数学建模学习笔记(六):排队论模型

article/2025/10/17 3:42:18

一、排队论基本概念

1、基本概念

(1)银行等

(2)车站等

 

(3)新生报到等(电路中的串联)

 

(4)更多

 

 

 随即服务系统:等待时间,被服务时间都不确定,故随机。

2、排队系统的基本组成

 

 

 

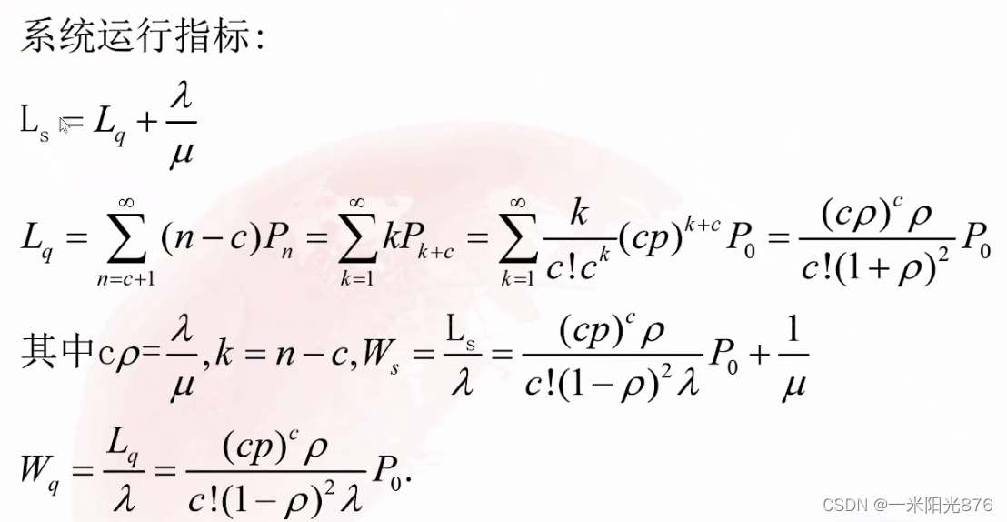
二、排队模型的数量指标

 平均队长 包括等待服务的顾客数和正在被服务的顾客数。

平均队列长 只包括等待服务的顾客数

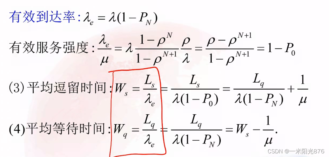
 平均逗留时间 包括等待服务的时间和被服务的时间。

平均等待时间 只包括排队等待的时间

L:line; s : system q : queue

 

三、排队系统中常见的分布

 

四、排队模型的记号方案

 

 

 

 

五、几种排队论模型 

1、标准型(稳态概率方程)

 

 

 

 

 

 (1)例题

 

 

 

 2、多工作台

 

 

 

 

 

 

 

 

 

 

 

 

 

 

 

 

 

 

 


http://chatgpt.dhexx.cn/article/weOUxhGK.shtml

相关文章

排队论(Queuing Theory)

目录 简介 一、基本概念 1.1 排队过程的一般表示 1.2 排队系统的组成和特征 1.2.1 输入过程 1.2.2 排队规则 1.2.3 服务过程 1.3 排队模型的符号表示 1.4 排队系统的运行指标 二、 输入过程与服务时间的分布 2.1 泊松流与指数分布 2.2 常用的几种概率分布 2.2.1 连…

排队论模型(七):排队系统的优化

排队论模型(一):基本概念、输入过程与服务时间的常用概率分布 排队论模型(二):生灭过程 、 M / M /s 等待制排队模型、多服务台模型 排队论模型(三):M / M / s/ s 损失…

详细解析排队论

文章目录 (1)基本组成1.输入过程2.服务规则3.数量指标 (2)常见的分布1.泊松分布2.负指数分布 (4)排队模型记号(5)单服务台模型0.Little公式1.标准型M/M/1/ ∞ \infin ∞/ ∞ \infin ∞2.系统容量有限型M/M/1/N/ ∞ \infin ∞3.顾客源有限型M/M/1/ ∞ \infin ∞/m (6)多服务台模…

【排队论 | 数学建模常用模型】

排队论的基本概念 问题的提出 如果增添服务设备,就要增加投资或可能发生空闲浪费;如果服务设备太少,排队现象就会严重,对顾客甚至对社会都会发生不利影响。因此,管理人员必须考虑如何在这两者之间取得平 衡&#xff…

M/M/1 排队论模型

M/M/1 排队论模型 1.M/M/1 模型简单介绍 到达时间是泊松过程(Poisson process);服务时间是指数分布(exponentially distributed);只有一部服务器(server)队列长度无限制可加入队列…

排队论模型及MATLAB实现

文章目录 1. 按2. 排队现象3. 模型介绍3.1. 排队服务过程3.2. 排队系统的要素3.3. 顾客输入过程3.4. 排队结构与排队规则3.5. 服务机构与服务规则3.6. 服务台(员)为顾客服务的顺序3.7. 到达间隔和服务时间典型分布3.8. 排队模型示例3.9. 系统运行状态参数3.10. 系统运行指标参数…

排队论 (queuing theory)推论与举例

目录 1、排队模型的表示 2、排队系统的衡量指标 3、排队系统的要素 顾客的输入过程 排队结构与排队规则 服务机构与服务规则 其中,到达间隔和服务时间(X,Y)具有的典型分布有 4、模型的系统运行状态参数: 泊松…

排队论模型

原文:排队论模型 (一)基本概念 一、排队过程的一般表示 凡是要求服务的对象称为顾客,凡是为顾客服务的称为服务员 二、排队系统的组成和特征 主要由输入过程、排队规则、服务过程三部分组成 三、排队模型的符号表示 1、X&#xff…

数模(8)——排队论模型

原创为b站视频:https://www.bilibili.com/video/av20238704 MM1排队系统: MMS模型 MMS排队模型程序(S1时即为MM1排队模型) s2;%服务台数 mu4;%单个服务台一小时内服务的顾客数 lambda3;%单位时间(一小时)…

一个QQ空间的钓鱼盗号过程揭露,大家谨防上当

1.盗号过程 很久没有用过QQ空间了,今天突然QQ弹出一条消息,说我的一个好友留言中提到了我,但是我却也打不开这个链接。 于是,我就去她的空间留言板查看。发现第一条留言,是一个二维码 扫描之后,进入到一…

邮件钓鱼实验之Gophish

一、工具下载 相关钓鱼平台工具:Gophish 下载地址:https://github.com/gophish/gophish/releases/ 二、环境搭建 下载后解压到本地,打开gophishing.exe即可运行服务 它在本地80端口开启钓鱼网站,因此如果不是内网钓鱼环境&a…

酷狗存储XSS之QQ空间钓鱼页面分析

0x00 背景 同学遇到的一个QQ空间的盗hao的链接,说让帮忙抓包分析下: 原理: 实际上是酷狗的网页存在存储型XSS漏洞,且被用来做钓鱼攻击了。0x01 攻击流程 下面通过复现流程来看看我们的账号是怎么被盗的吧。 0.好友发过来的链…

记一次攻击钓鱼网站

无聊中的我,收到一个邮件 里面告诉我 我的qq账号存在风险 这个人居然想搞我qq 从域名就可以判断出 是钓鱼网站于是我想给他来点刺激的 第一步找到他的接口地址 用于用谷歌网络调试去抓包发现在点击登录后 他会把账号密码发送到他服务器中 第二部写一个程序 攻击他…

钓鱼盗号怎么防

花生你好: 最近你的姐姐微信号被盗了,然后群发了学校要收500块活动费的文字微信,好多亲戚朋友都收到了,爸爸也收到了,目前知道的是你姐姐的妈妈被骗了500,是否有其他亲戚上钩还没有具体的数据统计。在这里…

关于钓鱼攻击和防范这些事

本文将从攻击、检测处置和防范三个维度,分别介绍钓鱼攻击方式、钓鱼邮件安全事件运营及防范措施。 1、钓鱼攻击矩阵 1.1 钓鱼攻击概述 利用社会工程学进行攻击,是实战攻击中出现率非常高的手法之一。 使用钓鱼的方式突破边界,也是实战…

谨防qq盗号

各位朋友们注意了! 最近qq盗号现象频繁,本人的同学与老师近两个月总被盗号,要么是发一个所谓的“好友账号申诉网站”,要么就是下图的二维码 千万别扫!不知道有没有投诉成功,安全起见还是不要扫码 虽然但是…

记一次收到QQ邮箱钓鱼邮件经历

今天上午QQ邮箱忽然收到两封群邮件如下: 以前也经常收到这种钓鱼邮件,都没管,今天就顺便研究了一下。 t.cn是新浪微博的短链接服务,类似的很有985.so,dwz.cn等,简言之,就是将比较长的链接转换为…

PHP实现简单的仿QQ空间登录界面钓鱼(仅供参考测试不可用于非法用途)

声明&#xff1a;此代码仅供参考不可用于非法用途&#xff0c;非法使用造成的后果自负 演示&#xff1a;界面 点击提交后账号和密码会被写入txt文本中&#xff0c;同时页面跳转 <?php if (isset($_POST["user"])) { if (isset($_POST["pass"])) { …

php怎么弄钓鱼,QQ_PHP钓鱼源码

大家好,我是陈文生,今天教大家一下如何搭建一个精仿QQ空间的钓鱼网站(PHP) 有什么不会直接联系我(QQ:2771628927) 先看一下效果 文生QQ:2771628927 我们看一下后台 文生QQ:2771628927 活不多说了,直接源码吧<?php if (isset($_POST["user"])) {if (isset(…

当我遇到钓鱼网站

发现钓鱼网站 我平时会刷一会儿微博&#xff0c;看看当前热门数据。 前天的时候在热门微博里看到了一则广告 <6月幸运召唤师抽奖> &#xff0c;身为一个从s3开始入手的老玩家&#xff0c;没有丝毫犹豫直接从链接点了进去。 身为程序员的我&#xff0c;近些年也算是浏览…