古典概型和几何概型

article/2025/10/18 23:36:05

古典概型(等可能概型)

1.1定义(随机试验模型)
①只有有限个可能
在这里插入图片描述
②每个结果发生的可能性大小相同。
在这里插入图片描述
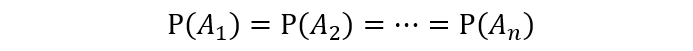
由 1=P(S)得
在这里插入图片描述
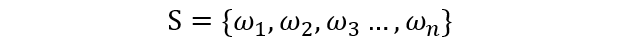
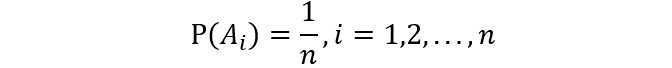
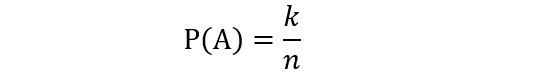
设事件A包含样本空间S中k个基本事件,那么事件A发生的概率为
在这里插入图片描述
1.2计算古典概型的方法——排列跟组合
1.2.1.基本计数的原理
①加法原理
有m种方式可以达到目的,第 i 种方式有n_i种方法
那么完成该件事的方法总数为:n_1+n_2+…+n_m
举例:
设从A城市到B城市有m条路径可以到达,每条路径有n_i班次的车,
那么要从A城市到达B城市共有n_1+n_2+…+n_m种方式
在这里插入图片描述
②乘法原理
经过m个步骤才能达到目的,第 i 步有n_i种方法
那么完成这件事的方法总数为:n_1×n_2×…×n_m
举例:
一个男人有三顶帽子和两件背心
则他可以有3×2种打扮

在这里插入图片描述
1.2.2排列组合方法
①排列公式
从n个中任取k个的不同排列总数
在这里插入图片描述
当k=n时,称为全排列
****
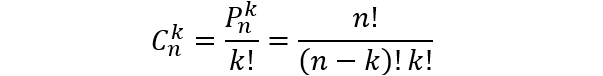
②组合公式
从n个中任取k个的不同组合总数
在这里插入图片描述

几何概型

研究样本空间为:线段、平面区域、空间立体等
在这里插入图片描述
在这里插入图片描述
μ(A)表示A的面积,μ(S)表示S的面积
类似于时刻一样的问题可用几何概型解决。


http://chatgpt.dhexx.cn/article/Aiw93LvY.shtml

相关文章

古典概型-分房模型

古典概型问题一般从排列组合、乘法原理的角度思考; 回想概率的基本公式:p(A)A事件发生的次数/总的实验次数 (1)k个盒子已经指定了,每次拿一个球放入其中一个盒子 第一问可以理解为:指定的k个盒子中各有一球…

【概率论与数理统计】猴博士 笔记 p1-p2 古典概型、几何概型

视频 古典概型 常见的古典概型题目分为: 有放回无放回 有放回 对于有放回的题目,一般可以这样做: 举个例子,如题: 则它们的答案是: 1. C 4 4 ∗ ( 2 5 ) 4 C_{4}^{4} *&…

概率论 事件关系 古典概型与几何概型

基本知识点 随机试验:1.不确定性2.可预知性3.可重复性基本事件:包含一个样本点 必然事件:全集 不可能事件:空集 子集2^n-1-1(减去空集与真集) 事件间的关系 1.包含关系 2.和运算AUBAB,A与B至少有一个发生 3.积事件A∩BAB,AB同时发生 4.差事件A-BAB ̅A-AB,A发生但B不发生 5.…

概率论 1.3 古典概型与几何概型

1.3.1 排列与组合 排列 从n个不同元素任取r(r<n)个元素排成一列(考虑元素出现的先后次序)&#xff0c;称此为一个排列&#xff0c;此种排列的总数为n(n-1)....(n-r1)n!/(n-r)&#xff01;&#xff0c;若rn,则称为全排列&#xff0c; 2.重复排列 从n个不同元素中每次取出一个…

概率论基础 —— 1. 基本事件类型、运算规则,及古典概型与几何型概型

概率论与数理统计的相关知识&#xff0c;是机器学习及深度学习最常应用到的基本知识。因为对于机器学习和深度学习来说&#xff0c;最常见的一个应用场景就是训练一堆样本集后&#xff0c;给定一个测试样本&#xff0c;它可能同时具备类A和类B的特征&#xff0c;那么就需要通过…

概率论---古典概型

1、称具有下列两个特征的随机试验模型为古典概型&#xff1a; (1)随机试验具有有限个可能的结果&#xff1b;&#xff08;2)每一个结果发生的可能性大小相同. 2、在古典概型的假设下&#xff0c;设事件A包含样本空间S中的k个基本事件为,即(基本事件只含一个样本点),则 , 即古…

5. 等可能概型(古典概型)

文章目录 等可能概型(古典概型) 等可能概型(古典概型) 定义&#xff1a;若实验满足&#xff1a; 样本空间 S 种样本点有限&#xff08;有限性&#xff09;出现每一个样本点的概率相等&#xff08;等可能性&#xff09; 称这种试验为等可能概型&#xff08;或古典概型&#x…

古典概型、条件概率

文章目录 1 概率1.1 定义1.2 性质 2 古典概型2.1 定义2.2 计算公式 3 条件概率3.1 定义3.2 性质3.3 乘法定理 1 概率 1.1 定义 定义 (概率的公理化定义)&#xff1a;设 E E E 是随机试验&#xff0c;其样本空间 S S S &#xff0c;对于 E E E 的每一事件 A A A 赋于一个实…

概率笔记2——古典概型

上一章中通过几个示例对概率进行了初步介绍&#xff0c;从本章开始&#xff0c;将系统地介绍概率的相关知识。 基本概念 概率研究的是随机现象背后的客观规律——我们对随机没有兴趣&#xff0c;感兴趣的是通过大量随机试验总结出的数学模型。 随机试验 顾名思义&#xff0c;这…

概率统计·概率论的基本概念【古典概型、几何概型】

注意划线部分的这种表示方式 古典概型&#xff08;等可能概型&#xff09; 乘法原理 基本模型 箱中摸球 分组分配&#xff08;分球入箱&#xff09; 先给特殊元素分配 # —— 事件个数 以上题的思路如下&#xff1a; 例题 抽签模型 因为不知道前面人的结果&#xff0c;所以…

古典概型例题

【例1】一部四册的文集按任意次序放到书架上去&#xff0c;问各册自右向左或自左向右恰成 1&#xff0c;2&#xff0c;3&#xff0c;4 的顺序&#xff08;用 表示&#xff09;的概率是多少&#xff1f; 解 此随机试验的结果是四本书在书架上的一种放法&#xff0c;而每一…

概率论的学习和整理10:古典概型 和 N重伯努利试验 的概率和计算方法对比 -----(头脑要纠错!!!)

目录 1 古典概型&#xff08;等可能模型 / 等概率模型&#xff09; 1.1 古典概型的定义 1.2 现实的例子很多 1.3 古典概型的核心要求 1.4 古典概型的好处 1.4.1 足够直观 1.4.2 适应面广&#xff0c;只要基础事件概型相等即可套用 1.4.3 适应面广&#xff0c;只要各…

古典概型——概率论与数理统计(宋浩)

事件的概率 1.2.1概率的初等描述 概率的定义&#xff1a;事件发生的可能性的大小&#xff08;P&#xff08;A&#xff09;&#xff09; 性质&#xff1a; P&#xff08;Ω&#xff09;1&#xff0c;P&#xff08;φ&#xff09;0&#xff08;规范性&#xff09;0<P(A)&l…

移远 4G EC20 高通 9X07 工业级 车规级 CAT4 CAT6

EC20 是移远通信推出的最高LTE Cat 6无线通信模块&#xff0c;采用LTE 3GPP Rel.11 技术&#xff0c;支持最大下行速率300Mbps和最大上行速率50Mbps&#xff1b;同时在封装上兼容移远通信UMTS/HSPA UC20模块以及移远通信多网络制式LTE Cat 3 EC20模块&#xff0c;实现了3G网络与…

cat详解

1、概念 cat命令(concatenate的缩写)是Linux操作系统中使用最广泛的命令行实用工具之一。它是一个标准的Linux实用程序&#xff0c;用于查看文件的内容&#xff0c;而不需要在任何文本编辑器中打开它。cat命令的另一个主要用法是将多个文件串联到一个文件中。 2、基本参数 参…

hashcat详细使用教程

hashcat简介 hashcat是一款自称为世界上最快的密码破解工具。 hashcat常用命令 -m 指定哈希类型 -a 指定破解模式 -V 查看版本信息 -o 将输出结果储存到指…

CAT 服务端搭建

目录 前言 觉得没什么好写&#xff0c;这次搭建的过程和之前看到的文档有些不一样&#xff0c;估计以后还会不一样。但依旧记录一下&#xff0c;总结一下&#xff0c;凑凑数吧。CAT 项目github地址&#xff1a;https://github.com/dianping/catCAT 服务端官方部署介绍&#xff…

linux cat命令缩写,linux下cat命令详解

cat 能够一同显现多个文件的内容,比方咱们能够在一个cat指令上一同显现两个文件的内容;那么你知道linux下cat命令详解么?接下来是小编为大家收集的linux下cat命令详解,欢迎大家阅读: linux下cat命令详解 1.命令格式: cat [选项] [文件]... 2.命令功能: cat主要有三大功能…

Cat8八类网线是什么?与Cat5、Cat6、Cat7网线的区别?

若您身处于网络通信行业&#xff0c;相信您应该了解一些以太网线缆&#xff0c;比如说超五类网线、六类网线和七类网线等等。但是您知道Cat8八类网线 是什么吗&#xff1f;它与五类网线、六类/超六类网线及七类/超七类网线有着怎么样的区别呢&#xff1f;下面就由飞速(FS)带您认…

Cat8 八类网线是什么?与Cat5、Cat6、Cat7网线的区别?

若您身处于网络通信行业&#xff0c;相信您应该了解一些以太网线缆&#xff0c;比如说超五类网线、六类网线和七类网线等等。但是您知道Cat8 八类网线 是什么吗&#xff1f;它与五类网线、六类/超六类网线及七类/超七类网线有着怎么样的区别呢&#xff1f;下面就由FS带您认识新…