雅可比迭代法法
在图形图像中很多地方用到求矩阵的特征值和特征向量,比如主成分分析、OBB包围盒等。编程时一般都是用数值分析的方法来计算,这里介绍一下雅可比迭代法求解特征值和特征向量。雅可比迭代法的原理,网上资料很多,详细可见参考资料1。这里我们简单介绍求解矩阵S特征值和特征向量的步骤:
1、初始化特征向量为对角阵V,即主对角线的元素都是1.其他元素为0。
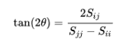
2、在S的非主对角线元素中,找到绝对值最大元素 Sij。
3、用下 式计算tan2θ,求 cosθ、sinθ 及旋转矩阵Gij 。

4、用下面公式求S‘;用当前特征向量矩阵V乘以矩阵Gij得到当前的特征向量V。

5、若当前迭代前的矩阵A的非主对角线元素中最大值小于给定的阈值e时,停止计算;否则, 令S =S‘, 重复执行(2) ~ (5)。 停止计算时,得到特征值 li≈(S‘) ij ,i,j= 1,2,…,n.以及特征向量V。
6、这一步可选。根据特征值的大小从大到小的顺序重新排列矩阵的特征值和特征向量。
















