【C++】---指针和引用的区别

article/2025/10/3 0:45:59

指针和引用的区别

      • 两者本质
      • 两者区别
      • 两者的相同点
      • 为什么传引用比传指针更安全
      • 两者做返回值效率的比较

两者本质

引用是别名,指针是地址、实体

两者区别

不同点分析
1.初始化要求不同引用在创建的同时必须初始化,即引用到一个有效的对象,而指针在定义的时候不必初始化,可以在定义后面的任何地方重新赋值。
2.可修改性性不同引用一旦被初始化为指向一个对象,它就不能被改变为另一个对象的引用;而指针在任何地方都可以改变为指向另一个对象。给引用赋值并不是改变它和原始对象的绑定关系。
3.不存在NULL引用引用不能使用指向空值的引用,它必须总是指向某个对象;而指针则可以是NULL,而不需要总是指向某些对象,可以把指针指向任意的对象,所以指针更加灵活,但是也更容易出错
4.测试需要的区别由于引用不会指向空值,这意味着使用引用前不需要测试它的合法性,而指针则需要经常进行测试。因此使用引用的代码效率比使用指针的效率要高。
5.应用的区别如果是指一旦指向一个对象后就不会改变指向,那么应该使用引用。如果有存在指向NULL(不指向任何对象)或在不同的时刻指向不同的对象这些可能性,应该使用指针更为稳妥一些。
6.运算符的区别指针和引用的自增(++)运算意义不同,引用自加即引用的实体增加1,指针自加即指针向后偏移一个类型的大小
7.计算对象大象大小"sizeof 引用"得到的是所指向的变量(对象)的大小,而"sizeof 指针"得到的是指针本身的大小。
8.多级的区别有多级指针,但是不存在多级引用,只能有一级引用。
9.访问时的区别引用访问的是一个变量,是直接访问的,而指针则是访问一个变量则是在间接访问的。
10.const的区别引用没有const,指针有const,const指针不可变。

两者的相同点

指针指向一块内存,它的内容是所知内存的的地址;引用则是某块内存的别名。

int main()
{int aa = 10;int& wa = a;cout<<"&aa = "<<&aa<<endl;cout<<"&wa = "<<&wa<<endl;return 0; 
}

总的来说,引用即具有指针的效率,又具有变量使用的方便性和直观性。

为什么传引用比传指针更安全

答:由于不存在空指针,并且引用一旦被初始化为指向一个对象,它就不能改变为另一个对象的引用,因此引用更为安全。
对于指针来说,它可以随时指向别的对象,并且可以不被初始化,或为NULL,所以不安全,const指针任然存在空指针,并且有可能产生野指针。

指针:对于一个类型T,T就是指向T的指针类型,也就是一个T类型的变量能够保存一个对象的地址,而类型T是可以加一些限定词,如const等等。

char a='A';
char* p=&a;

![在这里插入图片描述](https://img-blog.csdnimg.cn/20191221192801875.png?x-oss-process=image/watermark,type_ZmFuZ3poZW5naGVpdGk,shadow_10,text_aHR0cHM6Ly9ibG9nLmNzZG4ubmV0L0wxOTAwMlM=,size_16,color_FFFFFF,t_70
引用:引用是一个对象别名,主要用于函数参数和返回值类型,符号X&标识X类型的引用。

int i=1;
int &r=1;
int x=r;
r=2;int* p=&r;

在这里插入图片描述
做参数

void Swap(int& left, int& right) 
{int temp = left;left = right;right = temp;
}

做返回值

int& Test(int& a){a += 10;return a; }

两者做参数效率的比较

#include <time.h>
struct A {int a[10000];
};
void Test1(A a)
{}
void Test2(A& a)
{}
void Test3()
{A a;// 以指针作为函数参数size_t begin1 = clock();for (size_t i = 0; i < 10000; ++i)Test1(a);size_t end1 = clock();// 以引用作为函数参数size_t begin2 = clock();for (size_t i = 0; i < 10000; ++i)Test2(a);size_t end2 = clock();// 分别计算两个函数运行结束后的时间cout << "Test1(int*)-time:" << end1 - begin1 << endl;cout << "Test2(int&)-time:" << end2 - begin2 << endl; }
// 运行多次,检测指针和引用在传参方面的效率区别
int main()
{for (int i = 0; i < 10; ++i){Test3();}return 0; }

在这里插入图片描述

两者做返回值效率的比较

#include <time.h>
struct A {int a[10000];
};
A a; A Test1()
{return a;
}A& Test2()
{return a;
}
void Test3()
{// 以指针作为函数的返回值类型size_t begin1 = clock();for (size_t i = 0; i < 100000; ++i)Test1();size_t end1 = clock();// 以引用作为函数的返回值类型size_t begin2 = clock();for (size_t i = 0; i < 100000; ++i)Test2();size_t end2 = clock();// 计算两个函数运算完成之后的时间cout << "Test1 time:" << end1 - begin1 << endl;cout << "Test2 time:" << end2 - begin2 << endl;
}
// 测试运行10次,指针和引用作为返回值效率方面的区别
int main()
{for (int i = 0; i < 10; ++i)Test3();system("pause");return 0;
}

在这里插入图片描述
由效率测试可以看出,在效率方面,无论是引用做参数还是返回值,时间花费的相对更少。


http://chatgpt.dhexx.cn/article/gn2tQ5cA.shtml

相关文章

【C++】指针和引用的区别及指针传递和引用传递的区别

一、指针和引用的区别&#xff1a; 1.指针是一个变量&#xff0c;只不过这个变量存储的是一个地址&#xff0c;指向内存的一个存储单元&#xff1b;引用和原来的变量实质上是同一个东西&#xff0c;只不过是原变量的一个别名。 2.指针的值在初始化后可变&#xff0c;即指向其…

指针和引用的区别以及引用与指针基础

1引用&#xff1a; 引用&#xff08;reference&#xff09;为对象起了另外一个新的名字通过将声明符写成&d的形式来定义引用类型&#xff0c;其中d是声明的变量名&#xff1a; int ival 1024;int& refval ival;int& refval2;//报错&#xff1a;引用必须被初始化…

C++中指针和引用的区别(超详细)

指针和引用主要有以下区别&#xff1a; 引用必须被初始化&#xff0c;但是不分配存储空间。指针不声明时初始化&#xff0c;在初始化的时候需要分配存储空间。 引用初始化后不能被改变&#xff0c;指针可以改变所指的对象。 不存在指向空值的引用&#xff0c;但是存在指向空值的…

c++:指针和引用的区别

目录 前言&#xff1a; 1、引用概念上是定义一个变量的别名&#xff0c;而指针是存储一个变量的地址。 2、引用在定义时必须要初始化&#xff0c;但是指针没有要求。 3、引用在初始化时引用一个实体后&#xff0c;就不能再引用其他实体&#xff0c;因为其本质是一个指针常量…

C++中指针和引用的区别

1.指针和引用的定义和性质区别&#xff1a; &#xff08;1&#xff09;指针&#xff1a;指针是一个变量&#xff0c;只不过这个变量存储的是一个地址&#xff0c;指向内存的一个存储单元&#xff1b;而引用跟原来 的变量实质上是同一个东西&#xff0c;只不过是原变量的一个别…

C++中的指针与引用

写在前面 指针和引用形式上很好区别&#xff0c;但是他们似乎有相同的功能,都能够直接引用对象&#xff0c;对其进行直接的操作。但是什么时候使用指针&#xff1f;什么时候使用引用呢&#xff1f;这两者很容易混淆,在此我详细介绍一下指针和引用&#xff0c;力争将最真实的一…

引用和指针概念及区别

一、引用和指针 指针&#xff1a;指针是一个特殊的变量&#xff0c;它里面存储的的数值为内存里的一个地址&#xff0c;通过*访问内存地址所指向的值 引用&#xff1a;引用不是新定义一个变量&#xff0c;而是给已存在变量取了一个别名&#xff0c;编译器不会为引用变量开辟内…

01背包.动态规划.c语言实现

二维dp数组01背包 确定dp数组以及下标的含义 使用二维数组&#xff0c;即dp[i][j] 表示从下标为[0-i]的物品里任意取&#xff0c;放进容量为j的背包&#xff0c;价值总和最大是多少 2.递推公式&#xff1a;dp[i][j]dp[i-1][j-weight]value[i] dp[i][j]dp[i-1][j] 3.数组初始…

【动态规划】背包问题

注意&#xff1a;for j in range(1&#xff0c;m1):是枚举所有的情况&#xff0c;不用一一判断放入物品后背包容量减少后j的变化。为什么从1开始&#xff0c;因为0已经写出来了&#xff0c;即dp[i-1][j]dp[i-1][j-0*a[i-1]]0*v[i-1]。 01背包无价值 dp定义&#xff1a;前i项物…

动态规划——背包问题(01背包问题)

动态规划——背包问题&#xff08;01背包问题&#xff09;01背包问题(求最大价值)&#xff1a;问题优化01背包问题(求方案数)&#xff1a; 动态规划——背包问题&#xff08;01背包问题&#xff09; 01背包问题(求最大价值)&#xff1a; 有N件物品和一个最多能背重量为W的背包…

动态规划:关于01背包问题 I

动态规划&#xff1a;关于01背包问题&#xff0c;你该了解这些&#xff01; 对于面试的话&#xff0c;其实掌握01背包&#xff0c;和完全背包&#xff0c;就够用了&#xff0c;最多可以再来一个多重背包。 如果这几种背包&#xff0c;分不清&#xff0c;我这里画了一个图&…

c++ 动态规划-01背包

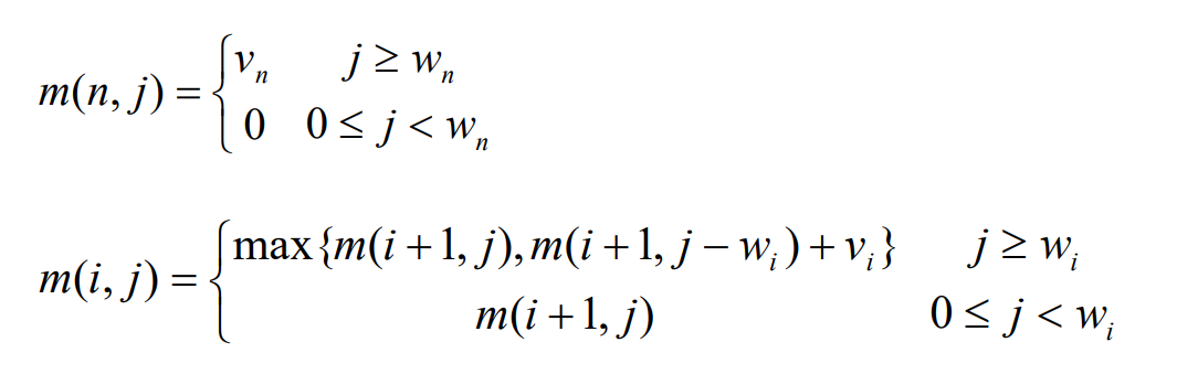
动态规划 - 01背包问题 1.使用递归遍历(穷举)求解&#xff1a; 01背包问题&#xff1a;给定 n 种物品和一个重量(容量)(限定条件)为 w 的背包,物品 i 的重量是 wi,其价值为 vi。(每种物品只有一个)问:如何选择装入背包的物品,使得装入背包中的物品的价值最大。 //VC6.0------…

动态规划——01背包问题(C++实现)

题目描述&#xff1a; 解题思路&#xff1a; 整体思路&#xff1a; 利用动态规划&#xff0c;其目的就是将原问题分解成几个子问题&#xff0c;通过求解简单的子问题&#xff0c;把原问题给解决&#xff0c;就比如斐波那契数列方程&#xff1a; f[i]f[i-1]f[i-2]; 动态规划的…

动态规划总结三01背包问题

01背包问题一般是利用动态规划进行解题的&#xff0c;这里通过leetcode1049来讲解01背包的解题思路以及如何对01背包应用题目转换和理清思路 01背包问题&#xff1a; 这里借用学习公众号代码随想录的一张图来说明背包问题的种类 对于面试的话&#xff0c;其实掌握01背包&…

dp 动态规划 01背包问题 Python

参考学习网址&#xff1a; https://www.bilibili.com/video/av33930433?fromsearch&seid10637513335818789097 https://www.cnblogs.com/anzhengyu/p/11408466.html 问题描述&#xff1a; 给定 n 件物品&#xff0c;物品的重量为 w[i]&#xff0c;物品的价值为 v[i]。现…

Python3使用动态规划处理01背包问题

文章目录 视频教程讲解题目介绍题解1&#xff1a;二维列表题解2&#xff1a;一维列表&#xff08;滚动数组&#xff09;延伸阅读 视频教程讲解 【Python算法系列】动态规划2-01背包问题&完全背包问题【Python算法实战】背包问题 题目介绍 原题链接&#xff1a;NC145 01背…

算法 动态规划 01背包问题

01背包 问题分析代码实现从前往后拿&#xff0c;递归实现非递归实现非递归实现&#xff0c;自上向下填充 允接上一文章内容&#xff1a; 算法 动态规划: link. 问题分析 按照普通思维&#xff0c;首先想到应该为贪心算法&#xff0c;也就是计算每个物品重量价值比&#xff0c;…

【动态规划】01背包问题

&#x1f468;‍&#x1f393;作者简介&#xff1a;一位喜欢写作&#xff0c;计科专业大二菜鸟 &#x1f3e1;个人主页&#xff1a;starry陆离 &#x1f552;首发日期&#xff1a;2022年5月16日星期一 &#x1f30c;上期文章&#xff1a;【动态规划】最长上升子序列 &#x1f4…

01背包问题:图表法带你快速理解动态规划解决01背包问题 附C++源码

0-1背包问题 所谓0-1背包问题&#xff0c;也就是给你一个重量为M的背包和n种物品&#xff0c;每种物品有一定的重量和价值&#xff0c;在每种物品均可装入背包1次或不装入&#xff08;不能仅装入物品的一部分&#xff09;且不超过背包载重量的前提下&#xff0c;问你怎样选择物…

动态规划——0/1背包问题(全网最细+图文解析)

✨动态规划——0/1背包问题(全网最细图文解析) 作者介绍: &#x1f393;作者:青花瓷✨ &#x1f440;作者的Gitee:代码仓库 &#x1f4cc;系列文章推荐: ✨1.数据结构与算法—算法篇之动态规划(一) ✨2.【Java刷题特辑第一章】——【点进来花两把游戏的时间学习晚上睡觉都踏实了…