贝塞尔曲线原理简述

article/2025/10/18 11:05:34

1. 曲线算法简介:

贝塞尔曲线应用于二维图形应用程序的数学曲线,由一组控制点的向量来确定,给定的控制点按顺序连接构成控制多边形,贝塞尔曲线逼近这个多边形,进而通过调整控制点坐标改变曲线的形状。

2. 绘制曲线

2.1 一阶贝塞尔曲线

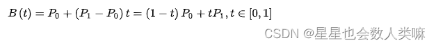
一阶贝塞尔曲线就是一条由P0点到P1点的直线

公式如下:
在这里插入图片描述
曲线如图:
在这里插入图片描述

2.2 二阶贝塞尔曲线

二阶曲线由起点、终点、控制点来描述曲线状态,我们可以通过调节控制点的位置,来调整曲线。
在这里插入图片描述
如上图所示,两个蓝色点为起点、终点,红色点为控制点。其运动轨迹如下图所示:
请添加图片描述
在这里插入图片描述

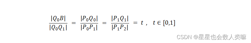
绿色线段最开始和P0-P1线段重合,我们将绿色线段和P0重合的点标记为Q0,和P1重合的点标注为Q1,红色曲线和绿色线段的重合黑点标注为点B,那么我们要求:Q0向P1运动,Q2向P2运动,B点由Q1点向Q2点运动,三个点分别在P0-P1、P1-P2和绿色线段上同速匀速运动,且同时到达线段终点,转化为数学公式即为:
在这里插入图片描述
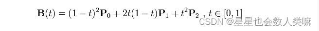
最终这个运动轨迹就变成了二阶贝塞尔曲线,曲线公式为:
在这里插入图片描述

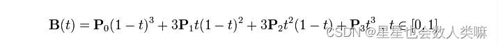
2.3 三阶曲线

在这里插入图片描述
公式:
在这里插入图片描述

2.4 高阶

在这里插入图片描述
高阶公式:
在这里插入图片描述


http://chatgpt.dhexx.cn/article/B2RI8vY4.shtml

相关文章

贝塞尔曲线动画C++简单实践

目录 贝塞尔曲线简介一阶贝塞尔二阶贝塞尔三阶贝塞尔N阶贝塞尔曲线 贝塞尔曲线在动画中的应用实践求曲线散点坐标将曲线应用到动画动画框架cmd动画窗口动画 完整代码示例代码核心类代码BezierCurveAnimatorConsole 参考资料 贝塞尔曲线简介 由于用计算机画图大部分时间是操作鼠…

贝塞尔曲线及实践案例

文章目录 1. 前言2. 介绍2.1 一阶贝济埃曲线2.2 二阶贝塞尔曲线2.3 三阶贝塞尔曲线 3. 一、二、三阶贝塞尔曲线实现4. 案例5. 后记 1. 前言 贝塞尔曲线(Bzier curve),又称贝兹曲线或贝济埃曲线,是应用于二维图形应用程序的数学曲线。一般的矢量图形软件…

贝塞尔曲线工具类

贝塞尔曲线工具类 先上一张效果图看效果 贝塞尔曲线 用于计算N阶贝塞尔曲线上的点,根据传入控制点的个数判定阶数N 贝塞尔曲线计算公式: 工具类源码 public class BezierUtils {/*** 获取二项式系数** param l 行(杨辉三角)* param c 列(杨辉三角)* return 系…

贝塞尔曲线打断生成两个贝塞尔曲线

问题:如何将一个三阶贝塞尔曲线打断生成两个三阶贝塞尔曲线,生成的两条贝塞尔曲线与原来的贝塞尔曲线重合? 输入:一条贝塞尔曲线的四个控制点P1,C1,C2,P2,和一个打断点E(E在曲线上) 输出:两条贝塞尔曲线: P1,F,I,E E,J…

html5贝塞尔曲线,Canvas学习:贝塞尔曲线

在绘制圆和圆弧一节中,了解到在Canvas中可以使用arc()和arcTo()绘制制圆或弧线,但很多时候,仅这两个方法还不能满足我们实际的需求,特别是绘制复杂的曲线。不过值得庆幸的是,在Canvas中还提供了其他的方法可以帮助我们绘制复杂的曲线。那就是我们今天要说的贝塞尔曲线,在…

贝塞尔曲线(Bezier Curve)

有兴趣的建议看这篇,比较新:https://zhuanlan.zhihu.com/p/366678047 曲线和曲面 在生活中存在着各种各样光滑的曲线或曲面,例如汽车的表面,钢珠球等。 在建模的时候,我们通常使用很多的小三角形来逼近这样的曲面&am…

java贝塞尔曲线_贝塞尔曲线学习

贝塞尔曲线学习 1.贝塞尔曲线 以下公式中: B(t)为t时间下 点的坐标; P0为起点,Pn为终点,Pi为控制点 一阶贝塞尔曲线(线段): 一阶贝塞尔曲线公式 一阶贝塞尔曲线演示 意义:由 P0 至 P1 的连续点, 描述的一条线段 二阶贝塞尔曲线(抛物线): 二阶贝塞尔曲线公式 二阶贝塞尔曲…

贝塞尔曲线

一:简介 1962年,法国工程师贝塞尔发表,他运用贝塞尔曲线来为汽车的主体进行设计。 贝塞尔曲线是最基本的曲线,一般用在计算机 图形学和 图像处理。贝塞尔曲线可以用来创建平滑的曲线的道路、 弯曲的路径就像 祖玛游戏、 弯曲型的…

【Unity3d游戏开发】游戏中的贝塞尔曲线以及其在Unity中的实现

RT,马三最近在参与一款足球游戏的开发,其中涉及到足球的各种运动轨迹和路径,比如射门的轨迹,高吊球,香蕉球的轨迹。最早的版本中马三是使用物理引擎加力的方式实现的足球各种运动,后来的版本中使用了根据物…

Bezier Curve贝塞尔曲线概念

一、贝塞尔曲线的概念 对于两点之间的连线,我们可以用直线进行连接效果如下: 其中的每一个F点都在AB连接的线段上。 这就是一阶贝塞尔曲线。 如果我们加入一个控制点C,那么做图如下: 1、连接AC,BC; 2、在AC,B…

贝塞尔(贝兹尔)曲线介绍

2019独角兽企业重金招聘Python工程师标准>>> 贝塞尔(贝兹尔)曲线介绍 什么是贝塞尔曲线? “贝赛尔曲线”是由法国数学家Pierre Bzier所发明,由此为计算机矢量图形学奠定了基础。它的主要意义在于无论是直线或曲线都能在数学上予以描述。贝塞尔…

【ARM】-栈帧

ARM 栈帧 本系列均以 corter-A7(armv7-a) 为例 在 ARM 中,通常为满减栈(Full Descending FD), 也就是说,堆栈指针指向堆栈内存中最后一个填充的位置,并且随着每个新数据项被压入堆栈而递减。 栈的本质 要理解栈的本…

JVM 栈和栈帧

tag: jvm,stack,stack frame,栈,栈帧 原文:JVM Stacks and Stack Frames 翻译:陈同学 欢迎访问陈同学博客原文,文章可读性更佳 前情提要 对于没有深度递归的函数来说,无需担心上篇文章中的算法。当知道正在处理数据集有限时&am…

C语言的函数栈帧

⭐️前面的话⭐️ 📒博客主页:未见花闻的博客主页 🎉欢迎关注🔎点赞👍收藏⭐️留言📝 📌本文由未见花闻原创,CSDN首发! ✉️坚持和努力一定能换来诗与远方! &…

【C语言】函数栈帧的创建和销毁(1)

前言: ❓ 在我们前期学习C语言时,你是否曾产生过很多困惑? 💭 比如:局部变量是怎么创建出来的?因为局部变量的值是随机值,我们建议将它初始化,那么为什么局部变量的值是随机值&am…

函数栈帧(详解版)

文章目录 前言1.浅谈C语言内存1.1 内存分配1.2 栈1.3 寄存器 2. 为main()函数开辟栈帧3.变量的初始化及函数调用4.ADD函数4.1 ADD函数的创建4.2 ADD函数使用与销毁 5.总结 前言 前期学习的时候,我们可能有很多困感? 比如: ●局部变量是怎么创建的?I为什么局部变量…

也谈栈和栈帧

 一个码农要是没遇见过coredump,那他就是神仙了。core file(coredump的转储文件)中保存的最重要内容之一,就是函数的call trace。还原这部分内容 (栈回溯) ,并与原代码对应上,尽快找出程序崩溃的位置和…

(栈帧和函数调用一)栈帧,函数调用与栈的关系

(栈帧和函数调用一)栈帧,函数调用与栈的关系 一,栈帧的介绍二,函数调用与栈的关系三,汇编演示四,总结 在计算机科学中,栈是一个特殊的容器,用户可以将数据压入栈中&#…

理解栈帧和栈的运行原理

栈中的数据都是以栈帧(Stack Frame)的格式存在,栈帧是一个内存区块,是一个数据集,是一个有关方法 (Method) 和运行期数据的数据集,当一个方法A被调用时就产生了一个栈帧 F1,并被压入到栈中&…

函数栈帧的形成与释放

✅作者简介:嵌入式入坑者,与大家一起加油,希望文章能够帮助各位!!!! 📃个人主页:rivencode的个人主页 🔥系列专栏:玩转C语言 💬推荐一…