way1
圆柱体体积可以看成图中红色长方形沿y轴旋转
way2
将空心柱壳切开后,得到一个长方体,长为
,宽为dy,(注意这里切开来以后当然不是一个严格的长方体,二是一上让边长为
,下边为
的一个柱体,但是dy较小我们可以忽略不计)

way3
双重积分先对x积分(因为这样
相当于常数)实际上积分得到的结果就是上述的空心柱壳
当然如果先对y积分那么得到的就是圆盘
注意这里的
表示的就是下图的那个空心柱壳

way4
和方法3相似,只不过体积微元是通过小方块沿y轴旋转得到,这里不再赘述
way5
方法5实际上就是方法4的极坐标表示
体积微元为如图面积绕y轴旋转
那么可以得到一个空心柱壳(不是很严谨,但大概就是轮胎的样子)
将其切开后,底面积为
,高为
(横坐标
,这里用了近似)

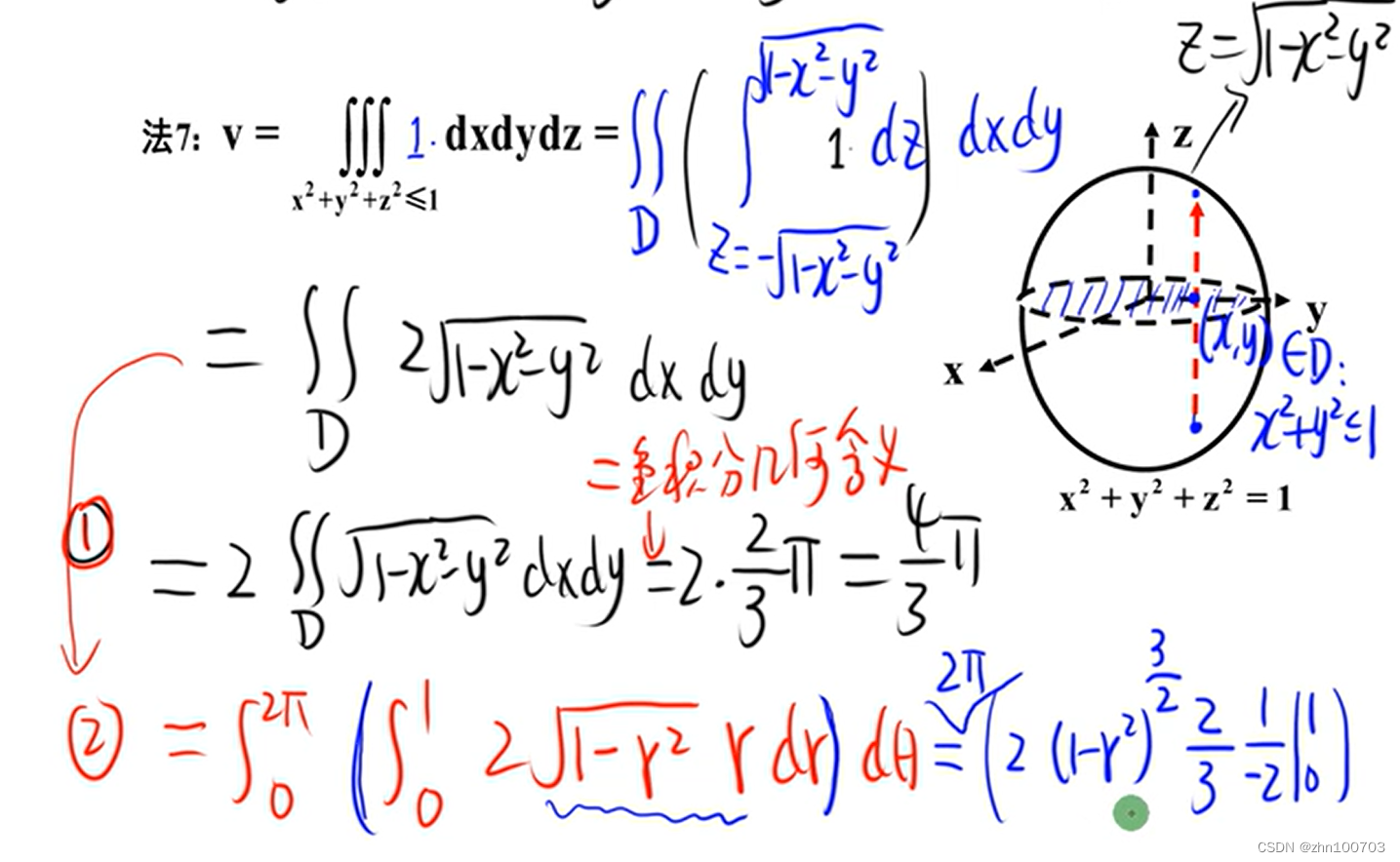
way7(三重积分)
先1后2(先求1次积分,再求二重)
下面说的方法7,实际上是我把方法6省略了,因为和5没什么区别
7.1可以将二重积分看作
,根据几何含义可以知道这个积分表示的是上半球的体积(当然这里球的体积应该算是未知的,这里只是想要熟悉一下二重积分的几何定义)
7.2
的极坐标表示为
(这里有根号,且是球,所以想到极坐标)

way8
先2后1(先求二重,再求一重积分)
注意下面二重积分实际上就是红色圆的面积也就是

way9
球体积的体积微元为

way10
这里将
的二次项,三次想都忽略




















