克鲁斯卡尔算法 与 普里姆算法

article/2025/11/10 18:33:26

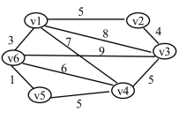
克鲁斯卡尔算法

设G=(V,E)是具有n个顶点的连通网,T=(U,TE)是其最小生成树。

1、选取权值最小的边(Vi,Vj),若边(Vi,Vj)加入到TE后形成回路,则舍弃该边否则将该边加入到TE中。

2、重复1,直到最后结果中含有n-1条边为止
在这里插入图片描述
在这里插入图片描述

普里姆算法

普里姆算法(Prim’s algorithm)是图中的一种算法,可在加权连通图中搜索最小生成树。

该算法的作用就是根据图中权值找到连接所有顶点的最短路径,也就是连接所有顶点的最小权值之和,也是这个加权图中的最小生成树。
在这里插入图片描述


http://chatgpt.dhexx.cn/article/lF4BecGf.shtml

相关文章

最小生成树:克鲁斯卡尔算法+普里姆算法

目录 一、最小生成树 二、克鲁斯卡尔算法 1、思路 2、示例 3、C语言代码 三、普里姆算法 1、思路 2、C语言代码 一、最小生成树 一棵最小生成树需要满足哪些条件呢? 不存在回路对于具有n个顶点的连通网,其生成树中只能有n-1条边,这…

用c语言描述普里姆算法和克鲁斯卡尔算法,克鲁斯卡尔算法+普里姆算法 详解

克鲁斯卡尔算法: 【1】克鲁斯卡尔算法 普里姆算法是以某顶点为起点,逐步找各顶点上最小权值的边来构建最小生成树。 克鲁斯卡尔算法是直接以边为目标去构建。 因为权值是在边上,直接去找最小权值的边来构建生成树也是很自然的想法,只不过构建时要考虑是否会形成环路而已。 …

十大算法之克鲁斯卡尔算法

克鲁斯卡尔算法介绍 克鲁斯卡尔(Kruskal)算法,是用来求加权连通图的最小生成树的算法。 基本思想:按照权值从小到大的顺序选择n-1条边,并保证这n-1条边不构成回路 具体做法:首先构造一个只含n个顶点的森林,然后依权值…

0096 克鲁斯卡尔算法,迪杰斯特拉算法

/* * 克鲁斯卡尔算法 * 1.用来求加权连通图的最小生成树的算法 * 2.思想:按照权值从小到大的顺序,选择n-1条边,并保证这n-1条边不构成回路 * 3.先构造一个只含n个顶点的森林,依权值从小到大从连通网中选择边加入到森林中 * …

普里姆 克鲁斯卡尔算法

一.简介 连通图:任意2节点之间都有路径相通 最小生成树:最小权重生成树 一个 n 结点的连通图的生成树是原图的极小连通子图,且包含原图中的所有 n 个结点,并且有保持图连通的最少的边(n-1)。 最小生成树可…

c语言克鲁斯卡尔算法

克鲁斯卡尔思路以及代码分析 我们用邻接矩阵来表示该图,克鲁斯卡尔算法思想及找到最小边,查看是否形成回路,若形成回路则这条边不形成,若不形成回路则构成最小路径,以此类推。(思路和代码都在下方&#xff…

了解克鲁斯卡尔算法

文章目录 Kruskal算法如何工作Kruskal算法的示例Kruskal算法伪代码C示例Kruskal算法 vs Prim算法Kruskal算法的复杂度Kruskal算法的应用参考文档 在本教程中,您将学习Kruskal算法如何工作。此外,您还将找到C语言的示例。     Kruskal算法是一种最小生…

克鲁斯卡尔算法

什么是克鲁斯卡尔算法 在知道克鲁斯卡尔算法之前我们先来看一下什么是最小生成树。 最小生成树:在一个有n个结点的无向图中选出最少的边,保证所选边权相加之和最小以及该图中依然有n个结点并且n个结点连通。一共有n个结点,要保证连通&#…

Kruskal算法(克鲁斯卡尔算法)

Kruskal算法 Kruskal算法是一种用来查找最小生成树的算法,由Joseph Kruskal在1956年发表。用来解决同样问题的还有Prim算法和Boruvka算法等。三种算法都是贪心算法的应用。 概念解释 Kruskal算法定义:**先构造一个只含 n 个顶点、而边集为空的子图&…

KruskalAlgorithm(克鲁斯卡尔算法)

KruskalAlgorithm介绍 克鲁斯卡尔(Kruskal)算法,是用来求加权连通图的最小生成树的算法。基本思想:按照权值从小到大的顺序选择 n-1 条边,并保证这 n-1 条边不构成回路具体做法:首先构造一个只含 n 个顶点的森林,然后…

数据结构——克鲁斯卡尔(Kruskal)算法

克鲁斯卡尔算法是求连通网的最小生成树的另一种方法。与普里姆算法不同,它的时间复杂度为O(eloge)(e为边数),适合于求边稀疏的网的最小生成树 。克鲁斯卡尔算法从另一途径求网的最小生成树。其基本思想是&a…

克鲁斯卡尔(Kruskal)算法(严蔚敏C语言)

克鲁斯卡尔算法(Kruskal) ​ 克鲁斯卡尔算法是求连通网的最小生成树的另一种方法。与普里姆算法不同,它的时间复杂度为O(eloge)(e为网中的边数),所以,适合于求边稀疏的网的最小生成树 。 ——百…

4.《学会提问》

1.书中的观点 批判性思维会教你很多技能和态度,让你理性地找到对自己有意义的答案并为此感到自豪。批判性思维鼓励你倾听他人,向别人学习,同时掂量别人所说的话,看看它们的分量如何。如此,你将了解到我们必须要依赖他人…

如何提问——提问的艺术

转存失败重新上传取消https://github.com/ryanhanwu/How-To-Ask-Questions-The-Smart-Way/blob/master/README-zh_CN.md

《提问的艺术》读书笔记

分享读《提问的艺术》的xmind总结,每周听一本书,打卡第一周

(转载) 提问的艺术

虽然这是老话常谈,但是最近的回答问题的过程中,有点感触。你问题问的好,问的准确,回答你的人才有积极性给你答复,这样你又可以更快的解决你的问题。好多人不知道如何提问,所以我打算把这篇老文章转过来置顶…

论程序员提问的艺术

最近工作比较忙,加上空闲时间大部分都是在维护开发【云狗AI】,所以也有一段时间没更新视频了,有不懂的,也可以问一下【云狗AI】以后我也会花更多的时间在维护这个项目中。争取给大家带来更好的体验。 主要是因为最近没发现什么特…

提问的艺术[转]

这是刚看到的 所以转一下 也是警示自己的伸手行为 原文&#xff1a;How To Ask Questions The Smart Way 译文链接&#xff1a;提问的艺术 作者&#xff1a; 艾瑞克.史蒂文.雷蒙德(Eric Steven Raymond) <esrthyrsus.com> 瑞克.莫恩(Rick Moen) <respond-autolinuxmaf…

【提问的艺术】

&#x1f49d;&#x1f49d;&#x1f49d;欢迎来到我的博客&#xff0c;很高兴能够在这里和您见面&#xff01;希望您在这里可以感受到一份轻松愉快的氛围&#xff0c;不仅可以获得有趣的内容和知识&#xff0c;也可以畅所欲言、分享您的想法和见解。 非常期待和您一起在这个小…

提问的艺术/怎么高效的提问

唉,可能是因为见过的人多了吧,不管是在现实世界中,还是在网络上,总是需要向别人询问一些东西的, 有的人来问,谦谦有礼,感觉很好,帮助了别人,也没损失什么,有的人来问,就是真心不想搭理他,搭理了他就是 浪费自己的时间,还心理不好受的. 今天不说现实中怎么提问.就说在互联网上.…