贝塞尔曲线打断生成两个贝塞尔曲线

article/2025/10/18 19:35:17

问题:如何将一个三阶贝塞尔曲线打断生成两个三阶贝塞尔曲线,生成的两条贝塞尔曲线与原来的贝塞尔曲线重合?
输入:一条贝塞尔曲线的四个控制点P1,C1,C2,P2,和一个打断点E(E在曲线上)
输出:两条贝塞尔曲线:
P1,F,I,E
E,J,H,P2
解决大致分为两步
第一步:求出E点对应的贝塞尔曲线的参数e
第二步:根据e计算出四个控制点F,I,J,H

依次多个点打断,红色线表示原始贝塞尔,蓝色线是打断的两个贝塞尔曲线,效果如下:蓝色线和红色线基本重合。
在这里插入图片描述
源码

原理解析:
如图的红色曲线就是原始贝塞尔曲线,加入打断点就是E点,因为E在曲线上,所以必存在一个时刻e。
B(e)
在这里插入图片描述

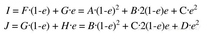
根据贝塞尔曲线的特征我们可以得到以下结论
在这里插入图片描述
根据上式可以得到以下式子
在这里插入图片描述
E也可以通过I和J来定义
在这里插入图片描述

所以,如果知道断点E对应的时刻e,计算F,I,J,H相对比较简单。
下面介绍如何计算e
方法1 解方程
在这里插入图片描述
可以看到求解e就是解关于e的一元三次方程,数学相对简单,但是工程上实现较为复杂。
方法2 迭代
从0开始迭代t,设置一个步长d,计算Pi = P(ti) ti = ti+d,每次迭代时计算Pi和E的欧式距离,并记录距离最小时的时刻e = ti,就可以粗略计算出e。经测试,步长设置为0.01,效果良好。

下面给出QML代码示例:

import QtQuick 2.15
import QtQuick.Window 2.15Window {visible: truewidth: 1920height: 1080title: qsTr("Hello World")//测试点property var testP1: Qt.vector2d(1909, 12)property var testC1: Qt.vector2d(1910, 998)property var testC2: Qt.vector2d(31, 15.233737999999903)property var testP2: Qt.vector2d(11, 4)//三次贝塞尔曲线//a1 * (1 - t) * (1 - t) * (1 - t) + 3 * a2 * t * (1 - t) * (1 - t) + 3 * a3 * t * t * (1 - t) + a4 * t * t * t;/*t:时间变量 [0-1]p1:首端点p2:末端点c1:首端点控制点c2:末端点控制点返回值:t时刻贝塞尔曲线上的点控制点、端点和返回值的数据类型为:vector2d*/function  thirdOrderBeziercurve(t, p1, c1, c2, p2) {if(t<0 || t>1)return;var p = p1.times(Math.pow(1 - t,3))p = p.plus(c1.times(3 * t * Math.pow(1-t,2)))p = p.plus(c2.times(3 * (1-t) * Math.pow(t,2)))p = p.plus(p2.times(Math.pow(t,3)))return p//return}// 计算两个点指点的距离,点的数据类型可以是vector2d或者Qt.pointfunction distance(p1,p2){return Math.sqrt(Math.pow(p1.x-p2.x,2)+Math.pow(p1.y-p2.y,2))}//根据时间t获取打断后的两条贝塞尔曲线的控制点/*return  [c11,c21,c22,c31]*/function getControlPointByT(p1, c1, c2, p2,t){//辅助点gvar g = c1.times(1-t).plus(c2.times(t))var c11 = p1.times(1-t).plus(c1.times(t))var c21 = c11.times(1-t).plus(g.times(t))var c31 = c2.times(1-t).plus(p2.times(t))var c22 = g.times(1-t).plus(c31.times(t))return [c11,c21,c22,c31]}//判断点是否在贝塞尔曲线上,如果在(误差范围内),返回时间t和逼近点/*输入:p1,c1,c2,p2:是贝塞尔曲线的参数p:特定点坐标errorValue:误差值输出:1.如果p点在贝塞尔曲线上,返回打断后的两条贝塞尔曲线的控制点和纠正点[c11,c21,c22,c31,rightPoint]2.否则,返回[]*/function getControlPointByPoint(p1, c1, c2, p2, p, errorValue){var m = 1000000;var t = 0var pt = Qt.vector2d(-1,-1)for(var i = 0;i<=1;i=i+0.01){var pi = thirdOrderBeziercurve(i,p1, c1, c2, p2)var d = distance(pi,p)if(d< m){m =dt = ipt = pi}}if(m < errorValue){console.log(t)var ctrlsPoints = getControlPointByT(p1, c1, c2, p2,t)//ctrlsPoints.push(pt)return ctrlsPoints}return []}Canvas{id:cvsanchors.fill: parentproperty var c: testP1property var ctrs:[]onPaint:{var ctx = cvs.getContext('2d')ctx.reset()ctx.save()ctx.clearRect(0,0,width,height)ctx.beginPath()ctx.moveTo(testP1.x,testP1.y)ctx.lineWidth="4"ctx.strokeStyle="red"ctx.bezierCurveTo(testC1.x,testC1.y,testC2.x,testC2.y,testP2.x,testP2.y)ctx.stroke()//ctx.closepath()//ctx.save()ctx.beginPath()ctx.arc(c.x,c.y,10,0,360,true)ctx.stroke()if(ctrs.length != 0){ctx.lineWidth="1"ctx.strokeStyle="blue"ctx.beginPath()ctx.moveTo(testP1.x,testP1.y)ctx.bezierCurveTo(ctrs[0].x,ctrs[0].y,ctrs[1].x,ctrs[1].y,cvs.c.x,cvs.c.y)ctx.bezierCurveTo(ctrs[2].x,ctrs[2].y,ctrs[3].x,ctrs[3].y,testP2.x,testP2.y)ctx.stroke()}}}Timer{interval: 100;running: true;repeat: trueproperty var t: 0.0onTriggered: {cvs.c = thirdOrderBeziercurve(t,testP1,testC1,testC2,testP2)cvs.ctrs = getControlPointByPoint(testP1,testC1,testC2,testP2,cvs.c,100)cvs.requestPaint()t = t+0.01if(t >1)t = 0}}
}

http://chatgpt.dhexx.cn/article/k3L0RRGK.shtml

相关文章

html5贝塞尔曲线,Canvas学习:贝塞尔曲线

在绘制圆和圆弧一节中,了解到在Canvas中可以使用arc()和arcTo()绘制制圆或弧线,但很多时候,仅这两个方法还不能满足我们实际的需求,特别是绘制复杂的曲线。不过值得庆幸的是,在Canvas中还提供了其他的方法可以帮助我们绘制复杂的曲线。那就是我们今天要说的贝塞尔曲线,在…

贝塞尔曲线(Bezier Curve)

有兴趣的建议看这篇&#xff0c;比较新&#xff1a;https://zhuanlan.zhihu.com/p/366678047 曲线和曲面 在生活中存在着各种各样光滑的曲线或曲面&#xff0c;例如汽车的表面&#xff0c;钢珠球等。 在建模的时候&#xff0c;我们通常使用很多的小三角形来逼近这样的曲面&am…

java贝塞尔曲线_贝塞尔曲线学习

贝塞尔曲线学习 1.贝塞尔曲线 以下公式中: B(t)为t时间下 点的坐标; P0为起点,Pn为终点,Pi为控制点 一阶贝塞尔曲线(线段): 一阶贝塞尔曲线公式 一阶贝塞尔曲线演示 意义:由 P0 至 P1 的连续点, 描述的一条线段 二阶贝塞尔曲线(抛物线): 二阶贝塞尔曲线公式 二阶贝塞尔曲…

贝塞尔曲线

一&#xff1a;简介 1962年&#xff0c;法国工程师贝塞尔发表&#xff0c;他运用贝塞尔曲线来为汽车的主体进行设计。 贝塞尔曲线是最基本的曲线&#xff0c;一般用在计算机 图形学和 图像处理。贝塞尔曲线可以用来创建平滑的曲线的道路、 弯曲的路径就像 祖玛游戏、 弯曲型的…

【Unity3d游戏开发】游戏中的贝塞尔曲线以及其在Unity中的实现

RT&#xff0c;马三最近在参与一款足球游戏的开发&#xff0c;其中涉及到足球的各种运动轨迹和路径&#xff0c;比如射门的轨迹&#xff0c;高吊球&#xff0c;香蕉球的轨迹。最早的版本中马三是使用物理引擎加力的方式实现的足球各种运动&#xff0c;后来的版本中使用了根据物…

Bezier Curve贝塞尔曲线概念

一、贝塞尔曲线的概念 对于两点之间的连线&#xff0c;我们可以用直线进行连接效果如下&#xff1a; 其中的每一个F点都在AB连接的线段上。 这就是一阶贝塞尔曲线。 如果我们加入一个控制点C&#xff0c;那么做图如下&#xff1a; 1、连接AC,BC&#xff1b; 2、在AC,B…

贝塞尔(贝兹尔)曲线介绍

2019独角兽企业重金招聘Python工程师标准>>> 贝塞尔(贝兹尔)曲线介绍 什么是贝塞尔曲线&#xff1f; “贝赛尔曲线”是由法国数学家Pierre Bzier所发明&#xff0c;由此为计算机矢量图形学奠定了基础。它的主要意义在于无论是直线或曲线都能在数学上予以描述。贝塞尔…

【ARM】-栈帧

ARM 栈帧 本系列均以 corter-A7(armv7-a) 为例 在 ARM 中&#xff0c;通常为满减栈&#xff08;Full Descending FD&#xff09;, 也就是说&#xff0c;堆栈指针指向堆栈内存中最后一个填充的位置&#xff0c;并且随着每个新数据项被压入堆栈而递减。 栈的本质 要理解栈的本…

JVM 栈和栈帧

tag: jvm,stack,stack frame,栈,栈帧 原文&#xff1a;JVM Stacks and Stack Frames 翻译&#xff1a;陈同学 欢迎访问陈同学博客原文&#xff0c;文章可读性更佳 前情提要 对于没有深度递归的函数来说&#xff0c;无需担心上篇文章中的算法。当知道正在处理数据集有限时&am…

C语言的函数栈帧

⭐️前面的话⭐️ &#x1f4d2;博客主页&#xff1a;未见花闻的博客主页 &#x1f389;欢迎关注&#x1f50e;点赞&#x1f44d;收藏⭐️留言&#x1f4dd; &#x1f4cc;本文由未见花闻原创&#xff0c;CSDN首发&#xff01; ✉️坚持和努力一定能换来诗与远方&#xff01; &…

【C语言】函数栈帧的创建和销毁(1)

前言&#xff1a; ❓ 在我们前期学习C语言时&#xff0c;你是否曾产生过很多困惑&#xff1f; &#x1f4ad; 比如&#xff1a;局部变量是怎么创建出来的&#xff1f;因为局部变量的值是随机值&#xff0c;我们建议将它初始化&#xff0c;那么为什么局部变量的值是随机值&am…

函数栈帧(详解版)

文章目录 前言1.浅谈C语言内存1.1 内存分配1.2 栈1.3 寄存器 2. 为main()函数开辟栈帧3.变量的初始化及函数调用4.ADD函数4.1 ADD函数的创建4.2 ADD函数使用与销毁 5.总结 前言 前期学习的时候&#xff0c;我们可能有很多困感? 比如: ●局部变量是怎么创建的?I为什么局部变量…

也谈栈和栈帧

&#xfeff;&#xfeff; 一个码农要是没遇见过coredump&#xff0c;那他就是神仙了。core file(coredump的转储文件)中保存的最重要内容之一&#xff0c;就是函数的call trace。还原这部分内容 (栈回溯) &#xff0c;并与原代码对应上&#xff0c;尽快找出程序崩溃的位置和…

(栈帧和函数调用一)栈帧,函数调用与栈的关系

&#xff08;栈帧和函数调用一&#xff09;栈帧&#xff0c;函数调用与栈的关系 一&#xff0c;栈帧的介绍二&#xff0c;函数调用与栈的关系三&#xff0c;汇编演示四&#xff0c;总结 在计算机科学中&#xff0c;栈是一个特殊的容器&#xff0c;用户可以将数据压入栈中&#…

理解栈帧和栈的运行原理

栈中的数据都是以栈帧&#xff08;Stack Frame&#xff09;的格式存在&#xff0c;栈帧是一个内存区块&#xff0c;是一个数据集&#xff0c;是一个有关方法 (Method) 和运行期数据的数据集&#xff0c;当一个方法A被调用时就产生了一个栈帧 F1&#xff0c;并被压入到栈中&…

函数栈帧的形成与释放

✅作者简介&#xff1a;嵌入式入坑者&#xff0c;与大家一起加油&#xff0c;希望文章能够帮助各位&#xff01;&#xff01;&#xff01;&#xff01; &#x1f4c3;个人主页&#xff1a;rivencode的个人主页 &#x1f525;系列专栏&#xff1a;玩转C语言 &#x1f4ac;推荐一…

【函数栈帧的创建和销毁】(超详细图解)

想必大家在学完C语言函数章节之后&#xff0c;是否有这样的困惑&#xff1a; 局部变量是怎么创建的 &#xff1f; 为什么局部变量的值是随机值 &#xff1f; 函数是怎么传参的&#xff1f;传参的顺序又是什么样的 &#xff1f; 形参和实参是什么关系 &#xff1f; 函数调用…

C语言函数栈帧详解

系列文章目录 前言 最近正在学习栈帧方面的知识&#xff0c;由于本人对汇编不太熟悉&#xff0c;对其中频繁出现的ESP寄存器和EBP寄存器一直没搞清楚&#xff0c;在查找资料后&#xff0c;在此进行整理&#xff0c;方便以后温故知新。 一、预备知识 要清楚理解栈帧的概念&…

详解栈帧结构

https://www.1024do.com/?p367 栈帧结构 含义&#xff1a;C语言中&#xff0c;每个栈帧对应着一个未运行完的函数。栈帧中保存了该函数的返回地址和局部变量。栈帧也叫过程活动记录&#xff0c;是编译器用来实现过程函数调用的一种数据结构。 从逻辑上讲&#xff0c;栈帧就是…

函数栈帧详解

目录 一.什么是函数栈帧 1.寄存器&#xff1a; 2.函数栈帧 3.栈帧的作用和维护 4.栈帧结构 二.函数栈帧的创建 1.汇编代码 2.main函数函数栈帧的创建 1.汇编语言讲解&#xff1a; 2.栈帧创建&#xff1a; 3.详细步骤 3.ADD函数栈帧的创建 栈帧创建&#xff1a; 3.函…