数学建模【微分方程模型(介绍、分析方法、数值模拟、传染病问题的建模和分析、经济增长模型、人口增长预测和控制模型)】

article/2025/10/10 20:04:18

🚀【MOOC数学建模与实验---学习笔记---整理汇总表】🚀

🌈【学习网址:MOOC---郑州轻工业大学---数学建模与实验】🌈

  • 【第1、2章】【概述、软件介绍】
  • 【第3章】【数据处理方法】
  • 【第4章】【规划模型】
  • 【第5章】【图与网络模型】
  • 【第6章】【微分方程模型】
  • 【第7章】【统计模型】
  • 【第8章】【系统评价决策模型】
  • 【各个章节---作业题解析】

目   录

6.1 微分方程模型介绍

微分方程模型介绍

一、建立微分方程

二、微分方程的解法

二,微分方程的解法之解析方法

二,微分方程的解法之数值方法

Matlab软件计算数值解

6.2 微分方程模型的分析方法

微分方程的解法

非线性微分方程的线性化

数值分析方法

6.3 微分方程模型的数值模拟

考虑Lorenz模型

地中海鲨鱼问题

食饵—捕食系统的数学模型

6.4 传染病问题的建模和分析

模型1 已感染人数i(t)

模型2 SI模型

模型3 SIS模型

模型4 SIR模型

6.5 经济增长模型

道格拉斯(Douglas)生产函数

资金与劳动力的最佳分配(静态模型)

经济(生产率)增长的条件(动态模型)

Bernoulli方程

6.6 人口增长预测和控制模型

1、人口发展方程

2、连续型人口发展模型

3、模型求解

4、讨论

人口发展方程和生育率

人口指数---常用函数


6.1 微分方程模型介绍

微分方程模型介绍

微分方程在现代科学的每一个领域都有广泛的应用,比如力学、运动学、电学、经济学、生物学、自动控制、化学等等,都可以看到大量利用微分方程表示的事物变化规律,这也体现了微分方程的重要性。

在高等数学中我们对微分方程有一定的认识,比如怎样求解一些简单的微分方程,对于一些细心的同学,可能想到对于复杂的微分方程的求解是一个重要的问题,但是,可能忽略一个同样重要的问题,那就是如何建立微分方程。同样是方程,其建立的过程一定程度上和前一部分方程的建立有相似之处,但不同之处是微分方程的建立过程中一般会涉及到变化率的概念(往往和时间有关)。比如运动学中速度是位移对时间的变化率,加速度是速度的变化率,电学中电流是电量的变化率,人口学中人口增长率是人口数对时间的 变化率等等。

分离变量法:求解微分方程(涉及时间变化)               化学反应、打气运动、人口数量变化、传染病发展规律

常微分方程、偏微分方程            滞后现象

差分方程 离散化,例:时间->一个单位一个单位地变化、天、年...   相邻不同节点之间的迭代关系

一、建立微分方程

下面用一些常见的问题说明微分方程建模的基本方法。

例子1:放射性物质的衰变。

物理学家发现,放射性物质衰变的速度和物质的量成正比。

例子2:人口(生物数量)增长问题。 鱼类🐟、微生物、两种群之间的数量变化关系、人口数量(迁入、迁出)

通过观察发现,人口增长和现有人口数量成正比。

例子3:热传导问题。

牛顿定理表述热传导为:高温物体热量的散失速度和温度差成比例。

例子4:物体的运动问题。

物体运动可以用牛顿三大定律描述。

例子5:万有引力定理。

开普勒发现地球沿着以太阳为焦点的椭圆轨道运动,运动速度满足单位时间所扫过的面积相等。

例子6:传染病问题。

医学经验表明,传染病有几个关键要素,易感人群、带病人群,而传染往往通过两种人群的接触导致,不仅和易感人群和带病人群有关,还有他们 的接触有关。

例子7:战争问题。

交战双方的伤亡虽然比较复杂,但是大致遵循这样一些规律,比如武器的杀伤力、防御力,还有双方的人数对比等因素。

二、微分方程的解法

解析方法

对于一些比较简单的微分方程,可以通过一些数学技巧解出,比如高等数学上接触的一些方程:可分离变量的方程、齐次方程、一阶线性微分方程、一些特殊的二阶常系数微分方程等等。

数值方法

能得到解析解的微分方程毕竟只是少数,对于从实际问题中提取的大量微分方程,无法得到方程的解析解,数值方法可以说是实际问题中必不可少的手段。

常见微分方程模型

关于微分方程的解,就是满足方程的一个函数族(或者一条曲线族)。我们又称其为微分方程的通解。用得更加广泛的是满足特定条 件的解,我们称其为特解。比如

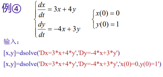
二,微分方程的解法之解析方法

   eqn1:微分方程的第一个方程,...   微分方程表达式

c1...   微分方程的初始值   var1:微分方程涉及的变量

   

没有初始条件,求出的解 一般是 通解(Dy)。      指定变量为x,求出的方程 自变量为x,否则为t。

 求特定解

二,微分方程的解法之数值方法

对于大量的微分方程,只能得到其数值解,一般而言,得到的解是方程的一个特解的近似。求微分方程数值解的方法很多,比如:欧拉法、龙格—库塔法等。其基本思想就是通过已知点得到函数值,并用该函数值代替一个小区间上函数的导数,得到在该区间上的一条直线,并用该直线作为方程特解的近似。有兴趣的同学可以参考微分方程数值解方面的著作。

Matlab软件计算数值解

solver 求解器  常用: ode23(运算速度快)、ode45(精度高)最常用。     ode15s(针对 刚性问题)       'f' 或者 @f

范例

范例

 混沌现象

6.2 微分方程模型的分析方法

微分方程的解法

 常见微分方程形式

实际问题简化 --> 微分方程

非线性微分方程的线性化

 研究平衡点稳定性 -> 转化微分方程

 系数矩阵 、雅可比矩阵

 需要写出 系数矩阵。

数值分析方法

function f = weif(x,y)
f = -y+x+1;[x,y]=ode23('weif', [0, 1], 1)plot(x, y, 'r');
hold on
ezplot('x+exp(-x)',[0, 1])

   

 无解析表达式!!!

% (1)编写M文件(文件名为 vdpol.m):
function yp = vdpol(t,y);
global a;
yp = [y(2);a*(1-y(1)^2)*y(2)-y(1)];% (2)编写程序如下:(vdj.m)
global a; % 全局变量
a=1;
[t,y]=ode23('vdpol',[0,20],[3,0]);
y1=y(:,1); % 原方程的解
y2=y(:,2);
plot(t,y1,t,y2,'--') % y1(t),y2(t) 曲线图
pause,
plot(y1,y2),grid, % 相轨迹图,即y2(y1)曲线

 图像:周期变换

6.3 微分方程模型的数值模拟

考虑Lorenz模型

 考虑模型变化规律   洛伦兹系统---混沌系统

% 1、 lorenz1.m
function xdot = lorenz1(t,x)
xdot=[-3*(x(1)-x(2))-x(1)*x(3)+26.5*x(1)-x(2)-x(3)+x(2)*x(1)];% 2、ltest.m
x0=[0.0 1.0 0]';
[t,x]=ode45('lorenz1',[0,100],x0); % 更改变量区间[0,10]
plot(t,x(:,1),'-',t,x(:,2),'*',t,x(:,3),'+')
figure;
plot3(x(:,1),x(:,2),x(:,3)),grid on

观察结果

1、该曲线包含两个“圆盘”,每一个都是由螺线形轨道构成。某些轨道几乎是垂直地离开圆盘中一个而进入另一个。

2、随着t的增加,x(t)先绕一个圆盘几圈,然后“跳”到另一个圆盘中。绕第二个圆盘几圈,又跳回原来的圆盘。并以这样的方式继续 下去,在每个圆盘上绕的圈数是随机的。

思考:该空间曲线与初始点x0的选择有关吗?

1)x0=[0 0.1 0.1]‘;[t0,tf]=[0,30];解向量y

2)x00=[0.01 0.11 0.11]‘;[t0,tf]=[0,30];解向量x y – x = (y1-x1,y2-x2,y3-x3)。

注:这是这两个向量必须是同维数, 并且所取的时间节点应该相同。解决的办法是将[t0,tf]直接定义为如下的形式,比如0:0.1:30。

地中海鲨鱼问题

想:战争为什么使鲨鱼数量增加?是什么原因?

因为战争使捕鱼量下降,食用鱼增加,显然鲨鱼也随之增加。

但为何鲨鱼的比例大幅增加呢?生物学家Ancona无法解释这个现象,于是求助于著名的意大利数学家V.Volterra,希望建立一个食饵—捕食系统的数学模型,定量地回答这个问题。

食饵—捕食系统的数学模型

该模型反映了在没有人工捕获的自然环境中食饵与捕食者之间的制约关系,没有考虑食饵和捕食者自身的阻滞作用,是Volterra提出的最简单的模型。

给定一组具体数据,用matlab软件求解。

  • 食饵          :r_{1}=1,\lambda _{1}= 0.1,x_{10}=25;

  • 捕食(鲨鱼):r_{2}=0.5,\lambda _{2}= 0.02,x_{20}=2;

编制程序如下:

% 1、建立m-文件shier.m如下:
function dx=shier(t,x)
dx=zeros(2,1);
dx(1)=x(1)*(1-0.1*x(2));
dx(2)=x(2)*(-0.5+0.02*x(1));% 2、建立主程序shark.m如下:
[t,x]=ode45('shier',[0 15],[25 2]);
plot(t,x(:,1),'-',t,x(:,2),'*')
figure;
plot(x(:,1),x(:,2))

 图2:周期变化

 数量增加:滞后

 重心坐标的计算:高等数学...

6.4 传染病问题的建模和分析

模型1 已感染人数i(t)

 i(t):在t时刻,被感染人数所占百分比

 等式两边,同时除以△t,△t趋于0时 --> di/dt = \lambda i

初始条件:0时刻,i(0) = i_{0}

模型2 SI模型

 △t时间内,增加的感染人数。病人每天接触的人数:\lambda s(t)

 i随时间t的变化规律

di/dt:单位时间内,被感染者的变化率。

模型3 SIS模型

 减小λ值,延迟高峰期的到来。

模型4 SIR模型

 降低 日接触率:隔离措施↑

 降低s_{0}群体免疫:疫苗

6.5 经济增长模型

道格拉斯(Douglas)生产函数

 Q(t):以劳动力、资金为自变量的函数

 含义:二阶导数<0:增加速率降低

资金与劳动力的最佳分配(静态模型)

经济(生产率)增长的条件(动态模型)

Bernoulli方程

6.6 人口增长预测和控制模型

1、人口发展方程

偏微分方程

F(0, t) = 0:在t时刻,年龄<0的人数(未出生的人数);F(r_{m}, t) = 0:在t时刻,年龄<r_{m}的人数(r_{m}:人的最高年龄)

2、连续型人口发展模型

p(r, 0):人口小于r的人口密度;   p(0, t) = f(t):在t时刻,未出生的人口密度为f(t)

3、模型求解

在社会安定的局面下和不太长的时间内,死亡率大致与时间无关,近似假设μ (r, t)=μ (r),死亡率只与年龄有关。

4、讨论

人口发展方程和生育率

人口指数---常用函数


http://chatgpt.dhexx.cn/article/R8Dlhtnv.shtml

相关文章

数学建模理论自制笔记1:微分方程及其模型

1、微分方程基础概念&#xff1a; 微分方程&#xff1a;含有自变量、未知函数及未知函数的导数或微分的等式&#xff0c;其定义式为&#xff1b;常微分方程&#xff08;Ordinary Differential Equations, ODE&#xff09;&#xff1a;不含偏导数或偏微分的微分方程&#xff0c…

微分方程模型

微分方程模型简介 在研究生物、经济等学科的实际问题时&#xff0c;常常会联系到某些变量的变化率或导数&#xff0c;这样所得到变量之间的关系式就是微分方程。微分方程反映的是变量之间的间接关系&#xff0c;因此&#xff0c;要得到直接关系&#xff0c;就得求解微分方程。…

【数学建模】常用微分方程模型 + 详细手写公式推导 + Matlab代码实现

文章目录 一、学习内容二、学习时间三、学习产出3.1 微分方程基本概念3.2 微分方程在数学建模中的应用3.3 微分方程常用模型3.3.1 人口增长模型3.3.1.1 指数增长模型(马尔萨斯模型)3.3.1.2 阻滞增长模型(Logistic模型)3.3.1.3 人口模型小结 3.3.2 传染病模型3.3.2.1 SI模型3.3.…

数学建模之微分方程模型详解

全文共10110个字&#xff0c;码字总结不易&#xff0c;老铁们来个三连&#xff1a;点赞、关注、评论 作者&#xff1a;[左手の明天] 原创不易&#xff0c;转载请联系作者并注明出处 版权声明&#xff1a;本文为博主原创文章&#xff0c;遵循 CC 4.0 BY-SA 版权协议&#xff0c…

Station P2(ROC-RK3568-PC) 裸机开发5_RKUBoot TPL

完整编译 u-boot-next-dev&#xff1a;./make.sh rk3568 2>&1 >log.txt 生成两个主要的文件是&#xff1a; RKLoader&#xff1a;rk356x_spl_loader_v1.08.111.bin Uoot FIT Image&#xff1a;uboot.img 两个都是有特定格式的混合文件。 RKLoader 的生成&#xf…

tpl怎么搞_emlog后台模板设置功能插件tpl_options

到目前为止emlog都没有集成模板后台设置功能&#xff0c;可能是和emlog一直走轻量级路径有关。但是集成模板后台配置功能&#xff0c;无论是对emlog模板开发者还是用户来说&#xff0c;其作用都非常大&#xff0c;可以使一些模板功能不需要修改模板文件就可以改变设置&#xff…

tpl.js的使用

tpl.js的使用 tpl.js简介1.如何写模板2.如何引用模板tpl.js的下载地址 tpl.js简介 tpl.js是用于和require.js相结合的html模板,和template.js的用法非常相似&#xff0c;我们可以从以下几点来学习它&#xff0c;我们先来看一下小案例中的目录结构&#xff1a; 1.如何写模板 …

vscode配置tpl文件关联html语言

使用beego框架的时候&#xff0c;有个操作&#xff0c;需要将tpl文件修改vscode识别成html&#xff1b; 有两种方法&#xff1a; 方法一&#xff1a;页面配置 ctrl shift p 选择打开工作区设置 找到Files:Associations文件关联 添加项&#xff1a;*.tpl html 方法二&…

基于JAVA的TPL解释器

基于JAVA的TPL解释器 编写一个Java程序&#xff0c;该程序读取一个文件中的TPL指令&#xff08;见下文&#xff09;&#xff0c;并执行这些指令。该语言编写的程序每一行都必须以这些单词中的一个开头&#xff0c;不区分大小写。具体代码可参考链接 https://download.csdn.net…

U-Boot 之零 源码文件、启动阶段(TPL、SPL)、FALCON、设备树

最近&#xff0c;工作重心要从裸机开发转移到嵌入式 Linux 系统开发&#xff0c;在之前的博文 Linux 之八 完整嵌入式 Linux 环境、&#xff08;交叉&#xff09;编译工具链、CPU 体系架构、嵌入式系统构建工具 中详细介绍了嵌入式 Linux 环境&#xff0c;接下来就是重点学习一…

java .tpl是什么模版_tpl标签定义

canonical 阅读(996) 评论(0) 编辑 收藏 所属分类: Witrix开发平台 tpl自定义标签的设计目标之一是尽量减少配置说明项. 在tpl标签库中, 标签定义格式如下 importVars"varA, varB" otherArgs"optionalArgA, optionalArgB" localScope"trueOrFalse&q…

创建TPL自定义模板

文件布局 <!--1d7c7a527b6335cc7a623305ca940e1findex.tpl.html--><!DOCTYPE htmlPUBLIC "-//W3C//DTD XHTML 1.0 Transitional//EN""http://www.w3.org/TR/xhtml1/DTD/xhtml1-transitional.dtd"> <html xmlns"http://www.w3.org/1999…

php tpl模板文件,php自己创建TPL模板引擎之初学习

一&#xff0c;创建初始化模板所需的文件和文件夹。 1&#xff0c;index.php主文件&#xff0c;用于编写业务逻辑。 2&#xff0c;template.inc.php模板初始化文件&#xff0c;用于初始化模板信息。 3&#xff0c;templates目录存放所有的模板文件。 4&#xff0c;templates_c目…

观远数据苏春园:五年AI+BI路,数智化破局中的变与不变|数据猿采访

““2021年终大型金猿主题策划活动”已正式开启&#xff0c;欢迎报名参与&#xff1a;榜单奖项产业图谱行业报告线下论坛&#xff5c;或点击文末“阅读原文”链接后提交活动意向报名表&#xff0c;并进一步与数据猿工作人员沟通后&#xff0c;可获取相关申报资料与模板。 数据智…

大咖 | 王汉生:从数据到价值的转化,回归分析的“道”与“术”

摘自《数据思维》 作者&#xff1a;王汉生 学过统计学的同学们都知道一件事情&#xff0c;回归分析师数据分析的一个非常重要的模型方法。而且这些模型很可能是线性的、非线性的,也可能是参数的、非参数的,甚至是一元的、多元的,低维的、高维的,不尽相同。所以&#xff0c;把数…

李宏毅深度学习--《Backpropagation》

李宏毅深度学习 Gradient Descent of neural network&#xff1a; n e u r a l n e t w o r k neural\ \ network neural network的参数&#xff1a; θ { w 1 , w 2 , ⋯ , b 1 , b 2 , ⋯ } θ\{w_1,w_2,\cdots,b_1,b_2,\cdots \} θ{w1​,w2​,⋯,b1​,b2​,⋯}计算参数 θ…

郑宇:多源数据融合与时空数据挖掘(转载)

来自&#xff1a; https://mp.weixin.qq.com/s?__bizMzAwMTA3MzM4Nw&mid2649440531&idx1&snd9c92b1f157ee37c7c6e185919a3ffbb&chksm82c0a897b5b721810f4d795cc144d309086274a9071515e727f9f420d7ffb7f06c9b376557ee&scene21#wechat_redirect 和https:/…

近10年数据智能团队建设,联想总结了由内而外的发展经验 | 专访联想集团副总裁田日辉...

来源&#xff1a;大数据文摘 本文约3300字&#xff0c;建议阅读5分钟。 本文为清华大学大数据研究中心联合大数据文摘发起的年度白皮书《顶级数据团队建设全景报告》系列专访的第四篇内容。《报告》囊括专家访谈、问卷、网络数据分析&#xff0c;力求为行业内数据团队的组建和高…

谷俊丽:基于大数据的深度学习

嘉宾介绍&#xff1a;谷俊丽&#xff0c;博士学历&#xff0c;毕业于清华大学-美国University of Illinois Urbana-champaign大学&#xff0c;在清华期间作为核心人员研发过超长指令字数字信号处理器&#xff0c;在美期间曾参与UIUC超级计算机上的研究工作&#xff0c;并工作实…

MyBatis从入门到精通(1):MyBatis入门

作为一个自学Java的自动化专业211大学本科生&#xff0c;在学习和实践过程中”趟了不少雷“&#xff0c;所以有志于建立一个适合同样有热情学习Java技术的参考“排雷手册”。 最近在读刘增辉老师所著的《MyBatis从入门到精通》一书&#xff0c;很有收获&#xff0c;于是将自己学…