排队论模型(五): 有限源排队模型、服务率或到达率依赖状态的排队模型

article/2025/10/17 3:28:27

排队论模型(一):基本概念、输入过程与服务时间的常用概率分布

排队论模型(二):生灭过程 、 M / M /s 等待制排队模型、多服务台模型

排队论模型(三):M / M / s/ s 损失制排队模型

排队论模型(四):M / M / s 混合制排队模型

排队论模型(五): 有限源排队模型、服务率或到达率依赖状态的排队模型

排队论模型(六):非生灭过程排队模型、爱尔朗(Erlang)排队模型

排队论模型(七):排队系统的优化

排队论模型(八):Matlab 生成随机数、排队模型的计算机模拟


目录

1. 有限源排队模型

2 服务率或到达率依赖状态的排队模型


1. 有限源排队模型

现在,来分析一下顾客源为有限的排队问题。这类排队问题的主要特征是顾客总数 是有限的,如果有 m 个顾客。每个顾客来到系统中接受服务后仍回到原来的总体,还 有可能再来,这类排队问题的典型例子是机器看管问题。如一个工人同时看管 m 台机 器,当机器发生故障时即停下来等待维修,修好后再投入使用,且仍然可能再发生故障。 类似的例子还有m 个终端共用一台打印机等,如图 2 所示。

关于顾客的平均到达率,在无限源的情形中是按全体顾客来考虑的,而在有限源的 情形下,必须按每一顾客来考虑。设每个顾客的到达率都是相同的,均为λ(这里λ 的 含义是指单位时间内该顾客来到系统请求服务的次数),且每一顾客在系统外的时间均 服从参数为 λ 的负指数分布。由于在系统外的顾客的平均数为 m − Ls ,故系统的有效到达率为

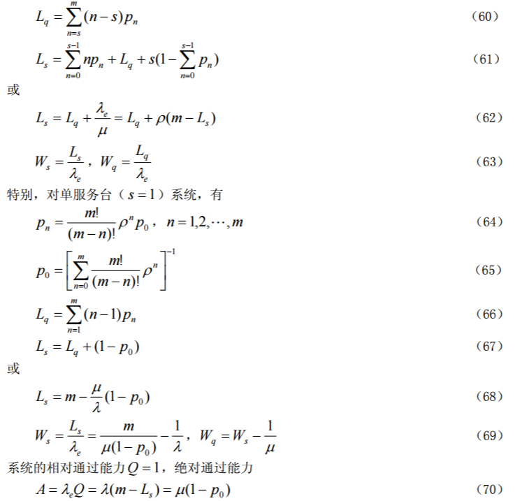
下面给出系统的有关运行指标

例 7 设有一工人看管 5 台机器,每台机器正常运转的时间服从负指数分布,平均 为 15 分钟。当发生故障后,每次修理时间服从负指数分布,平均为 12 分钟,试求该系 统的有关运行指标。

解 用有限源排队模型处理本问题。已知

即该工人每小时可修理机器的平均台数为0.083× 60 = 4.96台。 上述结果表面,机器停工时间过长,看管工人几乎没有空闲时间,应采取措施提高 服务率或增加工人。 LINGO 计算程序如下

model:
lamda=1/15;mu=1/12;rho=lamda/mu;s=1;m=5;
load=m*rho;
L_s=@pfs(load,s,m);
p_0=1-(m-L_s)*rho;
lamda_e=lamda*(m-L_s);
p_5=@exp(@lgm(6))*0.8^5*p_0;
L_q=L_s-(1-p_0);
w_s=L_s/lamda_e;w_q=L_q/lamda_e;
end

2 服务率或到达率依赖状态的排队模型

在前面的各类排队模型的分析中,均假设顾客的到达率为常数 λ ,服务台的服务 率也为常数 μ 。而在实际的排队问题中,到达率或服务率可能是随系统的状态而变化 的。例如,当系统中顾客数已经比较多时,后来的顾客可能不愿意再进入系统;服务员 的服务率当顾客较多时也可能会提高。因此,对单服务台系统,实际的到达率和服务率 (它们均依赖于系统所处的状态n )可假设为


排队论模型(一):基本概念、输入过程与服务时间的常用概率分布

排队论模型(二):生灭过程 、 M / M /s 等待制排队模型、多服务台模型

排队论模型(三):M / M / s/ s 损失制排队模型

排队论模型(四):M / M / s 混合制排队模型

排队论模型(五): 有限源排队模型、服务率或到达率依赖状态的排队模型

排队论模型(六):非生灭过程排队模型、爱尔朗(Erlang)排队模型

排队论模型(七):排队系统的优化

排队论模型(八):Matlab 生成随机数、排队模型的计算机模拟


 


http://chatgpt.dhexx.cn/article/M0ntCPys.shtml

相关文章

排队论模型(一):基本概念、输入过程与服务时间的常用概率分布

排队论模型(一):基本概念、输入过程与服务时间的常用概率分布 排队论模型(二):生灭过程 、 M / M /s 等待制排队模型、多服务台模型 排队论模型(三):M / M / s/ s 损失…

数学建模之排队论

排队是在日常生活中经常遇到的现象,如顾客到商店购买物品、病人到医院看病常 常要排队。此时要求服务的数量超过服务机构(服务台、服务员等)的容量。也就是说,到达的顾客不能立即得到服务,因而出现了排队现象。这种现象…

排队论简介

一、随机过程(Stochastic Process): 1.定义: 设随机实验的样本空间S{s},如果对于每个s,有对应属于参数集T的参数t的函数X(s,t),那么对于所有的s,得到一组t的函数{X(s,t),t∈T}&…

数学建模:排队论模型

今天来简单介绍一下关于数学建模中排队论模型的基本情况和其在MATLAB中的实现方法: 排队论(Queuing Theory) ,是研究系统随机聚散现象和随机服务系统工作过程的数学理论和方法,又称随机服务系统理论,为运筹学的一个分支。是通过对…

数学建模学习笔记(六):排队论模型

一、排队论基本概念 1、基本概念 (1)银行等 (2)车站等 (3)新生报到等(电路中的串联) (4)更多 随即服务系统:等待时间,被服务时间都不…

排队论(Queuing Theory)

目录 简介 一、基本概念 1.1 排队过程的一般表示 1.2 排队系统的组成和特征 1.2.1 输入过程 1.2.2 排队规则 1.2.3 服务过程 1.3 排队模型的符号表示 1.4 排队系统的运行指标 二、 输入过程与服务时间的分布 2.1 泊松流与指数分布 2.2 常用的几种概率分布 2.2.1 连…

排队论模型(七):排队系统的优化

排队论模型(一):基本概念、输入过程与服务时间的常用概率分布 排队论模型(二):生灭过程 、 M / M /s 等待制排队模型、多服务台模型 排队论模型(三):M / M / s/ s 损失…

详细解析排队论

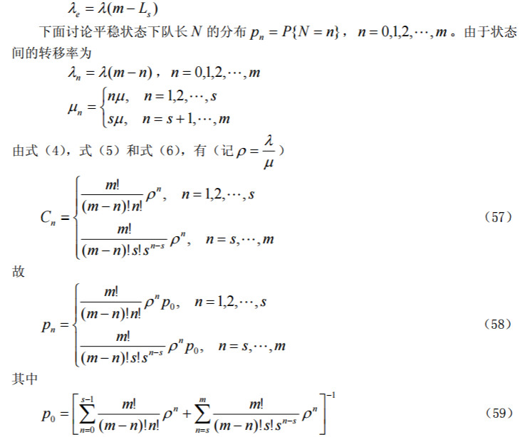
文章目录 (1)基本组成1.输入过程2.服务规则3.数量指标 (2)常见的分布1.泊松分布2.负指数分布 (4)排队模型记号(5)单服务台模型0.Little公式1.标准型M/M/1/ ∞ \infin ∞/ ∞ \infin ∞2.系统容量有限型M/M/1/N/ ∞ \infin ∞3.顾客源有限型M/M/1/ ∞ \infin ∞/m (6)多服务台模…

【排队论 | 数学建模常用模型】

排队论的基本概念 问题的提出 如果增添服务设备,就要增加投资或可能发生空闲浪费;如果服务设备太少,排队现象就会严重,对顾客甚至对社会都会发生不利影响。因此,管理人员必须考虑如何在这两者之间取得平 衡&#xff…

M/M/1 排队论模型

M/M/1 排队论模型 1.M/M/1 模型简单介绍 到达时间是泊松过程(Poisson process);服务时间是指数分布(exponentially distributed);只有一部服务器(server)队列长度无限制可加入队列…

排队论模型及MATLAB实现

文章目录 1. 按2. 排队现象3. 模型介绍3.1. 排队服务过程3.2. 排队系统的要素3.3. 顾客输入过程3.4. 排队结构与排队规则3.5. 服务机构与服务规则3.6. 服务台(员)为顾客服务的顺序3.7. 到达间隔和服务时间典型分布3.8. 排队模型示例3.9. 系统运行状态参数3.10. 系统运行指标参数…

排队论 (queuing theory)推论与举例

目录 1、排队模型的表示 2、排队系统的衡量指标 3、排队系统的要素 顾客的输入过程 排队结构与排队规则 服务机构与服务规则 其中,到达间隔和服务时间(X,Y)具有的典型分布有 4、模型的系统运行状态参数: 泊松…

排队论模型

原文:排队论模型 (一)基本概念 一、排队过程的一般表示 凡是要求服务的对象称为顾客,凡是为顾客服务的称为服务员 二、排队系统的组成和特征 主要由输入过程、排队规则、服务过程三部分组成 三、排队模型的符号表示 1、X&#xff…

数模(8)——排队论模型

原创为b站视频:https://www.bilibili.com/video/av20238704 MM1排队系统: MMS模型 MMS排队模型程序(S1时即为MM1排队模型) s2;%服务台数 mu4;%单个服务台一小时内服务的顾客数 lambda3;%单位时间(一小时)…

一个QQ空间的钓鱼盗号过程揭露,大家谨防上当

1.盗号过程 很久没有用过QQ空间了,今天突然QQ弹出一条消息,说我的一个好友留言中提到了我,但是我却也打不开这个链接。 于是,我就去她的空间留言板查看。发现第一条留言,是一个二维码 扫描之后,进入到一…

邮件钓鱼实验之Gophish

一、工具下载 相关钓鱼平台工具:Gophish 下载地址:https://github.com/gophish/gophish/releases/ 二、环境搭建 下载后解压到本地,打开gophishing.exe即可运行服务 它在本地80端口开启钓鱼网站,因此如果不是内网钓鱼环境&a…

酷狗存储XSS之QQ空间钓鱼页面分析

0x00 背景 同学遇到的一个QQ空间的盗hao的链接,说让帮忙抓包分析下: 原理: 实际上是酷狗的网页存在存储型XSS漏洞,且被用来做钓鱼攻击了。0x01 攻击流程 下面通过复现流程来看看我们的账号是怎么被盗的吧。 0.好友发过来的链…

记一次攻击钓鱼网站

无聊中的我,收到一个邮件 里面告诉我 我的qq账号存在风险 这个人居然想搞我qq 从域名就可以判断出 是钓鱼网站于是我想给他来点刺激的 第一步找到他的接口地址 用于用谷歌网络调试去抓包发现在点击登录后 他会把账号密码发送到他服务器中 第二部写一个程序 攻击他…

钓鱼盗号怎么防

花生你好: 最近你的姐姐微信号被盗了,然后群发了学校要收500块活动费的文字微信,好多亲戚朋友都收到了,爸爸也收到了,目前知道的是你姐姐的妈妈被骗了500,是否有其他亲戚上钩还没有具体的数据统计。在这里…

关于钓鱼攻击和防范这些事

本文将从攻击、检测处置和防范三个维度,分别介绍钓鱼攻击方式、钓鱼邮件安全事件运营及防范措施。 1、钓鱼攻击矩阵 1.1 钓鱼攻击概述 利用社会工程学进行攻击,是实战攻击中出现率非常高的手法之一。 使用钓鱼的方式突破边界,也是实战…