率”、‘增长”(在生物学以及人口问题研究中),“衰变”(在放射性问题中),以及“边际的”(在经济学中)等。

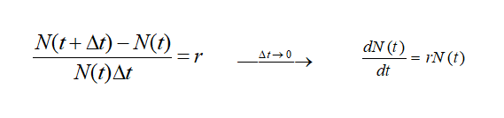
建立瞬时表达式
根据自变量有微小改变△t时,因变量的增量△W,建立起在时段△t上的增量表达式,令△t →0,即得到 dw/dt 的表达式。

配备物理单位
在建模中应注意,一旦确定了哪些子项应该列入微分方程中,就要确保每一项都采用同样的物理单位,以保证式子的平衡。

确定约束条件
约束条件是关于研究对象在某一特定时刻或边界上的信息(比如初始时刻),它们独立于微分方程而存在,用以确定有关的常数(比如比例系数、解中的积分常数、方程参数)。为完整充分地给出问题的数学陈述,应将这些约束条件和微分方程一起列出。

引例(体重问题):

某人的食量是10467(焦/天),其中5038(焦/天)用于基本的新陈代谢(即自动消耗)。在健身训练中,他所消耗的热量大约是69(焦/公斤*天)乘以他的体重 (公斤).假设以脂肪形式贮藏的热量100%地有效,而1公斤脂肪含热量41868焦。
试研究此人的体重随时间变化的规律.

1模型分析
问题中并未出现“变化率”、“导数”等关键词,但要寻找的是体重(记为W)关于时间(记为t)的函数。如果把W看成是t的连续可微函数,则就找到了一个含有 dw/dt 的微分方程。

2模型假设
(1)以W(t)表示t时刻某人体重,并设一天开始时人的体重为W0 。
(2)体重的变化是一个渐变的过程。因此可以认为W(t)是关于连续t而且充分光滑的。
(3)体重的变化等于输入与输出之差,其中输入是指扣除了基本新陈代谢之后的净食量吸收;输出是进行健身训练时的消耗。

3模型建立
1、“每天”:体重的变化/天=净吸收量/天一净输出量/天,其中:
净吸收量/天=10467-5038 =5429(焦/天)
净输出量/天=69(焦/公斤·天)×W(公斤)
=69W(焦/天)

体重的变化/天=△w/△t(公斤/天)=△t->0 dw/dt (微元分析法)

4配备物理单位
有些量是用能量(焦)的形式给出的,而另外一些量是用重量的形式(公斤)给出,已知1公斤脂肪含热量41868焦,考虑单位的匹配,有:
在这里插入图片描述

5建立瞬时表达式:
在这里插入图片描述

6确定约束条件:
在这里插入图片描述

模型求解
利用变量分离法求解可得:
在这里插入图片描述
在这里插入图片描述

用MATLAB求解引例的解析解

在这里插入图片描述

输入命令:dsolve(‘DW=1296-16W/10000’, ‘W(0)=W0 ’,‘t’)
结果为:81+exp(-1/625t)(-81+W0)

求解微分方程模型的方法

  • 求解析解(精确解);
    dsolve(‘方程1’,‘方程2’,…,‘方程n’,‘初始条件’,‘自变量’)
    例题:在这里插入图片描述

解 输入命令:dsolve(‘Du=1+u^2’,‘t’)
结果为:u = tan(t+c1)

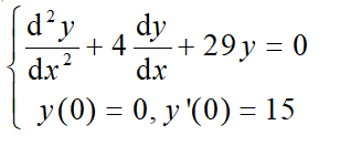
例题2:
求微分方程的通解。
在这里插入图片描述

解 输入命令:
y=dsolve(‘D2y+4Dy+29y=0’,‘y(0)=0,Dy(0)=15’,‘x’)
结果为: 3exp(-2x)sin(5x)

  • 求数值解(近似解)

在生产和科研中所处理的微分方程往往很复杂,且大多得不出一般解.而实际中的初值问题,一般是要求得到解在若干个点上满足规定精确度的近似值,或者得到一个满足精确度要求的便于计算的表达式。因此,研究常微分方程的数值解法是十分必要的。

对常微分方程:y’=f(x,y) y(x0)=y0 ,其数值解是指由初始点x0开始的若干离散的x处的值,即对x0<x1<x2<…<xn,求出准确值y(x1) ,y(x2)…y(xn)的相应近似值y1,y2…yn。

  • 定性理论方法。

实例2.人口模型

人口问题是当今世界上最令人关注的问题之一,一些发展中国家的人口出生率过高,越来越威胁着人类的正常生活,有些发达国家的自然增长率趋于零,甚至变为负数,造成劳动力紧缺,也是不容忽视的问题。另外,在科学技术和生产力飞速发展的推动下,世界人口以空前的规模增长,统计数据显示:
世界人口统计:
在这里插入图片描述
我国人口统计:
在这里插入图片描述
问题的提出:
人口在不断的增长, 其增长有无规律可循?
目标:预测人口发展趋势;控制人口增长。

建立模型:

1、简单模型

要预报未来若干年的人口数,两个重要因素:
当前的人口数x0、年增长率r(出生率-死亡率)
一年后,人数增加到:x1=x0+x0*r=x0(1+r)
k 年后,人口数为:xk=x0(1+r)^k

2、Malthus 模型(指数增长模型)

Malthus(1766–1834)是英国的人口学家。他根据百余年的人口统计资料,于1798年提出著名的人口指数增长模型。

模型假设:
人口净相对增长率为常数r、净相对增长率是单位时间内的人口的增长量占当时的人口总数的比例、t时刻人口总数为N(t)、把N(t) 当作连续的变量
在这里插入图片描述

Malthus 模型:

在这里插入图片描述

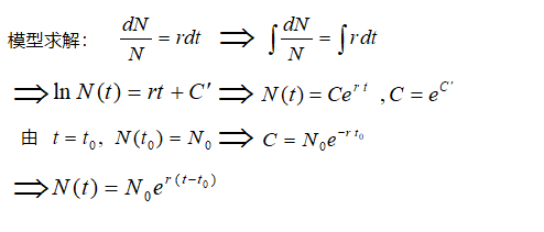
模型求解:

在这里插入图片描述

模型分析:

(1)数据表明,在1700—1961年期间,世界人口吻合较好。在此期间,人口约35年增长一倍。
(2)若r>0,人口以指数规律无限增长,t→∞时,N(t)→+∞.这似乎不太可能。
在这里插入图片描述
在这里插入图片描述

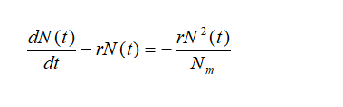
3、Logistic模型(阻滞增长模型)

**模型假设:**人口相对增长率随人口的增加而线性减少。
在这里插入图片描述
在这里插入图片描述
**模型的建立:
在这里插入图片描述
**
这是一个非齐次常微分方程
在这里插入图片描述
容易求得其齐次常微分方程:
在这里插入图片描述

模型的求解
在这里插入图片描述

结论:在人 口总数达到极限值Nm的一半以前是加速生长期,过了这一点以后,生长率逐渐减小,并且趋于零。

4、Leslie模型(按年龄分布的离散人口增长模型)

-------差分方程模型

模型假设:
(1)时间离散化,设男女人口的性别比例为1:1。因此模型仅需考虑女性人口的发展变化。假设女性最大年龄为S岁,将其等间隔分成m个年龄段(年龄离散化),设S为m的整数倍,每隔S/m年观察一次(时间离散化),不考虑同一时间间隔内人口数量的变化;
(2)记ni(t)为第i个年龄组t次观察的女性总人数,记
在这里插入图片描述

第i年龄组女性生育率(生女率)为bi,女性死亡率为di,则女性存活率si=1-di,设bi ,di不随时间变化;
(3)不考虑自然资源的制约,不考虑意外灾难对人口的影响;
(4)生育率和存活率仅与年龄段有关。

模型的建立
在这里插入图片描述
建立矩阵为:
在这里插入图片描述


http://chatgpt.dhexx.cn/article/SRTlgwr2.shtml

相关文章

【数学建模】常用微分方程模型 + 详细手写公式推导 + Matlab代码实现

文章目录 一、学习内容二、学习时间三、学习产出3.1 微分方程基本概念3.2 微分方程在数学建模中的应用3.3 微分方程常用模型3.3.1 人口增长模型3.3.1.1 指数增长模型(马尔萨斯模型)3.3.1.2 阻滞增长模型(Logistic模型)3.3.1.3 人口模型小结 3.3.2 传染病模型3.3.2.1 SI模型3.3.…

数学建模之微分方程模型详解

全文共10110个字&#xff0c;码字总结不易&#xff0c;老铁们来个三连&#xff1a;点赞、关注、评论 作者&#xff1a;[左手の明天] 原创不易&#xff0c;转载请联系作者并注明出处 版权声明&#xff1a;本文为博主原创文章&#xff0c;遵循 CC 4.0 BY-SA 版权协议&#xff0c…

Station P2(ROC-RK3568-PC) 裸机开发5_RKUBoot TPL

完整编译 u-boot-next-dev&#xff1a;./make.sh rk3568 2>&1 >log.txt 生成两个主要的文件是&#xff1a; RKLoader&#xff1a;rk356x_spl_loader_v1.08.111.bin Uoot FIT Image&#xff1a;uboot.img 两个都是有特定格式的混合文件。 RKLoader 的生成&#xf…

tpl怎么搞_emlog后台模板设置功能插件tpl_options

到目前为止emlog都没有集成模板后台设置功能&#xff0c;可能是和emlog一直走轻量级路径有关。但是集成模板后台配置功能&#xff0c;无论是对emlog模板开发者还是用户来说&#xff0c;其作用都非常大&#xff0c;可以使一些模板功能不需要修改模板文件就可以改变设置&#xff…

tpl.js的使用

tpl.js的使用 tpl.js简介1.如何写模板2.如何引用模板tpl.js的下载地址 tpl.js简介 tpl.js是用于和require.js相结合的html模板,和template.js的用法非常相似&#xff0c;我们可以从以下几点来学习它&#xff0c;我们先来看一下小案例中的目录结构&#xff1a; 1.如何写模板 …

vscode配置tpl文件关联html语言

使用beego框架的时候&#xff0c;有个操作&#xff0c;需要将tpl文件修改vscode识别成html&#xff1b; 有两种方法&#xff1a; 方法一&#xff1a;页面配置 ctrl shift p 选择打开工作区设置 找到Files:Associations文件关联 添加项&#xff1a;*.tpl html 方法二&…

基于JAVA的TPL解释器

基于JAVA的TPL解释器 编写一个Java程序&#xff0c;该程序读取一个文件中的TPL指令&#xff08;见下文&#xff09;&#xff0c;并执行这些指令。该语言编写的程序每一行都必须以这些单词中的一个开头&#xff0c;不区分大小写。具体代码可参考链接 https://download.csdn.net…

U-Boot 之零 源码文件、启动阶段(TPL、SPL)、FALCON、设备树

最近&#xff0c;工作重心要从裸机开发转移到嵌入式 Linux 系统开发&#xff0c;在之前的博文 Linux 之八 完整嵌入式 Linux 环境、&#xff08;交叉&#xff09;编译工具链、CPU 体系架构、嵌入式系统构建工具 中详细介绍了嵌入式 Linux 环境&#xff0c;接下来就是重点学习一…

java .tpl是什么模版_tpl标签定义

canonical 阅读(996) 评论(0) 编辑 收藏 所属分类: Witrix开发平台 tpl自定义标签的设计目标之一是尽量减少配置说明项. 在tpl标签库中, 标签定义格式如下 importVars"varA, varB" otherArgs"optionalArgA, optionalArgB" localScope"trueOrFalse&q…

创建TPL自定义模板

文件布局 <!--1d7c7a527b6335cc7a623305ca940e1findex.tpl.html--><!DOCTYPE htmlPUBLIC "-//W3C//DTD XHTML 1.0 Transitional//EN""http://www.w3.org/TR/xhtml1/DTD/xhtml1-transitional.dtd"> <html xmlns"http://www.w3.org/1999…

php tpl模板文件,php自己创建TPL模板引擎之初学习

一&#xff0c;创建初始化模板所需的文件和文件夹。 1&#xff0c;index.php主文件&#xff0c;用于编写业务逻辑。 2&#xff0c;template.inc.php模板初始化文件&#xff0c;用于初始化模板信息。 3&#xff0c;templates目录存放所有的模板文件。 4&#xff0c;templates_c目…

观远数据苏春园:五年AI+BI路,数智化破局中的变与不变|数据猿采访

““2021年终大型金猿主题策划活动”已正式开启&#xff0c;欢迎报名参与&#xff1a;榜单奖项产业图谱行业报告线下论坛&#xff5c;或点击文末“阅读原文”链接后提交活动意向报名表&#xff0c;并进一步与数据猿工作人员沟通后&#xff0c;可获取相关申报资料与模板。 数据智…

大咖 | 王汉生:从数据到价值的转化,回归分析的“道”与“术”

摘自《数据思维》 作者&#xff1a;王汉生 学过统计学的同学们都知道一件事情&#xff0c;回归分析师数据分析的一个非常重要的模型方法。而且这些模型很可能是线性的、非线性的,也可能是参数的、非参数的,甚至是一元的、多元的,低维的、高维的,不尽相同。所以&#xff0c;把数…

李宏毅深度学习--《Backpropagation》

李宏毅深度学习 Gradient Descent of neural network&#xff1a; n e u r a l n e t w o r k neural\ \ network neural network的参数&#xff1a; θ { w 1 , w 2 , ⋯ , b 1 , b 2 , ⋯ } θ\{w_1,w_2,\cdots,b_1,b_2,\cdots \} θ{w1​,w2​,⋯,b1​,b2​,⋯}计算参数 θ…

郑宇:多源数据融合与时空数据挖掘(转载)

来自&#xff1a; https://mp.weixin.qq.com/s?__bizMzAwMTA3MzM4Nw&mid2649440531&idx1&snd9c92b1f157ee37c7c6e185919a3ffbb&chksm82c0a897b5b721810f4d795cc144d309086274a9071515e727f9f420d7ffb7f06c9b376557ee&scene21#wechat_redirect 和https:/…

近10年数据智能团队建设,联想总结了由内而外的发展经验 | 专访联想集团副总裁田日辉...

来源&#xff1a;大数据文摘 本文约3300字&#xff0c;建议阅读5分钟。 本文为清华大学大数据研究中心联合大数据文摘发起的年度白皮书《顶级数据团队建设全景报告》系列专访的第四篇内容。《报告》囊括专家访谈、问卷、网络数据分析&#xff0c;力求为行业内数据团队的组建和高…

谷俊丽:基于大数据的深度学习

嘉宾介绍&#xff1a;谷俊丽&#xff0c;博士学历&#xff0c;毕业于清华大学-美国University of Illinois Urbana-champaign大学&#xff0c;在清华期间作为核心人员研发过超长指令字数字信号处理器&#xff0c;在美期间曾参与UIUC超级计算机上的研究工作&#xff0c;并工作实…

MyBatis从入门到精通(1):MyBatis入门

作为一个自学Java的自动化专业211大学本科生&#xff0c;在学习和实践过程中”趟了不少雷“&#xff0c;所以有志于建立一个适合同样有热情学习Java技术的参考“排雷手册”。 最近在读刘增辉老师所著的《MyBatis从入门到精通》一书&#xff0c;很有收获&#xff0c;于是将自己学…

给力!低代码开发平台广州流辰信息科技助您增辉创价值!

低代码平台开发公司流辰信息深耕行业多年&#xff0c;一直以市场为导向&#xff0c;凭借敏锐的市场洞察力砥砺前行、拼搏进取&#xff0c;提升研发创新能力&#xff0c;广州流辰信息科技与各新老客户朋友风雨同舟&#xff0c;携手共创宏伟新蓝图&#xff01; 一、熔铸前沿科技 …

汇聚数据库创新力量,加速企业数字化转型

2022年12月29日&#xff0c;以“汇聚数据库创新力量&#xff0c;加速企业数字化转型”为主题的openGauss Summit 2022在线上举行。会上&#xff0c;openGauss社区理事会理事长江大勇对外公布了最近社区及生态进展&#xff0c;并宣布推出资源池化架构&#xff0c;实现软硬融合&a…