题设:求阴影部分D,绕直线旋转的体积

解:
在阴影中取个小圆,圆心坐标(x,y),圆心到直线的距离记作 r(x,y)
那么这个小区域旋转后的体积,就可以表示为:

用二重积分的思想表示全部的体积:

特例:
当绕x轴和y轴旋转时(直线的表达式分别为:l=x 和 l=y)
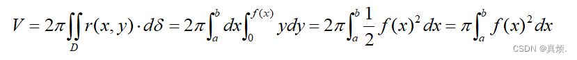
假设图像为下图

当绕x轴旋转时:

当绕y轴旋转时:


在阴影中取个小圆,圆心坐标(x,y),圆心到直线的距离记作 r(x,y)
那么这个小区域旋转后的体积,就可以表示为:

用二重积分的思想表示全部的体积:

特例:
当绕x轴和y轴旋转时(直线的表达式分别为:l=x 和 l=y)
假设图像为下图

当绕x轴旋转时:

当绕y轴旋转时:
