首先判断曲线是否关于x轴,y轴或原点对称,如果对称,则只取一半。
一条曲线可以做多次取一半的操作,比如星形线,关于x轴对称,则可以去掉x轴下方的部分,剩下的部分依然关于y轴对称,因此可以再去掉y轴右侧的部分,两次操作后只保留了第一象限的部分
接着,看所给函数类型
以下以绕x轴旋转为例
1.直角坐标系,y=y(x),x取值范围为[a,b],则求

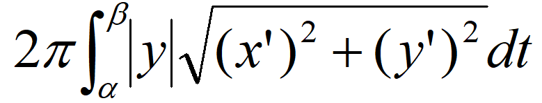
实际上,这个方程是求积分后得到的值,
是圆的周长,因为绕x轴,所以在积分式子中r取|y|,如果是绕y轴旋转,那么r代入|x|。
而则是侧面长度。把侧面的长度近似看成一截很短的圆柱的高,两者相乘便近似为很短一段长度上的圆柱体表面积。
积分后,便为整个旋转体表面积
2.参数方程,t取值为[α,β],则求

之后,根据求出来的旋转体侧面积,推出原来的旋转体侧面积,因为经过取一半操作后,上面式子求出来的面积并不是完整的旋转体侧面积
例:求星形线绕x轴旋转形成的旋转体侧面积
根据分析,只保留第一象限的曲线,对这个曲线旋转得到的旋转体求面积,为

根据图像分析,整体的侧面积应为该部分的两倍,所以答案为(12πa^2)/5

















