绕y轴旋转

第一步,确定积分区域

所求旋转体为橙色阴影区域绕y轴旋转,然后再乘以2
第二步,分析求解思路
首先,分析采用「圆盘法」还是「果丹皮法」
圆盘法:

果丹皮法:

由于题目已经包含了平方项,因此采用「圆盘法」计算简单,但是要看成y型的(上面公式给的是x型)
然后,将问题进行拆解
所求旋转体的体积,记作V
我们只计算橙色阴影部分(这里只取了上半部分)
蓝色圆(上半部分,黑色阴影)旋转体积,记作V1
橙色圆和蓝色圆相交的部分(上半部分,黄色阴影)旋转体积,记作V2
那么所求体积 V = V1 - V2(上半部分,橙色阴影)
第三步,求解子问题
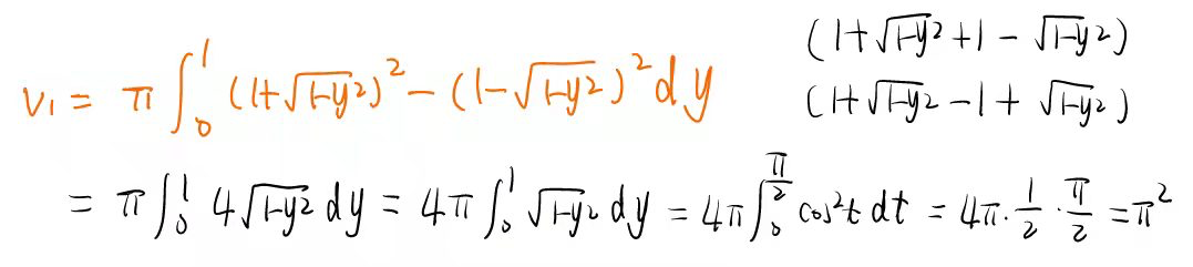
V1 是半圆绕着y轴旋转,旋转后会产生中间凹陷,需要减去这部分体积
以 x=1 这个中心线将圆分为两半,分别写出对应的表达式,如下:

进而得出V1的表达式:

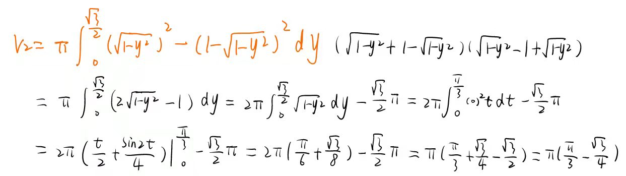
接下来,分析V2
v2是黄色阴影旋转后的体积,它由橙色圆作为旋转边界
,再减去左上角多余的部分(虚线以下,蓝色圆以上)旋转后的体积,即就是:

第四步,整合结果


















