常微分方程——非齐次线性微分方程与常数变易法

article/2025/10/2 22:01:23

文章目录

  • 性质
    • 性质1
    • 性质2
    • 定理
  • 例题

性质

性质1

在这里插入图片描述

性质2

在这里插入图片描述

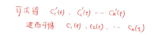
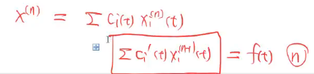
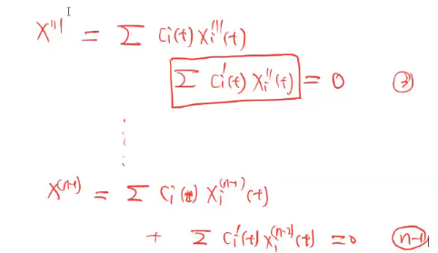
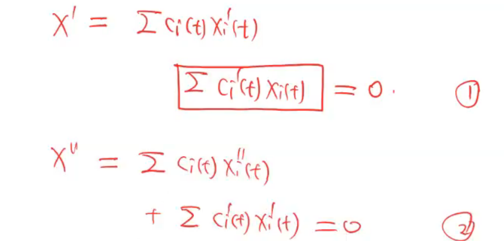
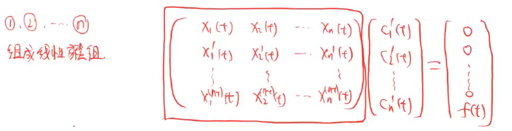
定理

在这里插入图片描述在这里插入图片描述在这里插入图片描述在这里插入图片描述在这里插入图片描述在这里插入图片描述在这里插入图片描述

例题

在这里插入图片描述
在这里插入图片描述
在这里插入图片描述
在这里插入图片描述
在这里插入图片描述


http://chatgpt.dhexx.cn/article/gVYHRNui.shtml

相关文章

一阶线性微分方程

目录 线性方程 例题: 伯努利方程 例题: ​编辑 线性方程 我们先对齐次方程进行求解: 所以一阶线性微分齐次方程的公式: 那么对于非齐次的方程,我们该怎么求解呢? 我们可以把这里的任意数c换成一个函数&a…

计算方法(六):常微分方程初值问题的数值解法

文章目录 常微分方程初值问题的数值解法欧拉(Euler)方法与改进欧拉方法欧拉方法欧拉公式的局部截断误差与精度分析改进欧拉方法 龙格-库塔(Runge-Kutta)法构造原理经典龙格-库塔法步长的自动选择 收敛性与稳定性收敛性稳定性 一阶方程组与高阶方程的数值…

数学建模笔记(九):差分方程与代数方程模型

文章目录 一、概述1.引例2.定义(函数的差分)3.定义(差分方程)4.差分方程的阶5.差分方程的解6.差分方程与微分方程的联系 二、一阶常系数线性差分方程1.一阶常系数齐次线性差分方程(一)一般形式(…

算法基础——1.4常数变易法

例一&#xff1a; [java] view plain copy /* * * * * * * * * * * * * * * * */ public class T1 { public static void main(String[] args) { for(int k1; k<5; k){ for(int i0; …

MT【129】常数变易法

已知数列\(\{x_n\}\)满足\[x_{n1}\left(\dfrac 2{n^2}\dfrac 3n1\right)x_nn1,n\in\mathbf N^*,\]且\(x_13\)&#xff0c;求数列\(\{x_n\}\)的通项公式&#xff0e; 解答: 根据题意&#xff0c;有\[x_{n1}\dfrac{(n1)(n2)}{n^2}x_nn1,\]于是\[\dfrac{x_{n1}}{(n1)^2(n2)}\dfrac…

常微分方程

高数中的微分方程 全微分方程&#xff08;需要积分域与路径无关&#xff09; 一阶线性常微分方程 y’p(x)yq(x) 对于一阶线性常微分方程&#xff0c;常用的方法是常数变易法&#xff1a; 对于方程&#xff1a;将y’p(x)y0中的常数变为函数求解非齐次方程 ( ∫ q ( x ) ∗ e …

常数变易法二

/*打印这个* A* ABA* ABCBA* ABCDCBA* ABCDEDCBA */// " ABCDCBA" 第3行&#xff08;下标从0开始吧&#xff01;&#xff09;for(int i0;i<4;i) System.out.print(" ");for(int i0;i<4;i) System.out.print((char)(Ai));for(in…

常数易变法

/*常数变易法* 打印金字塔* ** * ** * * ** * * * ** * * * * **/ public class A {public static void main(String[] args) {//常数变易法&#xff0c;演变过程System.out.println(" *");//第一行System.out.println(&…

个人对于常微分方程之一阶线性非齐次方程的常数变易法的见解

我们都知道&#xff0c;对常微分方程 最简单也是最本质的处理方法就是分离变量&#xff0c;使得方程可以变成的形式&#xff0c;两边再进行积分便可以得到方程的解.在常微分方程&#xff08;以下简称为方程&#xff09;中&#xff0c;有两类比较特殊的方程&#xff0c;分别是一…

常数变易法

思路: 现将变动部分用常数代替&#xff0c;再逐步将常数替换为变数(变量) 关键是寻找变化的规律&#xff0c;如果不直观&#xff0c;可以列出所有变化&#xff0c;进行比对&#xff0c;然后设计公式 实例: 1.输出三角星号 首先找规律&#xff0c;发现每一行都是先输出空格&…

常数变易法的“前世今生”

常数变易法思想的来源或本质是什么&#xff1f;https://www.zhihu.com/question/31329122 “常数变易法”有效的原理&#xff1a;https://blog.csdn.net/w573719227/article/details/83050039 常数变易法的解释https://www.cnblogs.com/lookof/archive/2009/01/06/1370065.html…

DBUtils事务

#DBUtils&事务 掌握DBUtils实现增删改 掌握DBUtils实现查询 理解事务的概念 理解脏读,不可重复读,幻读的概念及解决办法 能够在MySQL中使用事务 能够在JDBC中使用事务 能够在DBUtils中使用事务 第一章 DBUtils 如果只使用JDBC进行开发&#xff0c;我们会发现冗余代码过多…

Dbutils下载

链接&#xff1a;https://pan.baidu.com/s/1LlGyKUgYX8zgjgQk6GOwhA?pwdqdm3 提取码&#xff1a;qdm3 版本为最新1.7版本&#xff0c;解压即可用

java dbutils工具类_DbUtils工具类使用

DbUtils工具类使用 创建数据库 CREATE TABLE student ( userId int(11) NOT NULL, userName varchar(30) NOT NULL, gender char(1) NOT NULL, age int(11) DEFAULT NULL, PRIMARY KEY (userId) ) ENGINEInnoDB DEFAULT CHARSETutf8 把相关的包引入到项目里: 编写Student类: pa…

python DbUtils 封装

python dbutils 简介及准备工作 dbutils封装文件传送门 DBUtils是一套Python数据库连接池包&#xff0c;并允许对非线程安全的数据库接口进行线程安全包装。DBUtils来自Webware for Python。 DBUtils提供两种外部接口&#xff1a; PersistentDB &#xff1a;提供线程专用的数…

DBUtils工具

DBUtils工具 为了更加简单地使用JDBC&#xff0c;Apache组织提供了一个工具类库commons-dbutils&#xff0c;它是操作数据库地一个组件&#xff0c;实现一个对JDBC的简单封装&#xff0c;可以在不影响性能的情况下极大地简化JDBC地编码工作量。 API介绍 commons-dbutils的核…

java dbutils_Java学习之DBUtils

DBUtils&#xff1a;只是帮我们简化了CRUD 的代码。数据库连接的创建以及获取工作&#xff0c;不在其工作范围 一、DBUtils应用 ①、DBUtils的jar文件的下载 ②、Sql Server 、C3P0、DBUtils环境搭建(导入相应jar文件) Sql Server &#xff1a;sqljdbc42.jar(JDBC驱动) C3P0&am…

DBUtils介绍与使用

目录 一、DBUtils介绍二、DBUtils使用&#xff08;一&#xff09;导入相关Jar包&#xff08;二&#xff09;使用DBUtils完成数据库操作 一、DBUtils介绍 DBUtils&#xff1a;是为了简化JDBC的快发而产生的开发工具包&#xff0c;是对JDBC的一种封装。 DBUtils是个小巧的JDBC轻…

DBUtils详解

目录 DBUtils查询数据 匿名内部类方式 反射方式 反射方式查询数据的触发器分类 多表查询 DBUtils增加,删除,修改数据 前言 使用DBUtils操作数据库,会更加的方便,因为它封装了JDBC的代码,这里我们配合c3p0使用 并不是说一定要用c3p0,因为使用DBUtils 的时候需要手动传递…

JavaWeb——(13)DBUtils

目录 一、DBUtils介绍 二、DBUtils核心对象 三、DBUtils使用简单案例 四、QueryRunner对象 4.1构造函数 4.2方法 五、ResultSetHandler接口 六、DBUtils控制事务 6.1ThreadLocal 6.2模拟转账业务 一、DBUtils介绍 DBUtils是java编程中的数据库操作实用工具&#xff…