排队论模型(二):生灭过程 、 M / M /s 等待制排队模型、多服务台模型

article/2025/10/17 3:28:26

排队论模型(一):基本概念、输入过程与服务时间的常用概率分布

排队论模型(二):生灭过程 、 M / M /s 等待制排队模型、多服务台模型

排队论模型(三):M / M / s/ s 损失制排队模型

排队论模型(四):M / M / s 混合制排队模型

排队论模型(五): 有限源排队模型、服务率或到达率依赖状态的排队模型

排队论模型(六):非生灭过程排队模型、爱尔朗(Erlang)排队模型

排队论模型(七):排队系统的优化

排队论模型(八):Matlab 生成随机数、排队模型的计算机模拟


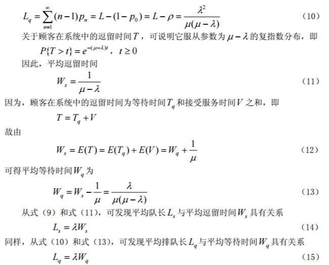
目录

 1 生灭过程 

2   M / M /s 等待制排队模型

         2.1 单服务台模型                         2.1 队长的分布

2.2 几个主要数量指标                  2.3 忙期和闲期

3 与排队论模型有关的 LINGO 函数                    4 多服务台模型( M / M /s/ ∞ )


 1 生灭过程 

一类非常重要且广泛存在的排队系统是生灭过程排队系统。生灭过程是一类特殊的随机过程,在生物学、物理学、运筹学中有广泛的应用。在排队论中,如果 N(t) 表示 时刻t 系统中的顾客数,则{N(t),t ≥ 0}就构成了一个随机过程。如果用“生”表示顾 客的到达,“灭”表示顾客的离去,则对许多排队过程来说,{N(t),t ≥ 0}就是一类特殊的随机过程-生灭过程。

下面结合排队论的术语给出生灭过程的定义。

为求平稳分布,考虑系统可能处的任一状态 n 。假设记录了一段时间内系统进入状 态n 和离开状态 n 的次数,则因为“进入”和“离开”是交替发生的,所以这两个数要么相等,要么相差为 1。但就这两种事件的平均发生率来说,可以认为是相等的。即当 系统运行相当时间而到达平衡状态后,对任一状态 n 来说,单位时间内进入该状态的平 均次数和单位时间内离开该状态的平均次数应该相等,这就是系统在统计平衡下的“流 入=流出”原理。根据这一原理,可得到任一状态下的平衡方程如下:

述公式得到平稳状态的概率分布。

2   M / M /s 等待制排队模型

2.1 单服务台模型

单服务台等待制模型 M / M /1/ ∞ 是指:顾客的相继到达时间服从参数为λ 的负指 数分布,服务台个数为 1,服务时间V 服从参数为 μ 的负指数分布,系统空间无限, 允许无限排队,这是一类最简单的排队系统。

2.1 队长的分布

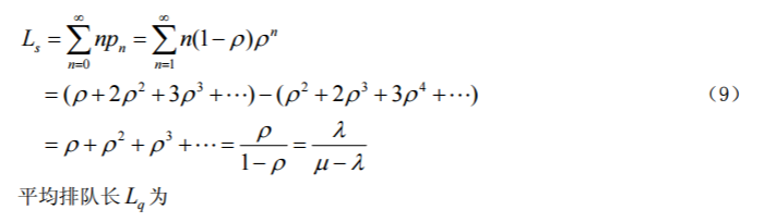
2.2 几个主要数量指标

 对单服务台等待制排队系统,由已得到的平稳状态下队长的分布,可以得到平均队 长

式(14)和式(15)通常称为 Little 公式,是排队论中一个非常重要的公式。

2.3 忙期和闲期

个顾客在系统内的平均逗留时间应等于服务员平均连续忙的时间。


3 与排队论模型有关的 LINGO 函数

(1)@peb(load,S) 该函数的返回值是当到达负荷为 load,服务系统中有 S 个服务台且允许排队时系 统繁忙的概率,也就是顾客等待的概率。

(2)@pel(load,S) 该函数的返回值是当到达负荷为 load,服务系统中有 S 个服务台且不允许排队时 系统损失概率,也就是顾客得不到服务离开的概率。

(3)@pfs(load,S,K) 该函数的返回值是当到达负荷为 load,顾客数为 K,平行服务台数量为 S 时,有限 源的 Poisson 服务系统等待或返修顾客数的期望值。


例 1 某修理店只有一个修理工,来修理的顾客到达过程为 Poisson 流,平均 4 人 /h;修理时间服从负指数分布,平均需要 6min。试求:(1)修理店空闲的概率;(2) 店内恰有 3 个顾客的概率;(3)店内至少有 1 个顾客的概率;(4)在店内的平均顾客数; (5)每位顾客在店内的平均逗留时间;(6)等待服务的平均顾客数;(7)每位顾客平 均等待服务时间;(8)顾客在店内等待时间超过 10min 的概率。

编写 LINGO 程序如下:

model:
s=1;lamda=4;mu=10;rho=lamda/mu;
Pwait=@peb(rho,s);
p0=1-Pwait;
Pt_gt_10=@exp(-1);
end 

4 多服务台模型( M / M /s/ ∞ )

设顾客单个到达,相继到达时间间隔服从参数为λ 的负指数分布,系统中共有 s 个 服务台,每个服务台的服务时间相互独立,且服从参数为 μ 的负指数分布。当顾客到 达时,若有空闲的服务台则马上接受服务,否则便排成一个队列等待,等待时间为无限。

公式(19)和式(20)给出了在平衡条件下系统中顾客数为 n 的概率,当 n ≥ s 时,即 系统中顾客数大于或等于服务台个数,这时再来的顾客必须等待,因此记

式(21)称为 Erlang 等待公式,它给出了顾客到达系统时需要等待的概率。 对多服务台等待制排队系统,由已得到的平稳分布可得平均排队长 Lq 为:

对多服务台系统,Little 公式依然成立,即有


例 2   某售票处有 3 个窗口,顾客的到达为 Poisson 流,平均到达率为 λ = 0.9人/ min ;服务(售票)时间服从负指数分布,平均服务率 μ = 0.4人/ min 。 现设顾客到达后排成一个队列,依次向空闲的窗口购票,这一排队系统可看成是一个

M / M / s/ ∞ 系统,其中

求解的 LINGO 程序如下:

model:
s=3;lamda=0.9;mu=0.4;rho=lamda/mu;rho_s=rho/s;
P_wait=@peb(rho,s);
p0=6*(1-rho_s)/rho^3*P_wait;
L_q=P_wait*rho_s/(1-rho_s);
L_s=L_q+rho;
W_q=L_q/lamda;
W_s=L_s/lamda;
end

排队论模型(一):基本概念、输入过程与服务时间的常用概率分布

排队论模型(二):生灭过程 、 M / M /s 等待制排队模型、多服务台模型

排队论模型(三):M / M / s/ s 损失制排队模型

排队论模型(四):M / M / s 混合制排队模型

排队论模型(五): 有限源排队模型、服务率或到达率依赖状态的排队模型

排队论模型(六):非生灭过程排队模型、爱尔朗(Erlang)排队模型

排队论模型(七):排队系统的优化

排队论模型(八):Matlab 生成随机数、排队模型的计算机模拟


 


http://chatgpt.dhexx.cn/article/9xnxir14.shtml

相关文章

排队论模型(四):M / M / s 混合制排队模型

排队论模型(一):基本概念、输入过程与服务时间的常用概率分布 排队论模型(二):生灭过程 、 M / M /s 等待制排队模型、多服务台模型 排队论模型(三):M / M / s/ s 损失…

浅谈排队论

排队论起源于 1909 年丹麦电话工程师 A. K.爱尔朗的工作,他对电话通话拥挤问 题进行了研究。1917 年,爱尔朗发表了他的著名的文章—“自动电话交换中的概率理 论的几个问题的解决”。排队论已广泛应用于解决军事、运输、维修、生产、服务、库…

超详细的排队论建模

排队系统 顾客输入过程 顾客源(总体):有限/无限顾客到达方式:逐个/逐批(主要是逐个)顾客到达间隔:随机型/确定型顾客到达:相互独立/相互关联输入过程:平稳/非平稳 排队…

排队论模型(五): 有限源排队模型、服务率或到达率依赖状态的排队模型

排队论模型(一):基本概念、输入过程与服务时间的常用概率分布 排队论模型(二):生灭过程 、 M / M /s 等待制排队模型、多服务台模型 排队论模型(三):M / M / s/ s 损失…

排队论模型(一):基本概念、输入过程与服务时间的常用概率分布

排队论模型(一):基本概念、输入过程与服务时间的常用概率分布 排队论模型(二):生灭过程 、 M / M /s 等待制排队模型、多服务台模型 排队论模型(三):M / M / s/ s 损失…

数学建模之排队论

排队是在日常生活中经常遇到的现象,如顾客到商店购买物品、病人到医院看病常 常要排队。此时要求服务的数量超过服务机构(服务台、服务员等)的容量。也就是说,到达的顾客不能立即得到服务,因而出现了排队现象。这种现象…

排队论简介

一、随机过程(Stochastic Process): 1.定义: 设随机实验的样本空间S{s},如果对于每个s,有对应属于参数集T的参数t的函数X(s,t),那么对于所有的s,得到一组t的函数{X(s,t),t∈T}&…

数学建模:排队论模型

今天来简单介绍一下关于数学建模中排队论模型的基本情况和其在MATLAB中的实现方法: 排队论(Queuing Theory) ,是研究系统随机聚散现象和随机服务系统工作过程的数学理论和方法,又称随机服务系统理论,为运筹学的一个分支。是通过对…

数学建模学习笔记(六):排队论模型

一、排队论基本概念 1、基本概念 (1)银行等 (2)车站等 (3)新生报到等(电路中的串联) (4)更多 随即服务系统:等待时间,被服务时间都不…

排队论(Queuing Theory)

目录 简介 一、基本概念 1.1 排队过程的一般表示 1.2 排队系统的组成和特征 1.2.1 输入过程 1.2.2 排队规则 1.2.3 服务过程 1.3 排队模型的符号表示 1.4 排队系统的运行指标 二、 输入过程与服务时间的分布 2.1 泊松流与指数分布 2.2 常用的几种概率分布 2.2.1 连…

排队论模型(七):排队系统的优化

排队论模型(一):基本概念、输入过程与服务时间的常用概率分布 排队论模型(二):生灭过程 、 M / M /s 等待制排队模型、多服务台模型 排队论模型(三):M / M / s/ s 损失…

详细解析排队论

文章目录 (1)基本组成1.输入过程2.服务规则3.数量指标 (2)常见的分布1.泊松分布2.负指数分布 (4)排队模型记号(5)单服务台模型0.Little公式1.标准型M/M/1/ ∞ \infin ∞/ ∞ \infin ∞2.系统容量有限型M/M/1/N/ ∞ \infin ∞3.顾客源有限型M/M/1/ ∞ \infin ∞/m (6)多服务台模…

【排队论 | 数学建模常用模型】

排队论的基本概念 问题的提出 如果增添服务设备,就要增加投资或可能发生空闲浪费;如果服务设备太少,排队现象就会严重,对顾客甚至对社会都会发生不利影响。因此,管理人员必须考虑如何在这两者之间取得平 衡&#xff…

M/M/1 排队论模型

M/M/1 排队论模型 1.M/M/1 模型简单介绍 到达时间是泊松过程(Poisson process);服务时间是指数分布(exponentially distributed);只有一部服务器(server)队列长度无限制可加入队列…

排队论模型及MATLAB实现

文章目录 1. 按2. 排队现象3. 模型介绍3.1. 排队服务过程3.2. 排队系统的要素3.3. 顾客输入过程3.4. 排队结构与排队规则3.5. 服务机构与服务规则3.6. 服务台(员)为顾客服务的顺序3.7. 到达间隔和服务时间典型分布3.8. 排队模型示例3.9. 系统运行状态参数3.10. 系统运行指标参数…

排队论 (queuing theory)推论与举例

目录 1、排队模型的表示 2、排队系统的衡量指标 3、排队系统的要素 顾客的输入过程 排队结构与排队规则 服务机构与服务规则 其中,到达间隔和服务时间(X,Y)具有的典型分布有 4、模型的系统运行状态参数: 泊松…

排队论模型

原文:排队论模型 (一)基本概念 一、排队过程的一般表示 凡是要求服务的对象称为顾客,凡是为顾客服务的称为服务员 二、排队系统的组成和特征 主要由输入过程、排队规则、服务过程三部分组成 三、排队模型的符号表示 1、X&#xff…

数模(8)——排队论模型

原创为b站视频:https://www.bilibili.com/video/av20238704 MM1排队系统: MMS模型 MMS排队模型程序(S1时即为MM1排队模型) s2;%服务台数 mu4;%单个服务台一小时内服务的顾客数 lambda3;%单位时间(一小时)…

一个QQ空间的钓鱼盗号过程揭露,大家谨防上当

1.盗号过程 很久没有用过QQ空间了,今天突然QQ弹出一条消息,说我的一个好友留言中提到了我,但是我却也打不开这个链接。 于是,我就去她的空间留言板查看。发现第一条留言,是一个二维码 扫描之后,进入到一…

邮件钓鱼实验之Gophish

一、工具下载 相关钓鱼平台工具:Gophish 下载地址:https://github.com/gophish/gophish/releases/ 二、环境搭建 下载后解压到本地,打开gophishing.exe即可运行服务 它在本地80端口开启钓鱼网站,因此如果不是内网钓鱼环境&a…