排队论模型(四):M / M / s 混合制排队模型

article/2025/10/17 3:42:20

排队论模型(一):基本概念、输入过程与服务时间的常用概率分布

排队论模型(二):生灭过程 、 M / M /s 等待制排队模型、多服务台模型

排队论模型(三):M / M / s/ s 损失制排队模型

排队论模型(四):M / M / s 混合制排队模型

排队论模型(五): 有限源排队模型、服务率或到达率依赖状态的排队模型

排队论模型(六):非生灭过程排队模型、爱尔朗(Erlang)排队模型

排队论模型(七):排队系统的优化

排队论模型(八):Matlab 生成随机数、排队模型的计算机模拟


目录

1 单服务台混合制模型

2 多服务台混合制模型


1 单服务台混合制模型

单服务台混合制模型 M / M /1/ K 是指:顾客的相继到达时间服从参数为λ 的负指数 分布,服务台个数为1,服务时间V 服从参数为 μ 的负指数分布,系统的空间为 K ,当 K 个位置已被顾客占用时,新到的顾客自动离去,当系统中有空位置时,新到的顾客进入系统排队等待。

由于排队系统的容量有限,只有 K −1个排队位置,因此,当系统空间被占满时, 再来的顾客将不能进入系统排队,也就是说不能保证所有到达的顾客都能进入系统等待服务。假设顾客的到达率(单位时间内来到系统的顾客的平均数)为 λ ,则当系统处 于状态 K 时,顾客不能进入系统,即顾客可进入系统的概率是 \large 1- p_{K} 。因此,单位时 间内实际可进入系统的顾客的平均数为:

例 5 某修理站只有一个修理工,且站内最多只能停放 4 台待修的机器。设待修机 器按 Poisson 流到达修理站,平均每分钟到达 1 台;修理时间服从负指数分布,平均每 1.25 分钟可修理 1 台,试求该系统的有关指标。

解 该系统可看成是一个 M / M /1/ 4 排队系统,其中

编写 LINGO 程序如下:

model:
sets:
state/1..4/:p;
endsets
lamda=1;mu=1/1.25;rho=lamda/mu;k=4;
lamda*p0=mu*p(1);
(lamda+mu)*p(1)=lamda*p0+mu*p(2);
@for(state(i)|i #gt#1 #and# i #lt#
k:(lamda+mu)*p(i)=lamda*p(i-1)+mu*p(i+1));
lamda*p(k-1)=mu*p(k);
p0+@sum(state:p)=1;
P_lost=p(k);lamda_e=lamda*(1-P_lost);
L_s=@sum(state(i)|i #le#k:i*p(i));
L_q=L_s-(1-p0);
W_s=L_s/lamda_e;
W_q=W_s-1/mu;
end

2 多服务台混合制模型

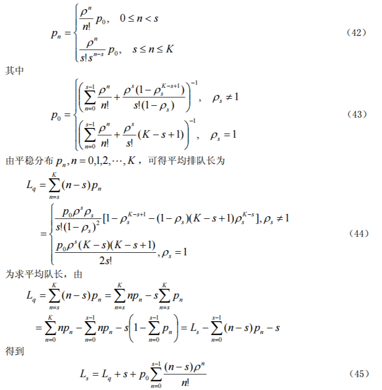
多服务台混合制模型 M / M / s/ K 是指顾客的相继到达时间服从参数为λ 的负指 数分布,服务台个数为 s ,每个服务台服务时间相互独立,且服从参数为 μ 的负指数分 布,系统的空间为 K 。

由式(4),式(5)和式(6),并注意到在本模型中

于是


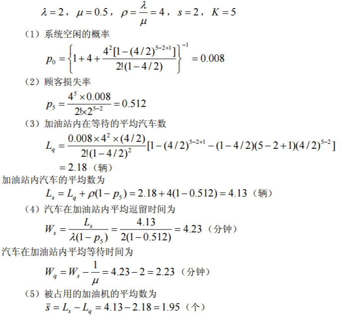
例 6 某汽车加油站设有两个加油机,汽车按 Poisson 流到达,平均每分钟到达 2 辆;汽车加油时间服从负指数分布,平均加油时间为 2 分钟。又知加油站上最多只能停 放 3 辆等待加油的汽车,汽车到达时,若已满员,则必须开到别的加油站去,试对该系 统进行分析。

解 可将该系统看作一个 M / M / 2 / 5 排队系统,其中

编写 LINGO 程序如下:

model:
sets:
state/1..5/:p;
endsets
lamda=2;mu=0.5;rho=lamda/mu;s=2;k=5;
lamda*p0=mu*p(1);
(lamda+mu)*p(1)=lamda*p0+2*mu*p(2);
@for(state(i)|i #gt#1 #and# i #lt# s:
(lamda+i*mu)*p(i)=lamda*p(i-1)+(i+1)*mu*p(i+1)); 
@for(state(i)|i #ge# s #and# i #lt# k:
(lamda+s*mu)*p(i)=lamda*p(i-1)+s*mu*p(i+1));
lamda*p(k-1)=s*mu*p(k);
p0+@sum(state:p)=1;
P_lost=p(k);lamda_e=lamda*(1-P_lost);
L_s=@sum(state(i):i*p(i));
L_q=L_s-lamda_e/mu;
W_s=L_s/lamda_e;
W_q=W_s-1/mu;
end

在对上述多服务台混合制排队模型 M / M / s/ K 的讨论中,当 s = K 时,即为多 服务台损失制系统。对损失制系统,有

式(52)称为 Erlang 损失公式, B(s, ρ) 亦表示了到达系统后由于系统空间已被占满 而不能进入系统的顾客的百分比。

对损失制系统,平均被占用的服务台数(正在接受服务的顾客的平均数)为


排队论模型(一):基本概念、输入过程与服务时间的常用概率分布

排队论模型(二):生灭过程 、 M / M /s 等待制排队模型、多服务台模型

排队论模型(三):M / M / s/ s 损失制排队模型

排队论模型(四):M / M / s 混合制排队模型

排队论模型(五): 有限源排队模型、服务率或到达率依赖状态的排队模型

排队论模型(六):非生灭过程排队模型、爱尔朗(Erlang)排队模型

排队论模型(七):排队系统的优化

排队论模型(八):Matlab 生成随机数、排队模型的计算机模拟


 


http://chatgpt.dhexx.cn/article/3pMSHUrJ.shtml

相关文章

浅谈排队论

排队论起源于 1909 年丹麦电话工程师 A. K.爱尔朗的工作,他对电话通话拥挤问 题进行了研究。1917 年,爱尔朗发表了他的著名的文章—“自动电话交换中的概率理 论的几个问题的解决”。排队论已广泛应用于解决军事、运输、维修、生产、服务、库…

超详细的排队论建模

排队系统 顾客输入过程 顾客源(总体):有限/无限顾客到达方式:逐个/逐批(主要是逐个)顾客到达间隔:随机型/确定型顾客到达:相互独立/相互关联输入过程:平稳/非平稳 排队…

排队论模型(五): 有限源排队模型、服务率或到达率依赖状态的排队模型

排队论模型(一):基本概念、输入过程与服务时间的常用概率分布 排队论模型(二):生灭过程 、 M / M /s 等待制排队模型、多服务台模型 排队论模型(三):M / M / s/ s 损失…

排队论模型(一):基本概念、输入过程与服务时间的常用概率分布

排队论模型(一):基本概念、输入过程与服务时间的常用概率分布 排队论模型(二):生灭过程 、 M / M /s 等待制排队模型、多服务台模型 排队论模型(三):M / M / s/ s 损失…

数学建模之排队论

排队是在日常生活中经常遇到的现象,如顾客到商店购买物品、病人到医院看病常 常要排队。此时要求服务的数量超过服务机构(服务台、服务员等)的容量。也就是说,到达的顾客不能立即得到服务,因而出现了排队现象。这种现象…

排队论简介

一、随机过程(Stochastic Process): 1.定义: 设随机实验的样本空间S{s},如果对于每个s,有对应属于参数集T的参数t的函数X(s,t),那么对于所有的s,得到一组t的函数{X(s,t),t∈T}&…

数学建模:排队论模型

今天来简单介绍一下关于数学建模中排队论模型的基本情况和其在MATLAB中的实现方法: 排队论(Queuing Theory) ,是研究系统随机聚散现象和随机服务系统工作过程的数学理论和方法,又称随机服务系统理论,为运筹学的一个分支。是通过对…

数学建模学习笔记(六):排队论模型

一、排队论基本概念 1、基本概念 (1)银行等 (2)车站等 (3)新生报到等(电路中的串联) (4)更多 随即服务系统:等待时间,被服务时间都不…

排队论(Queuing Theory)

目录 简介 一、基本概念 1.1 排队过程的一般表示 1.2 排队系统的组成和特征 1.2.1 输入过程 1.2.2 排队规则 1.2.3 服务过程 1.3 排队模型的符号表示 1.4 排队系统的运行指标 二、 输入过程与服务时间的分布 2.1 泊松流与指数分布 2.2 常用的几种概率分布 2.2.1 连…

排队论模型(七):排队系统的优化

排队论模型(一):基本概念、输入过程与服务时间的常用概率分布 排队论模型(二):生灭过程 、 M / M /s 等待制排队模型、多服务台模型 排队论模型(三):M / M / s/ s 损失…

详细解析排队论

文章目录 (1)基本组成1.输入过程2.服务规则3.数量指标 (2)常见的分布1.泊松分布2.负指数分布 (4)排队模型记号(5)单服务台模型0.Little公式1.标准型M/M/1/ ∞ \infin ∞/ ∞ \infin ∞2.系统容量有限型M/M/1/N/ ∞ \infin ∞3.顾客源有限型M/M/1/ ∞ \infin ∞/m (6)多服务台模…

【排队论 | 数学建模常用模型】

排队论的基本概念 问题的提出 如果增添服务设备,就要增加投资或可能发生空闲浪费;如果服务设备太少,排队现象就会严重,对顾客甚至对社会都会发生不利影响。因此,管理人员必须考虑如何在这两者之间取得平 衡&#xff…

M/M/1 排队论模型

M/M/1 排队论模型 1.M/M/1 模型简单介绍 到达时间是泊松过程(Poisson process);服务时间是指数分布(exponentially distributed);只有一部服务器(server)队列长度无限制可加入队列…

排队论模型及MATLAB实现

文章目录 1. 按2. 排队现象3. 模型介绍3.1. 排队服务过程3.2. 排队系统的要素3.3. 顾客输入过程3.4. 排队结构与排队规则3.5. 服务机构与服务规则3.6. 服务台(员)为顾客服务的顺序3.7. 到达间隔和服务时间典型分布3.8. 排队模型示例3.9. 系统运行状态参数3.10. 系统运行指标参数…

排队论 (queuing theory)推论与举例

目录 1、排队模型的表示 2、排队系统的衡量指标 3、排队系统的要素 顾客的输入过程 排队结构与排队规则 服务机构与服务规则 其中,到达间隔和服务时间(X,Y)具有的典型分布有 4、模型的系统运行状态参数: 泊松…

排队论模型

原文:排队论模型 (一)基本概念 一、排队过程的一般表示 凡是要求服务的对象称为顾客,凡是为顾客服务的称为服务员 二、排队系统的组成和特征 主要由输入过程、排队规则、服务过程三部分组成 三、排队模型的符号表示 1、X&#xff…

数模(8)——排队论模型

原创为b站视频:https://www.bilibili.com/video/av20238704 MM1排队系统: MMS模型 MMS排队模型程序(S1时即为MM1排队模型) s2;%服务台数 mu4;%单个服务台一小时内服务的顾客数 lambda3;%单位时间(一小时)…

一个QQ空间的钓鱼盗号过程揭露,大家谨防上当

1.盗号过程 很久没有用过QQ空间了,今天突然QQ弹出一条消息,说我的一个好友留言中提到了我,但是我却也打不开这个链接。 于是,我就去她的空间留言板查看。发现第一条留言,是一个二维码 扫描之后,进入到一…

邮件钓鱼实验之Gophish

一、工具下载 相关钓鱼平台工具:Gophish 下载地址:https://github.com/gophish/gophish/releases/ 二、环境搭建 下载后解压到本地,打开gophishing.exe即可运行服务 它在本地80端口开启钓鱼网站,因此如果不是内网钓鱼环境&a…

酷狗存储XSS之QQ空间钓鱼页面分析

0x00 背景 同学遇到的一个QQ空间的盗hao的链接,说让帮忙抓包分析下: 原理: 实际上是酷狗的网页存在存储型XSS漏洞,且被用来做钓鱼攻击了。0x01 攻击流程 下面通过复现流程来看看我们的账号是怎么被盗的吧。 0.好友发过来的链…