排队论模型之M/M/S模型

article/2025/10/17 0:54:24

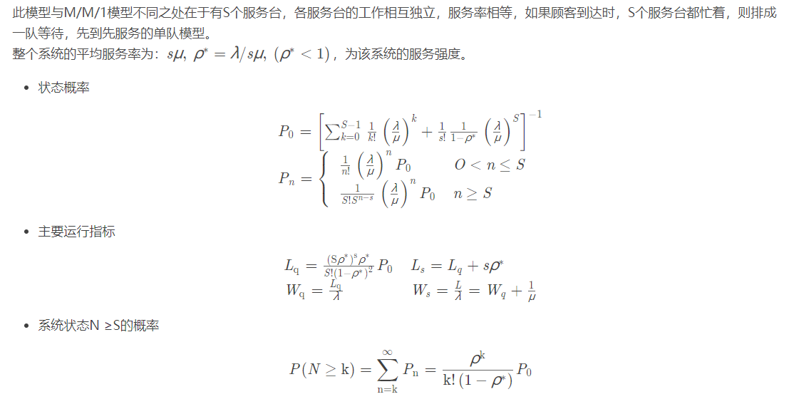
相关参数

在这里插入图片描述

模型推导

在这里插入图片描述

例题

在这里插入图片描述
代码实现

s=3; %服务台的个数
mu=0.4; %单位时间内能服务的顾客数
lambda=0.9; %单位时间内到达的顾客数ro=lambda/mu;
ros=ro/s;
sum1=0;
%求解P0时把其分成两部分计算,分别为sum1,sum2
for i=0:(s-1) sum1=sum1+ro.^i/factorial(i); 
endsum2=ro.^s/factorial(s)/(1-ros);p0=1/(sum1+sum2);%p0表示空闲的概率
p=ro.^s.*p0/factorial(s)/(1-ros);
Lq=p.*ros/(1-ros);
L=Lq+ro;
W=L/lambda;
Wq=Lq/lambda;
fprintf('排队等待的平均人数为%5.2f人\n',Lq)
fprintf('系统内的平均人数为%5.2f人\n',L)
fprintf('平均逗留时间为%5.2f分钟\n',W*60)
fprintf('平均等待时间为%5.2f分种\n',Wq*60)

http://chatgpt.dhexx.cn/article/bfR5lS76.shtml

相关文章

排队模型和排队系统仿真

排队模型和排队系统仿真 Gary哥哥 2021.1.31 排队论又称随机服务系统,是研究系统随机聚散现象和随机服务系统工作过程的数学理论和方法,是运筹学的一个分支。排队论的基本思想是 1909 年丹麦数学家 A.K. 埃尔朗在解决自动电话设计问题时开始形成的&#…

数学模型算法实现之排队论

排队问题 https://wenku.baidu.com/view/475f68cb65ce0508763213a7.html 排队论详解 排队论又叫随机服务系统理论或公用事业管理中的数学方法。它是研究各种各样的排队现象的。它所要解决的主要问题是:在排队现象中设法寻求能够达到服务标准的最少设备,使得在满足服务对象…

排队论模型(二):生灭过程 、 M / M /s 等待制排队模型、多服务台模型

排队论模型(一):基本概念、输入过程与服务时间的常用概率分布 排队论模型(二):生灭过程 、 M / M /s 等待制排队模型、多服务台模型 排队论模型(三):M / M / s/ s 损失…

排队论模型(四):M / M / s 混合制排队模型

排队论模型(一):基本概念、输入过程与服务时间的常用概率分布 排队论模型(二):生灭过程 、 M / M /s 等待制排队模型、多服务台模型 排队论模型(三):M / M / s/ s 损失…

浅谈排队论

排队论起源于 1909 年丹麦电话工程师 A. K.爱尔朗的工作,他对电话通话拥挤问 题进行了研究。1917 年,爱尔朗发表了他的著名的文章—“自动电话交换中的概率理 论的几个问题的解决”。排队论已广泛应用于解决军事、运输、维修、生产、服务、库…

超详细的排队论建模

排队系统 顾客输入过程 顾客源(总体):有限/无限顾客到达方式:逐个/逐批(主要是逐个)顾客到达间隔:随机型/确定型顾客到达:相互独立/相互关联输入过程:平稳/非平稳 排队…

排队论模型(五): 有限源排队模型、服务率或到达率依赖状态的排队模型

排队论模型(一):基本概念、输入过程与服务时间的常用概率分布 排队论模型(二):生灭过程 、 M / M /s 等待制排队模型、多服务台模型 排队论模型(三):M / M / s/ s 损失…

排队论模型(一):基本概念、输入过程与服务时间的常用概率分布

排队论模型(一):基本概念、输入过程与服务时间的常用概率分布 排队论模型(二):生灭过程 、 M / M /s 等待制排队模型、多服务台模型 排队论模型(三):M / M / s/ s 损失…

数学建模之排队论

排队是在日常生活中经常遇到的现象,如顾客到商店购买物品、病人到医院看病常 常要排队。此时要求服务的数量超过服务机构(服务台、服务员等)的容量。也就是说,到达的顾客不能立即得到服务,因而出现了排队现象。这种现象…

排队论简介

一、随机过程(Stochastic Process): 1.定义: 设随机实验的样本空间S{s},如果对于每个s,有对应属于参数集T的参数t的函数X(s,t),那么对于所有的s,得到一组t的函数{X(s,t),t∈T}&…

数学建模:排队论模型

今天来简单介绍一下关于数学建模中排队论模型的基本情况和其在MATLAB中的实现方法: 排队论(Queuing Theory) ,是研究系统随机聚散现象和随机服务系统工作过程的数学理论和方法,又称随机服务系统理论,为运筹学的一个分支。是通过对…

数学建模学习笔记(六):排队论模型

一、排队论基本概念 1、基本概念 (1)银行等 (2)车站等 (3)新生报到等(电路中的串联) (4)更多 随即服务系统:等待时间,被服务时间都不…

排队论(Queuing Theory)

目录 简介 一、基本概念 1.1 排队过程的一般表示 1.2 排队系统的组成和特征 1.2.1 输入过程 1.2.2 排队规则 1.2.3 服务过程 1.3 排队模型的符号表示 1.4 排队系统的运行指标 二、 输入过程与服务时间的分布 2.1 泊松流与指数分布 2.2 常用的几种概率分布 2.2.1 连…

排队论模型(七):排队系统的优化

排队论模型(一):基本概念、输入过程与服务时间的常用概率分布 排队论模型(二):生灭过程 、 M / M /s 等待制排队模型、多服务台模型 排队论模型(三):M / M / s/ s 损失…

详细解析排队论

文章目录 (1)基本组成1.输入过程2.服务规则3.数量指标 (2)常见的分布1.泊松分布2.负指数分布 (4)排队模型记号(5)单服务台模型0.Little公式1.标准型M/M/1/ ∞ \infin ∞/ ∞ \infin ∞2.系统容量有限型M/M/1/N/ ∞ \infin ∞3.顾客源有限型M/M/1/ ∞ \infin ∞/m (6)多服务台模…

【排队论 | 数学建模常用模型】

排队论的基本概念 问题的提出 如果增添服务设备,就要增加投资或可能发生空闲浪费;如果服务设备太少,排队现象就会严重,对顾客甚至对社会都会发生不利影响。因此,管理人员必须考虑如何在这两者之间取得平 衡&#xff…

M/M/1 排队论模型

M/M/1 排队论模型 1.M/M/1 模型简单介绍 到达时间是泊松过程(Poisson process);服务时间是指数分布(exponentially distributed);只有一部服务器(server)队列长度无限制可加入队列…

排队论模型及MATLAB实现

文章目录 1. 按2. 排队现象3. 模型介绍3.1. 排队服务过程3.2. 排队系统的要素3.3. 顾客输入过程3.4. 排队结构与排队规则3.5. 服务机构与服务规则3.6. 服务台(员)为顾客服务的顺序3.7. 到达间隔和服务时间典型分布3.8. 排队模型示例3.9. 系统运行状态参数3.10. 系统运行指标参数…

排队论 (queuing theory)推论与举例

目录 1、排队模型的表示 2、排队系统的衡量指标 3、排队系统的要素 顾客的输入过程 排队结构与排队规则 服务机构与服务规则 其中,到达间隔和服务时间(X,Y)具有的典型分布有 4、模型的系统运行状态参数: 泊松…

排队论模型

原文:排队论模型 (一)基本概念 一、排队过程的一般表示 凡是要求服务的对象称为顾客,凡是为顾客服务的称为服务员 二、排队系统的组成和特征 主要由输入过程、排队规则、服务过程三部分组成 三、排队模型的符号表示 1、X&#xff…