SVPWM算法原理及详解

article/2025/10/18 20:58:21

SVPWM算法原理及详解

1.概述

        SVPWM是近年发展的一种比较新颖的控制方法,是由三相功率逆变器的六个功率开关元件组成的特定开关模式产生的脉宽调制波,能够使输出电流波形尽可能接近于理想的正弦波形。空间电压矢量PWM与传统的正弦PWM不同,它是从三相输出电压的整体效果出发,着眼于如何使电机获得理想圆形磁链轨迹。SVPWM技术与SPWM相比较,绕组电流波形的谐波成分小,使得电机转矩脉动降低,旋转磁场更逼近圆形,而且使直流母线电压的利用率有了很大提高,且更易于实现数字化。

        通俗化理解:把PMSM想象成两块同心的磁铁,两块磁铁是相吸的,因此当用手拨动外面的磁铁绕组圆心转动时,里面的磁铁也会跟着转动,这其实就是PMSM的本质了。PMSM的转子是永磁铁,定子是绕组,我们用电路控制定子绕组产生旋转的磁场,里面的转子磁铁就会跟着转动,这个磁场的大小最好恒定,不然一会儿大一会儿小,转子受到的牵引力也就一会儿大一会儿小,影响运动性能。好了,现在我们知道电机的本质是什么了。接下来,我们需要一个算法来控制定子绕组的输出,使其产生一个恒定的旋转磁场,这个算法就是SVPWM。

2.SVPWM基本原理

        要得到一个恒定大小的旋转磁场,可以先来得到一个恒定大小的旋转电压矢量。如下图:

        从上图可知,我们可以通过互差120度,大小随着时间按正弦规律变化的3个分矢量来合成一个大小不变旋转的总矢量。于是问题又变成了:如何得到大小随着时间按正弦规律变化的3个分矢量呢?我们先回到电机上,其实这3个分矢量就对应了电机的3个绕组,3个绕组就是互差120度的,只要再控制绕组上的电压大小按照正弦规律变化,是不是就可以得到大小不变旋转的总矢量呢?看下面电机定子的坐标系图:

        如果让绕组上的电压大小按照正弦规律变化呢?直接通交流电,就是正弦的呀,可不可以呢?驱动器的控制电路如下:

        我们只能控制6个管子的开关而已,看来直接通交流电是不行了。于是我们只能控制PWM的占空比来等效正弦:

        上面的图是SPWM的,只需要懂意思就行了。其实就是占空比越大,电压越大;占空比越小,电压越小。让占空比呈正弦变化,电压值自然也就呈正弦变化了。

        我们用公式来表示一下:定义这三个电压空间矢量为UA(t)、UB(t)、UC(t),他们方向始终在各自的轴线上,而大小随时间按正弦规律变化,时间相位上互差120度。假设Um为相电压的有效值(相电压呈正弦变化),f为电源频率,则有:

        可见U(t)是一个旋转的空间矢量,它的幅值不变,为相电压峰值的1.5倍(从上面的动态gif也可以看出来,总矢量的幅值是分矢量最大值的1.5倍),且以角频率ω= 2πf按逆时针方向匀速旋转的空间矢量。而SVPWM算法的目的就是使用三相桥的开关状态把在空间中旋转的U(t)矢量表示出来。

        我们看到上面的式子多出来一个参数K,它值是个常数,根据不同的需求选择不同的变换,K可以取不同的值。不同的需求如:要求功率不变、要求电压电流幅值不变等。我们这里为了使合成的空间矢量在静止的三相坐标轴上的投影和分矢量相等,取K值为2/3,这也是Park变换所采用的系数,于是上式变为了:

        由于逆变器三相桥臂共有6个开关管,为了研究各相上下桥臂不同开关组合时逆变器输出的空间电压矢量,特定义开关函数Sx(x=abc) 为:

        (Sa、Sb、Sc)的全部可能组合共有八个,包括 6个非零矢量Ul(001)、U2(010)、U3(011)、U4(100)、U5(101)、U6(110)、和两个零矢量 U0(000)、U7(111),下面以其中一种开关组合为例分析,假设Sx(x=a、b、c)=(100),此时等效电路如图:

因此相电压可以表示为:(相电压是每相相对于电机中间连接点的电压)

同理可得,其他开关状态三相的相电压。另外线电压是两相之间的电压差,如Uab=Ua-Ub。

如前面所说,三相相电压矢量与合成矢量的关系如下:

当开关Sa=1时,UA(t)=Udc(A相相线通过上桥臂直通母线Udc);当开关Sb=1时,UB(t)=Udc;当开关Sc=1时,UC(t)=Udc。

当开关Sa=0时,UA(t)=0(A相相线通过下桥臂直通GND);当开关Sb=0时,UB(t)=0;当开关Sc=0时,UC(t)=0。

这样,合成矢量的关系式就变成了桥臂的开关函数,因此上式可以写成:

可以看到Uout的模值不变,改变的只是相位。

开关状态与线电压、相电压、Uout列在一起:

把上面的8个电压空间矢量按照Uout的相位关系放在扇区图中:

上图中,6个非零矢量幅值相同,相邻的矢量间隔60度。两个零矢量幅值为零,位于中心。

 

    三相电压给定所合成的电压向量旋转角速度为ω=2πf(即磁场旋转角速度),则旋转一周所需的时间为T=1/ f;若开关管载波频率是 fs ,则频率比为 R=fs / f。这样将电压旋转平面等切割成R个小增量,亦即设定电压向量每次增量的角度是:γ=2π/ R。(注:这里就是把电压向量旋转一周,均分为R份,用来R边形来拟合圆形,同时这也代表了磁场旋转一圈,进行R次运算。因此载波频率越大,转速越小,电压旋转平面越接近圆形,反之,越接近多边形。当然载波频率太高的话,管子的开关损耗就比较大,一般取5K-10K)

    现在假设需要输出一个空间矢量Uref,假设它在第I扇区,我们先把第I扇区单独取出来,然后用和它相邻的两个电压空间矢量来表示它:

    得到以 U4、U6、U7 及 U0 合成的 Uref 的时间后,接下来就是如何产生实际的脉宽调制波形。在 SVPWM 调制方案中,零矢量的选择是最具灵活性的,适当选择零矢量,可最大限度地减少开关次数,尽可能避免在负载电流较大的时刻的开关动作,最大限度地减少开关损耗。因此,我们以减少开关次数为目标,将基本矢量作用顺序的分配原则选定为:在每次开关状态转换时,只改变其中一相的开关状态。并且对零矢量在时间上进行了平均分配,以使产生的 PWM 对称,从而有效地降低 PWM 的谐波分量。可以发现当 U4(100)切换至 U0(000)时,只需改变 A 相上下一对切换开关,若由 U4(100)切换至 U7(111)则需改变 B、C 相上下两对切换开关,增加了一倍的切换损失。因此要改变电压向量 U4(100)、U2(010)、U1(001)的大小,需配合零电压向量 U0(000),而要改变 U6(110)、U3(011)、U5(100), 需配合零电压向量 U7(111)。这样通过在不同区间内安排不同的开关切换顺序, 就可以获得对称的输出波形,其它各扇区的开关切换顺序如表 2-2 所示。

    因此就可以利用 U4、U6、U7 及 U0 的顺序和时间长短的搭配来表示出Uref了。

    以第Ⅰ扇区为例,其所产生的三相波调制波形在一个载波周期时间Ts内如图 2-11 所示,图中电压向量出现的先后顺序为 U0、U4、U6、U7、U6、U4、U0,各电压向量的三相波形则与表 2-2 中的开关表示符号相对应。再下一个 载波周期Ts ,Uref 的角度增加一个γ,利用式(2-33)可以重新计算新的 T0、T4、T6 及 T7 值,得到新的类似图 2-11 的合成三相波形;这样每一个载波周期 TS 就会合成一个新的矢量,随着 θ 的逐渐增大,Uref 将依序进入第Ⅰ、Ⅱ、Ⅲ、Ⅳ、Ⅴ、Ⅵ区。在电压向量旋转一周期后,就会产生 R 个合成矢量。

    因此SVPWM会在每个载波周期进行一次计算。

    通过以上 SVPWM 的法则推导分析可知要实现 SVPWM 信号的实时调制, 首先需要知道参考电压矢量 Uref 所在的区间位置,然后利用所在扇区的相邻两电压矢量和适当的零矢量来合成参考电压矢量。
    控制系统需要输出的矢量电压信号 Uref,它以某一角频率 ω 在空间逆时针旋转,当旋转到矢量图的某个 60°扇区中时,系统计算该区间所需的基本电压空间矢量,并以此矢量所对应的状态去驱动功率开关元件动作。当控制矢量在空间旋转 360°后,逆变器就能输出一个周期的正弦波电压。

 

说完了SVPWM算法,我们再来对接FOC算法,框图如下:

        上图中的第7部分就是SVPWM,其作为FOC最终的执行部分,接收FOC传来的Uα 和Uβ,然后通过上面的过程转换成开关管的控制信号,控制定子绕组产生旋转磁场。
1.合成矢量Uref 所处扇区N 的判断 

    空间矢量调制的第一步是判断由Uα 和Uβ所决定的空间电压矢量所处的扇区。
    假定合成的电压矢量落在第 I 扇区,可知其等价条件如下: 0<arctan(Uβ/ Uα) <60

    落在第 I 扇区的充分必要条件为:Uα  > 0 ,Uβ  > 0 且/Uα  <√3。

    同理可得到合成的电压矢量落在其它扇区的等价条件,得出:

    Uref落在第Ⅱ扇区的充要条件为:Uβ>0 且/ Ua>√3;

    Uref落在第Ⅲ扇区的充要条件为:Ua<0 ,> 0 且-/Ua  <√3;

    Uref落在第Ⅳ扇区的充要条件为:Ua<0 ,Uβ  < 0 且/Ua  <√3;

    Uref落在第Ⅴ扇区的充要条件为:<0 且 -Uβ/Ua>√3;

    Uref落在第Ⅵ扇区的充要条件为:Ua>0 ,<0且-/Ua  <√3;

    若进一步分析以上的条件,可看出参考电压矢量 Uref 所在的扇区完全由Uβ、√3Ua-Uβ、-√3Ua-Uβ三式决定,因此令:

    再定义,若U1 > 0 ,则 A=1,否则 A=0; 

                  若U2 > 0 ,则B=1,否则 B=0;

                  若U3 > 0 ,则 C=1,否则 C=0。

    可以看出 A,B,C 之间共有八种组合,但由判断扇区的公式可知 A,B,C 不会同时为 1 或同时为 0,所以实际的组合是六种,A,B,C 组合取不同的值对应着不同的扇区,并且是一一对应的,因此完全可以由 A,B,C 的组合判断所在的扇区。为区别六种状态,令 N=4*C+2*B+A,则可以通过下表计算参考电压矢量Uref所在的扇区。

 

    采用上述方法,只需经过简单的加减及逻辑运算即可确定所在的扇区,对于提高系统的响应速度和进行仿真都是很有意义的。如:已知Uref的Uβ>0,√3Ua-Uβ>0,-√3Ua-Uβ<0,即:A=1,B=1,C=0,N=3,所以扇区号为I。

2.基本矢量作用时间计算与三相 PWM 波形的合成 

    在传统 SVPWM 算法如式(2-34)中用到了空间角度及三角函数,使得直接计算基本电压矢量作用时间变得十分困难。实际上,只要充分利用 Uα 和 Uβ 就可以使计算大为简化。


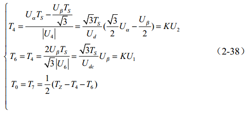
以 Uref 处在第Ⅰ扇区时进行分析,根据图 2-10 有:

Ud就是Udc,即母线电压。下式的最后把I扇区两边的电压矢量U4(100)和U6(110)的Uout式子带进来了,分别是2/3Udc和2/3Udc*cos(π/3):
 

        同理可求得Uref在其它扇区中各矢量的作用时间,结果如表2-4所示。表中两个非零矢量作用时间的比例系数为K =√3Ts/Udc 

 

        到这里,FOC与SVPWM的对接就变成了,先根据N=4*C+2*B+A判断合成矢量所在扇区,然后查表2-4得出两非零矢量的作用时间,最后得出三相开关管PWM波的占空比,查表让算法更高效。

 

C语言代码的分析在这儿:https://blog.csdn.net/qlexcel/article/details/95227991

 

    由公式(2-38)可知,

当两个零电压矢量作用时间为0时,一个PWM周期内非零电压矢量的作用时间最长,此时的合成空间电压矢量幅值最大,由下图2-12可知其幅值最大不会超过图中所示的正六边形边界。而当合成矢量落在该边界之外时,将发生过调制,逆变器输出电压波形将发生失真。在SVPWM调制模式下,逆变器能够输出的最大不失真圆形旋转电压矢量为图2-12所示虚线正六边形的内切圆,其幅值为: (√3/ 2)x(2Udc/ 3) =√3Udc/3 。即逆变器输出的不失真最大正弦相电压幅值为√3Udc /3 ,而若采用三相SPWM调制,逆变器能输出的不失真 最大正弦相电压幅值为Udc/2。显然SVPWM 调制模式下对直流侧电压利用率更高,它们的直流利用率之比为(√3Udc/ 3) /(Udc/ 2) =1.1547 ,即SVPWM算法比SPWM算法的直流电压利用率提高了15.47%。

 

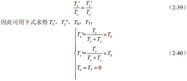
         如图当合成电压矢量端点落在正六边形与外接圆之间时,已发生过调制,输出电压将发生失真,必须采取过调制处理,这里采用一种比例缩小算法。定义每个扇区中先发生的矢量用为Tx,后发生的矢量为 Ty。当 Tx+TyTS时,矢量端点在正六边形之内,不发生过调制;当Tx+Ty>TS时,矢量端点超出正六边形,发生过调制。输出的波形会出现严重的失真,需采取以下措施:

    设将电压矢量端点轨迹端点拉回至正六边形内切圆内时两非零矢量作用时间分别为 Tx',Ty',则有比例关系:

使用上面的简单比例关系,把两个非零矢量作用时间矫正好。

taon、tbon、tcon的波形呈马鞍形,如下:

 


http://chatgpt.dhexx.cn/article/24KmWtxs.shtml

相关文章

FOC电机控制之SVPWM原理与实现

提示&#xff1a;文章写完后&#xff0c;目录可以自动生成&#xff0c;如何生成可参考右边的帮助文档 文章目录 前言一、SVPWM原理二、SVPWM实现方法1. 基本矢量电压&#xff1a;2.扇区判断&#xff1a;3. 计算相邻两个基本矢量电压的作用时间4 .三路PWM占空比计算 算法流程ste…

SVPWM分析、各个扇区详细计算以及Matlab仿真

SVPWM分析以及各个扇区详细计算以及Matlab仿真 说明目的两电平逆变器拓扑空间矢量扇区判断扇区内如何发波&#xff1f;矢量作用时间计算矢量切换时间的计算Simulink仿真/基于Matlab-R2014a版本 说明 第一次发文章&#xff0c;不太会用Markdown&#xff0c;word编辑的公式复制过…

概率统计Python计算:解古典概型问题

假定以 S S S为样本空间的随机试验是一个等概模型&#xff0c;事件 A ⊆ S A\subseteq S A⊆S。若能算得 ∣ S ∣ n |S|n ∣S∣n&#xff0c; ∣ A ∣ m |A|m ∣A∣m&#xff0c;我们知道 P ( A ) m / n P(A)m/n P(A)m/n。我们把这样的计算方法定义成下列的Python函数。 fr…

古典概型

【例1】一部四册的文集按任意次序放到书架上去&#xff0c;问各册自右向左或自左向右恰成 1&#xff0c;2&#xff0c;3&#xff0c;4 的顺序&#xff08;用 表示&#xff09;的概率是多少&#xff1f; 解 此随机试验的结果是四本书在书架上的一种放法&#xff0c;而每一…

概率论3——古典概型与二项分布

排列组合 排列组合高中应该就学过&#xff0c;包括两个原理&#xff08;加法和乘法原理&#xff09;&#xff0c;以及排列和组合 两个原理 加法原理 比如完成某件事有3类途径&#xff0c;在1类中有4种方法&#xff0c;第2类中有2种方法&#xff0c;第3类中有3种方法&#xf…

概率论基础(1)古典和几何概型及事件运算

概率论对于学习 NLP 方向的人&#xff0c;重要性不言而喻。于是我打算从概率论基础篇开始复习&#xff0c;也顺便巩固巩固基础。 1.事件及运算 1.1 文森图及运算 1.2常用运算律 1.3相关练习 理解&#xff1a;要么A要么B要么C发生&#xff0c;所以是A ∪ B ∪ C&#xff…

概率论--古典概型和几何概型

-------------------------------------------几何概型------------------------------------------------------------------ 向某一可度量的区域内任掷一点.如果所掷的点落在中任意子区域内的可能性大小与&#xff21;的度量&#xff08;长度&#xff0c;面积和体积等&…

古典概型和几何概型

古典概型&#xff08;等可能概型&#xff09; 1.1定义&#xff08;随机试验模型&#xff09; ①只有有限个可能 ②每个结果发生的可能性大小相同。 由 1P(S)得 设事件A包含样本空间S中k个基本事件&#xff0c;那么事件A发生的概率为 1.2计算古典概型的方法——排列跟组合 …

古典概型-分房模型

古典概型问题一般从排列组合、乘法原理的角度思考&#xff1b; 回想概率的基本公式&#xff1a;p(A)A事件发生的次数/总的实验次数 &#xff08;1&#xff09;k个盒子已经指定了&#xff0c;每次拿一个球放入其中一个盒子 第一问可以理解为&#xff1a;指定的k个盒子中各有一球…

【概率论与数理统计】猴博士 笔记 p1-p2 古典概型、几何概型

视频 古典概型 常见的古典概型题目分为&#xff1a; 有放回无放回 有放回 对于有放回的题目&#xff0c;一般可以这样做&#xff1a; 举个例子&#xff0c;如题&#xff1a; 则它们的答案是&#xff1a; 1. C 4 4 ∗ &#xff08; 2 5 &#xff09; 4 C_{4}^{4} *&…

概率论 事件关系 古典概型与几何概型

基本知识点 随机试验:1.不确定性2.可预知性3.可重复性基本事件:包含一个样本点 必然事件:全集 不可能事件:空集 子集2^n-1-1(减去空集与真集) 事件间的关系 1.包含关系 2.和运算AUBAB,A与B至少有一个发生 3.积事件A∩BAB,AB同时发生 4.差事件A-BAB ̅A-AB,A发生但B不发生 5.…

概率论 1.3 古典概型与几何概型

1.3.1 排列与组合 排列 从n个不同元素任取r(r<n)个元素排成一列(考虑元素出现的先后次序)&#xff0c;称此为一个排列&#xff0c;此种排列的总数为n(n-1)....(n-r1)n!/(n-r)&#xff01;&#xff0c;若rn,则称为全排列&#xff0c; 2.重复排列 从n个不同元素中每次取出一个…

概率论基础 —— 1. 基本事件类型、运算规则,及古典概型与几何型概型

概率论与数理统计的相关知识&#xff0c;是机器学习及深度学习最常应用到的基本知识。因为对于机器学习和深度学习来说&#xff0c;最常见的一个应用场景就是训练一堆样本集后&#xff0c;给定一个测试样本&#xff0c;它可能同时具备类A和类B的特征&#xff0c;那么就需要通过…

概率论---古典概型

1、称具有下列两个特征的随机试验模型为古典概型&#xff1a; (1)随机试验具有有限个可能的结果&#xff1b;&#xff08;2)每一个结果发生的可能性大小相同. 2、在古典概型的假设下&#xff0c;设事件A包含样本空间S中的k个基本事件为,即(基本事件只含一个样本点),则 , 即古…

5. 等可能概型(古典概型)

文章目录 等可能概型(古典概型) 等可能概型(古典概型) 定义&#xff1a;若实验满足&#xff1a; 样本空间 S 种样本点有限&#xff08;有限性&#xff09;出现每一个样本点的概率相等&#xff08;等可能性&#xff09; 称这种试验为等可能概型&#xff08;或古典概型&#x…

古典概型、条件概率

文章目录 1 概率1.1 定义1.2 性质 2 古典概型2.1 定义2.2 计算公式 3 条件概率3.1 定义3.2 性质3.3 乘法定理 1 概率 1.1 定义 定义 (概率的公理化定义)&#xff1a;设 E E E 是随机试验&#xff0c;其样本空间 S S S &#xff0c;对于 E E E 的每一事件 A A A 赋于一个实…

概率笔记2——古典概型

上一章中通过几个示例对概率进行了初步介绍&#xff0c;从本章开始&#xff0c;将系统地介绍概率的相关知识。 基本概念 概率研究的是随机现象背后的客观规律——我们对随机没有兴趣&#xff0c;感兴趣的是通过大量随机试验总结出的数学模型。 随机试验 顾名思义&#xff0c;这…

概率统计·概率论的基本概念【古典概型、几何概型】

注意划线部分的这种表示方式 古典概型&#xff08;等可能概型&#xff09; 乘法原理 基本模型 箱中摸球 分组分配&#xff08;分球入箱&#xff09; 先给特殊元素分配 # —— 事件个数 以上题的思路如下&#xff1a; 例题 抽签模型 因为不知道前面人的结果&#xff0c;所以…

古典概型例题

【例1】一部四册的文集按任意次序放到书架上去&#xff0c;问各册自右向左或自左向右恰成 1&#xff0c;2&#xff0c;3&#xff0c;4 的顺序&#xff08;用 表示&#xff09;的概率是多少&#xff1f; 解 此随机试验的结果是四本书在书架上的一种放法&#xff0c;而每一…