高等数学——旋转体的体积

article/2025/10/25 10:31:02

在这里插入图片描述在这里插入图片描述

在这里插入图片描述
在这里插入图片描述
在这里插入图片描述
在这里插入图片描述在这里插入图片描述

在这里插入图片描述在这里插入图片描述

在这里插入图片描述在这里插入图片描述
在这里插入图片描述

在这里插入图片描述在这里插入图片描述


http://chatgpt.dhexx.cn/article/lgb1LWLP.shtml

相关文章

刚体旋转的表示方法

1. 适用于RxRyRz顺序的旋转矩阵与欧拉角变换关系 1.1. 基本旋转矩阵 1.2. 欧拉角->旋转矩阵 1.3. 旋转矩阵->欧拉角 Eigen自带的转换函数会出现欧拉角跳变的现象,虽然结果上没有问题,但使用起来不直观,这里提供一个自定义的转换方式&a…

积分计算曲线围绕X轴旋转形成的立体体积

积分计算曲线围绕X轴旋转形成的立体体积 若曲线yx^21和直线y-x3围成的区域,再绕X坐标轴旋转一周,形成一个立体,计算该立体的体积。 如图: 先计算出所要求的在X坐标轴的积分上下限为[-2,1]。仔细分析可知,外部的大圆半…

定积分的应用—所围图形的面积、绕轴旋转所围成立体的体积、旋转曲面的面积、弧长

本篇本章,将从几个简单的例子带大家分析总结定积分的应用中常用的方法和思想,一起学习进入定积分的世界😜😜 一、求所围图形的面积 1.求由抛物线 y x 2 与 y 2 − x 2 所 围 图 形 的 面 积 yx^2与y2-x^2所围图形的面积 yx2与y2…

旋转体表面积公式推导及证明错误

申明: 仅仅个人小记 举例探讨: yf(x)连续,绕x轴旋转,求旋转体的表面积 用微元法求解旋转体表面积, 微元法的使用前提条件:实际量和近似量之间误差必须为高阶无穷小 显然,实际量是不好直接描述的(不然也就不会来采用定…

旋转体的体积

from: http://math.fudan.edu.cn/gdsx/XXYD.HTM

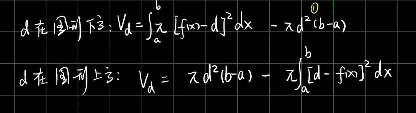
【问题思考总结】旋转体的体积和函数在直线上下有关吗?【几何+微元】

问题 在一道题里面,函数在直线的上下是不确定的,只能确定x的范围,然而,在我之前的理解中,必须要都高于或者低于这个转轴才行,然而导数还求不出来,不能够判断这个曲线到底在函数的上面还是下面&…

使用二重积分来求旋转体的体积

它绕那个轴转,dv2pai*(该点到该轴的距离)

【高数】高数第六章节——平面图形的面积旋转体体积平面截面体体积平面曲线的弧长定积分在物理学中的应用

高数第六章节——平面图形的面积&旋转体体积&平面截面体体积&平面曲线的弧长&定积分在物理学中的应用 0、博主高数相关章节目录1、平面图形的面积1.1 直角坐标系中图形的面积1.1.1 例题——椭圆的面积 1.2 极坐标下平面图形的面积 2、旋转体体积|平行截面面积已…

求旋转体体积表面积时的dx,ds问题的简单解释

说明 本文并不是严格的证明,只是简单的用于理解什么时候用 d x dx dx什么时候用 d s ds ds,所以采用的曲线比较特殊,为 y x yx yx并且在 [ 0 , 1 ] [0,1] [0,1]区间上,实际对于复杂的曲线,取微元时 Δ y \Delta y Δ…

求旋转体侧面积

首先判断曲线是否关于x轴,y轴或原点对称,如果对称,则只取一半。 一条曲线可以做多次取一半的操作,比如星形线,关于x轴对称,则可以去掉x轴下方的部分,剩下的部分依然关于y轴对称,因此…

一个单位球体积理清二三重积分计算与体积的求解方法(含旋转体体积)

way1 圆柱体体积可以看成图中红色长方形沿y轴旋转 way2 将空心柱壳切开后,得到一个长方体,长为,宽为dy,(注意这里切开来以后当然不是一个严格的长方体,二是一上让边长为,下边为的一个柱体&#…

高数——求旋转体体积的相关问题

绕y轴旋转 第一步,确定积分区域 所求旋转体为橙色阴影区域绕y轴旋转,然后再乘以2 第二步,分析求解思路 首先,分析采用「圆盘法」还是「果丹皮法」 圆盘法: 果丹皮法: 由于题目已经包含了平方项&#xf…

旋转体体积的两种常用求法及单位转换问题

例 如图所示,求由 y x 2 yx^2 yx2绕y轴旋转而成的旋转体的体积 方法一:对y积分(Disks) 如图所示,盘片的面积为 π x 2 \pi x^2 πx2,厚度为 d y dy dy的盘片的体积为 d V π x 2 d y dV\pi x^2dy dVπ…

定积分应用——求旋转体体积

使用微元法和套筒法求旋转体体积 如题: 在这里求区域D的步骤略,设出交点,两个方程两个未知数,求出即可 局域D如下: 第一问用微元法: 1、取微元,范围高从y到ydy,宽为两个函数…

高数 | 旋转体体积的一般公式

题设:求阴影部分D,绕直线旋转的体积 解: 在阴影中取个小圆,圆心坐标(x,y),圆心到直线的距离记作 r(x,y) 那么这个小区域旋转后的体积,就可以表示为: 用二重积分的思想表示全部的体…

旋转体的体积和表面积

积分公式 令曲线 y f ( x ) yf(x) yf(x)绕 x x x轴旋转,形成的旋转体,则其体积和表面积可以计算积分而得(假设体积和表面积一定存在,积分一定存在,这里不讨论数学问题)。 体积公式为: V ∫ …

高等数学:第六章 定积分的应用(3)体积

6.3 体积 一、旋转体的体积 旋转体是由一个平面图形绕该平面内一条定直线旋转一周而生成的立体,该定直线称为旋转轴。 计算由曲线直线,及轴所围成的曲边梯形,绕轴旋转一周而生成的立体的体积。 取为积分变量,则,对…

高数 | 旋转体体积计算方法汇总、二重积分计算旋转体体积

所谓旋转体,指的是一个平面图形绕着该平面中的某一条直线旋转一周而形成的立体图形,旋转体体积则是该立体图形的体积. 一、旋转体体积计算方法 高数 | 定积分的应用 柱壳法 圆柱法_西皮呦的博客-CSDN博客_定积分应用柱壳法 二、其他类型旋转体体积计算方…

(旋转体体积的计算)利用元素法简单解答空间几何体问题——高等数学

相信很多人初学的时候和我一样对这种三维空间的几何体计算方面有困难。我也曾百度过关于几何体体积/表面积的求法,但是始终不是很明白百度上的那种方法。这篇文章让你彻底理解这个万能的几何思想:“元素法” 结合配图和图旁解释说明学习,请细…

【5】Git删除本地分支和远程分支

【5】Git删除本地分支和远程分支 1.删除本地分支 不能删除当前所在分支,需要切换到其他分支才能删除分支。 删除分支命令 git branch -d 分支名称2.删除远程分支两步搞定 2.1.删除远程分支命令 git branch -r -d origin/将要删除的分支名称 此刻提示远程分支已经…