拓扑排序

article/2025/10/1 7:53:39

拓扑排序

一、拓扑排序的定义:

先引用一段百度百科上对于拓扑排序的定义:

对一个有向无环图 ( Directed Acyclic Graph 简称 DAG ) G 进行拓扑排序,是将 G
中所有顶点排成一个线性序列,使得图中任意一对顶点 u 和 v ,若边 < u , v > ∈ E ( G ),则 u 在线性序列中出现在 v
之前。通常,这样的线性序列称为满足拓扑次序 ( Topological Order )
的序列,简称拓扑序列。简单的说,由某个集合上的一个偏序得到该集合上的一个全序,这个操作称之为拓扑排序。

什么意思呢,总结起来有三个要点:
1.有向无环图;
2.序列里的每一个点只能出现一次;
3.任何一对 u 和 v ,u 总在 v 之前(这里的两个字母分别表示的是一条线段的两个端点,u 表示起点,v 表示终点);

二、拓扑排序的过程

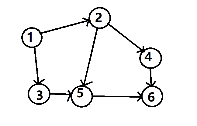
这里以下面这个有向无环图为例,分析一下拓扑排序的具体过程。
在这里插入图片描述

首先,我举一个例子,比如打游戏时,刚开始一个游戏,你一定要先打第一关,因为只有打通了第一关,才能解锁下一关或下几关,而不能上来就打第二关。特别地,第一关时不需要之前打任何一关,最后一关打完不会解锁任何一关。
回到图中我举的例子,1 号端点就相当于第一关,而 6 号端点就相当于是最后一关。所以我们就知道了:
1.找一个入度为零(不需其他关卡通关就能解锁的)的端点,如果有多个,则从编号小的开始找;
2.将该端点的编号输出;
3.将该端点删除,同时将所有由该点出发的有向边删除;
4.循环进行 2 和 3 ,直到图中的图中所有点的入度都为零;
5.拓扑排序结束;

那么我现在就以上图为例,详细分析一下过程;

第一步:输出 “ 1 ”;
在这里插入图片描述

第二步:输出 “ 2 ”;
在这里插入图片描述
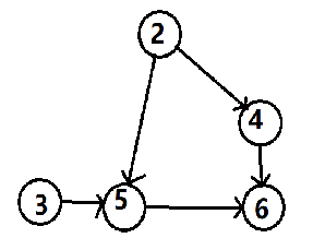
第三步:输出 “ 3 ”;
在这里插入图片描述
第四步:输出 “ 4 ”;
在这里插入图片描述
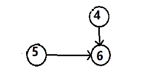
第五步:输出 “ 5 ”;
在这里插入图片描述
第六步:输出 “ 6 ”,排序结束。
所以,最终拓扑排序的结果是
1 2 3 4 5 6
三、拓扑排序在具体题目中应用

下面以最大食物链计数为例实际应用一下拓扑排序。

题目背景
你知道食物链吗?Delia生物考试的时候,数食物链条数的题目全都错了,因为她总是重复数了几条或漏掉了几条。于是她来就来求助你,然而你也不会啊!写一个程序来帮帮她吧。

题目描述
给你一个食物网,你要求出这个食物网中最大食物链的数量。

(这里的“最大食物链”,指的是生物学意义上的食物链,即最左端是不会捕食其他生物的生产者,最右端是不会被其他生物捕食的消费者。)

Delia 非常急,所以你只有 11 秒的时间。

由于这个结果可能过大,你只需要输出总数模上 8011200280112002 的结果。

输入格式
第一行,两个正整数 n、mn、m,表示生物种类 nn 和吃与被吃的关系数 mm。

接下来 mm 行,每行两个正整数,表示被吃的生物A和吃A的生物B。

输出格式
一行一个整数,为最大食物链数量模上 8011200280112002 的结果。

输入输出样例
输入
5 7
1 2
1 3
2 3
3 5
2 5
4 5
3 4
输出
5

【补充说明】 数据中不会出现环,满足生物学的要求。(感谢 @AKEE )

代码及分析如下:

`#include<bits/stdc++.h>
#include<algorithm>
#include<iostream>
#include<cstring>
#include<cstdlib>
#include<cstdio>
#include<vector>
#include<cmath>
#include<queue>
#include<deque>
#include<stack>
#include<set>
#include<map>
using namespace std;
int read(){int X=0,w=0;char ch=0;while(!isdigit(ch)){w|=ch=='-';ch=getchar();}while(isdigit(ch)){X=(X<<3)+(X<<1)+(ch^48);ch=getchar();}return w?-X:X;
}
char F[200];
void write(int x){if(x==0){putchar('0');return;}int cnt=0,tmp=x>0?x:-x;if(x<0){putchar( '-' );}while(tmp>0){F[cnt++]=tmp%10+'0';tmp/=10;}while(cnt>0){putchar(F[--cnt]);}
}
int n,m,ans;
const int mod=80112002;
const int N=0x3f3f3f;
queue<int> q;//拓扑排序模板所需队列; 
vector<int> p[N];//存每条有向边的起点和重点; 
int in[N],out[N],num[N];//每个点的入度和出度和伪食物链的个数; 
int main()
{n=read(),m=read();for(int i=1;i<=m;i++){int x=read(),y=read();in[y]++;//右端点入度+1;out[x]++;//左端点出度+1;p[x].push_back(y);//将这条有向边存起来;}for(int i=1;i<=n;i++){//寻找入度为零的点(源头生产者);if(in[i]==0){num[i]=1;//初始化;q.push(i);//加到队列当中;}}while(q.empty()==0){int sum=q.front();q.pop();int len=p[sum].size();for(int i=0;i<len;i++){//枚举以该点为起点的所有线段的终点;int now=p[sum][i];//取出目前枚举到的点;in[now]--;//将这个点的入度-1(因为目前要删除第tot个点); num[now]=(num[now]+num[sum])%mod;//更新到下一个点的路径数量; if(in[now]==0){q.push(now);//如果这个点的入度为零了,那么加入队列; }}}for(int i=1;i<=n;i++){//寻找出度为0的点(尽头消费者);if(out[i]==0){ans=(ans+num[i])%mod;}}write(ans);return 0;
}`

谢谢阅读!


http://chatgpt.dhexx.cn/article/Ob2FDfEp.shtml

相关文章

拓扑排序算法

拓扑排序介绍 拓扑排序(Topological Order)是指&#xff0c;将一个有向无环图(Directed Acyclic Graph简称DAG)进行排序进而得到一个有序的线性序列。 这样说&#xff0c;可能理解起来比较抽象。下面通过简单的例子进行说明&#xff01; 例如&#xff0c;一个项目包括A、B、C…

经典算法之拓扑排序

定义&#xff1a; 把AOV网&#xff08;用定点表示活动&#xff0c;用弧表示活动间优先关系的有向图&#xff09;络中各个顶点按照它们互相之间的优先关系排列成一个线性序列的过程叫做拓扑排序。 方法&#xff1a; 在有向图中选一个没有前驱的顶点并且输出从图中删除该顶点和…

拓扑排序(topological sorting)介绍及Python实现

目录 1. 拓扑排序 2. 拓扑排序存在的前提 3. 拓扑排序的唯一性问题 4. 拓扑排序算法原理 4.1 广度优先遍历 4.2 深度优先遍历 5. 代码实现 5.1 Graph类的实现 5.2 广度优先搜索 5.3 深度优先搜索简易版&#xff08;无loop检测&#xff09; 5.4 深度优先搜索完整版 …

【算法】拓扑排序

今天学习拓扑排序。如果一个有向图的任意顶点都无法通过一些有向边回到自身&#xff0c;那么称这个有向图为有向无环图&#xff08;Directed Acyclic Graph&#xff0c;DAG&#xff09;。拓扑排序就是将有向无环图的所有顶点排序&#xff0c;使得图中任意两个点 u、v&#xff0…

拓扑排序及算法实现

一、拓扑排序概念 对一个有向无环图(Directed Acyclic Graph简称DAG)G进行拓扑排序&#xff0c;是将G中所有顶点排成一个线性序列&#xff0c;使得图中任意一对顶点u和v&#xff0c;若边<u,v>∈E(G)&#xff0c;则u在线性序列中出现在v之前。通常&#xff0c;这样的线性…

利用迭代法求平方根——迭代法开平方运算

一、题目 用迭代法求&#xff1a; 的值。要求精度为0.00001&#xff0c;即 二、迭代公式 求平方根的迭代公式为&#xff1a; 当满足 时&#xff0c;这时的即是求得的根。如果 得到是精确值。如果不为0&#xff0c;则是近似值。 三、C代码 先给出开平方运算的函数。再给出主…

【算法】牛顿迭代法求平方根的原理和误差分析

前言 在《算法(第四版)》中的P23页&#xff0c;给出了经典的利用牛顿迭代法求平方根的算法&#xff0c;牛顿迭代法在数值计算中应用十分广泛&#xff0c;但是在看书中的代码时&#xff0c;我最困惑的是其中对收敛条件的判断&#xff0c;经过查阅资料和论坛&#xff0c;找到…

使用迭代法来求a的平方根

今天朋友问我一道使用迭代法求a的平方根的题&#xff0c;感觉受益匪浅&#xff0c;与诸君相分享 首先我们来看一下题目 我们也无需了解迭代法是什么原理&#xff0c;根据这个题目可以分析得到&#xff0c;需要使用while循环&#xff0c;下面是我的代码实践 #define _CRT_SEC…

利用牛顿迭代法求平方根

求n的平方根&#xff0c;先假设一猜测值X0 1&#xff0c;然后根据以下公式求出X1&#xff0c;再将X1代入公式右边&#xff0c;继续求出X2…通过有效次迭代后即可求出n的平方根&#xff0c;Xk1 先让我们来验证下这个巧妙的方法准确性&#xff0c;来算下2的平方根 (Computed b…

牛顿迭代法求解平方根

一个实例迭代简介牛顿迭代法 牛顿迭代法简介简单推导泰勒公式推导延伸与应用 一个实例 //java实现的sqrt类和方法 public class sqrt {public static double sqrt(double n){if (n<0) return Double.NaN;double err 1e-15;double t n;while (Math.abs(t - n/t) > err…

牛顿迭代法求一个数的平方根(python)

# !/usr/bin/env python # -*- coding: utf-8 -*- """ Author: P♂boy License: (C) Copyright 2013-2017, Node Supply Chain Manager Corporation Limited. Contact: 17647361832163.com Software: Pycharm File: sqrt.py.py Time: 2018/11/19 16:22 Desc:牛顿…

c++迭代法求平方根

用迭代法求x &#xff0c;要求前后两次求出的x的差的绝对值小于10-5&#xff0c;求平方根的迭代公式为&#xff1a; 输入 一个数a。 输出 的值。 样例输入 2.0样例输出 The square root of 2.00 is 1.41421 这道题我无语了...&#xff1a; #include<bits/stdc.h> …

牛顿迭代法求平方根原理

牛顿迭代法可以求解n次方的根&#xff0c;但这里只讨论用它来求平方根。 牛顿迭代法求平方根过程 Java代码实现 /*** 求一个数的平方根* param number* return*/public static double squareRoot(double number){if(number < 0){ //小于0的数无法开平方return Double.NaN;}e…

【算法】牛顿迭代法求平方根及多次方根

1. 概述 牛顿迭代法 牛顿迭代法 牛顿迭代法 是非常高效的求解方程的根的方法。其求解原理可以参考各文献。大体的思路如下&#xff1a; 通过不断地做切线来逼近真实的根&#xff0c;直到误差小于精度。 可得迭代公式&#xff1a; x n 1 x n − f ( x n ) f ′ ( x n ) x_{…

二分法和牛顿迭代法求平方根(Python实现)

求一个数的平方根函数sqrt(int num) ,在大多数语言中都提供实现。那么要求一个数的平方根&#xff0c;是怎么实现的呢&#xff1f; 实际上求平方根的算法方法主要有两种&#xff1a;二分法(binary search)和牛顿迭代法(Newton iteration) 1&#xff1a;二分法 求根号5 a:折半…

牛顿迭代法-求平方根

牛顿迭代法 求出根号a的近似值&#xff1a;首先随便猜一个近似值x&#xff0c;然后不断令x等于x和a/x的平均数&#xff0c;迭代个六七次后x的值就已经相当精确了。 例如&#xff0c;我想求根号2等于多少。假如我猜测的结果为4&#xff0c;虽然错的离谱&#xff0c;但你可以看到…

迭代法求平方根-C

迭代法求a的平方根的近似值&#xff0c;计算公式如下&#xff1a; 迭代是重复反馈过程的活动&#xff0c;目的是为了逼近所需目标或结果。每次对过程的重复称为一次“迭代”&#xff0c;而每一次迭代得到的结果会作为下一次迭代的初始值。 算法&#xff1a;先给定一个假设的平…

用迭代法求某数a的平方根

今天晚上笔试题目最后一题很简单&#xff0c;可是自己做不出 &#xff0c;就是不用库函数&#xff0c;求一个浮点数的平方根。 立马想到用物理法&#xff0c;比如正方形的面积法等&#xff0c;可是求解出不出&#xff0c;然后就绕在里面了。归根到底还是平时的知识储备太少了&…

Java基础——运行时异常和非运行时异常

文章目录 Java中异常机制的体系结构Error&#xff08;错误&#xff09;Exception&#xff08;异常&#xff09;运行时异常和非运行时异常的区别结束 Java中异常机制的体系结构 在Java中&#xff0c;万物皆对象&#xff0c;异常也不例外。 Exception&#xff08;异常&#xff0…

Java编译时异常与运行时异常的区别

Java的异常可以分为编译异常和运行异常&#xff0c;其主要区别&#xff1a; 编译异常要求程序员必须处理&#xff08;捕获或者抛出&#xff09;&#xff0c;不然没法通过编译。 而运行异常可以不处理。 这应该是纸面最明显的区别了&#xff0c;我认为更重要的区别是在处理机…