概率论基础(1)古典和几何概型及事件运算

article/2025/10/18 20:54:11

概率论对于学习 NLP 方向的人,重要性不言而喻。于是我打算从概率论基础篇开始复习,也顺便巩固巩固基础。

1.事件及运算

1.1 文森图及运算
在这里插入图片描述
在这里插入图片描述
在这里插入图片描述
在这里插入图片描述

在这里插入图片描述
在这里插入图片描述
在这里插入图片描述

1.2常用运算律
在这里插入图片描述
1.3相关练习
在这里插入图片描述
理解:要么A要么B要么C发生,所以是A ∪ B ∪ C; 如果说都发生,那就是A ∩ B ∩ C。
在这里插入图片描述
理解:用到了加法公式,直接套进去就可

在这里插入图片描述
理解:需要注意的是,这里会用到乘法公式,P(AC)=0,则P(ABC)=0.
在这里插入图片描述
理解:这里用到了德摩根律,之后用到了对立事件,再次利用加法公式,又利用互斥的特点,得出结果。

在这里插入图片描述
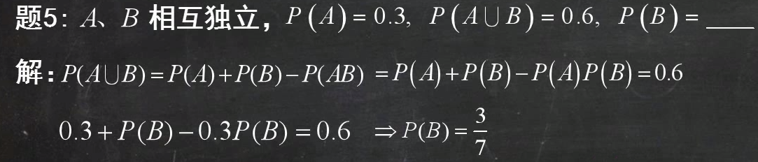
理解:先用加法公式,之后使用独立事件,P(AB)=P(A)P(B),解出答案。

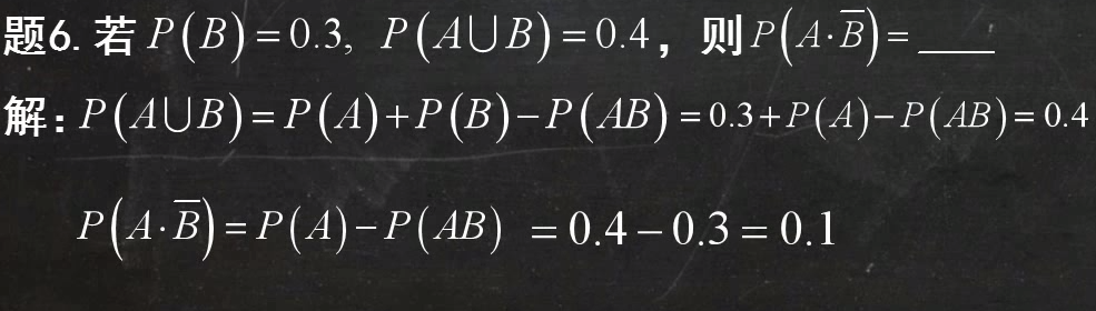
在这里插入图片描述
理解:一定要对减法公式的变式敏感,这是减法公式的一种形式。

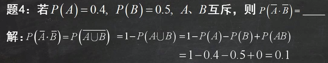
在这里插入图片描述
理解:正确答案为D。P(A-B)= P(A)-P(AB),P(AB)为0,所以等式符合。
互不相容和对立可以推出P(AB)=0,但后者推不出前者,图中有证明。


2.古典概型

古典概型也叫传统概率、其定义是由法国数学家拉普拉斯 (Laplace ) 提出的。如果一个随机试验所包含的单位事件是有限的,且每个单位事件发生的可能性均相等,则这个随机试验叫做拉普拉斯试验,这种条件下的概率模型就叫古典概型。
(1) 试验中所有可能出现的基本事件只有有限个;
(2) 试验中每个基本事件出现的可能性相等。
具有以上两个特点的概率模型是大量存在的,这种概率模型称为古典概率模型,简称古典概型,也叫等可能概型。

2.1相关题目
在这里插入图片描述
理解:不要忘记排列和组合的相关公式计算方法。其中分为有放回和无放回。
在这里插入图片描述
理解:注意结论的使用,不放回抽样时,概率都是一样的。

3.几何概型

如果每个事件发生的概率只与构成该事件区域的长度(面积或体积或度数)成比例,则称这样的概率模型为几何概率模型,简称为几何概型。
比如:对于一个随机试验,我们将每个基本事件理解为从某个特定的几何区域内随机地取一点,该区域中每一个点被取到的机会都一样;而一个随机事件的发生则理解为恰好取到上述区域内的某个指定区域中的点。这里的区域可以是线段,平面图形,立体图形等。用这种方法处理随机试验,称为几何概型.
几何概型与古典概型相对,将等可能事件的概念从有限向无限的延伸。这个概念在我国初中数学中就开始介绍了。
古典概型与几何概型的主要区别在于:几何概型是另一类等可能概型,它与古典概型的区别在于试验的结果是无限个。

3.1题目
在这里插入图片描述
理解:这个比较简单,根据其长度之比就可以
在这里插入图片描述
理解:最主要的在于判断时间转换为数学公式的过程,之后利用几何概型就可以解决


http://chatgpt.dhexx.cn/article/9P61EYQr.shtml

相关文章

概率论--古典概型和几何概型

-------------------------------------------几何概型------------------------------------------------------------------ 向某一可度量的区域内任掷一点.如果所掷的点落在中任意子区域内的可能性大小与A的度量(长度,面积和体积等&…

古典概型和几何概型

古典概型(等可能概型) 1.1定义(随机试验模型) ①只有有限个可能 ②每个结果发生的可能性大小相同。 由 1P(S)得 设事件A包含样本空间S中k个基本事件,那么事件A发生的概率为 1.2计算古典概型的方法——排列跟组合 …

古典概型-分房模型

古典概型问题一般从排列组合、乘法原理的角度思考; 回想概率的基本公式:p(A)A事件发生的次数/总的实验次数 (1)k个盒子已经指定了,每次拿一个球放入其中一个盒子 第一问可以理解为:指定的k个盒子中各有一球…

【概率论与数理统计】猴博士 笔记 p1-p2 古典概型、几何概型

视频 古典概型 常见的古典概型题目分为: 有放回无放回 有放回 对于有放回的题目,一般可以这样做: 举个例子,如题: 则它们的答案是: 1. C 4 4 ∗ ( 2 5 ) 4 C_{4}^{4} *&…

概率论 事件关系 古典概型与几何概型

基本知识点 随机试验:1.不确定性2.可预知性3.可重复性基本事件:包含一个样本点 必然事件:全集 不可能事件:空集 子集2^n-1-1(减去空集与真集) 事件间的关系 1.包含关系 2.和运算AUBAB,A与B至少有一个发生 3.积事件A∩BAB,AB同时发生 4.差事件A-BAB ̅A-AB,A发生但B不发生 5.…

概率论 1.3 古典概型与几何概型

1.3.1 排列与组合 排列 从n个不同元素任取r(r<n)个元素排成一列(考虑元素出现的先后次序)&#xff0c;称此为一个排列&#xff0c;此种排列的总数为n(n-1)....(n-r1)n!/(n-r)&#xff01;&#xff0c;若rn,则称为全排列&#xff0c; 2.重复排列 从n个不同元素中每次取出一个…

概率论基础 —— 1. 基本事件类型、运算规则,及古典概型与几何型概型

概率论与数理统计的相关知识&#xff0c;是机器学习及深度学习最常应用到的基本知识。因为对于机器学习和深度学习来说&#xff0c;最常见的一个应用场景就是训练一堆样本集后&#xff0c;给定一个测试样本&#xff0c;它可能同时具备类A和类B的特征&#xff0c;那么就需要通过…

概率论---古典概型

1、称具有下列两个特征的随机试验模型为古典概型&#xff1a; (1)随机试验具有有限个可能的结果&#xff1b;&#xff08;2)每一个结果发生的可能性大小相同. 2、在古典概型的假设下&#xff0c;设事件A包含样本空间S中的k个基本事件为,即(基本事件只含一个样本点),则 , 即古…

5. 等可能概型(古典概型)

文章目录 等可能概型(古典概型) 等可能概型(古典概型) 定义&#xff1a;若实验满足&#xff1a; 样本空间 S 种样本点有限&#xff08;有限性&#xff09;出现每一个样本点的概率相等&#xff08;等可能性&#xff09; 称这种试验为等可能概型&#xff08;或古典概型&#x…

古典概型、条件概率

文章目录 1 概率1.1 定义1.2 性质 2 古典概型2.1 定义2.2 计算公式 3 条件概率3.1 定义3.2 性质3.3 乘法定理 1 概率 1.1 定义 定义 (概率的公理化定义)&#xff1a;设 E E E 是随机试验&#xff0c;其样本空间 S S S &#xff0c;对于 E E E 的每一事件 A A A 赋于一个实…

概率笔记2——古典概型

上一章中通过几个示例对概率进行了初步介绍&#xff0c;从本章开始&#xff0c;将系统地介绍概率的相关知识。 基本概念 概率研究的是随机现象背后的客观规律——我们对随机没有兴趣&#xff0c;感兴趣的是通过大量随机试验总结出的数学模型。 随机试验 顾名思义&#xff0c;这…

概率统计·概率论的基本概念【古典概型、几何概型】

注意划线部分的这种表示方式 古典概型&#xff08;等可能概型&#xff09; 乘法原理 基本模型 箱中摸球 分组分配&#xff08;分球入箱&#xff09; 先给特殊元素分配 # —— 事件个数 以上题的思路如下&#xff1a; 例题 抽签模型 因为不知道前面人的结果&#xff0c;所以…

古典概型例题

【例1】一部四册的文集按任意次序放到书架上去&#xff0c;问各册自右向左或自左向右恰成 1&#xff0c;2&#xff0c;3&#xff0c;4 的顺序&#xff08;用 表示&#xff09;的概率是多少&#xff1f; 解 此随机试验的结果是四本书在书架上的一种放法&#xff0c;而每一…

概率论的学习和整理10:古典概型 和 N重伯努利试验 的概率和计算方法对比 -----(头脑要纠错!!!)

目录 1 古典概型&#xff08;等可能模型 / 等概率模型&#xff09; 1.1 古典概型的定义 1.2 现实的例子很多 1.3 古典概型的核心要求 1.4 古典概型的好处 1.4.1 足够直观 1.4.2 适应面广&#xff0c;只要基础事件概型相等即可套用 1.4.3 适应面广&#xff0c;只要各…

古典概型——概率论与数理统计(宋浩)

事件的概率 1.2.1概率的初等描述 概率的定义&#xff1a;事件发生的可能性的大小&#xff08;P&#xff08;A&#xff09;&#xff09; 性质&#xff1a; P&#xff08;Ω&#xff09;1&#xff0c;P&#xff08;φ&#xff09;0&#xff08;规范性&#xff09;0<P(A)&l…

移远 4G EC20 高通 9X07 工业级 车规级 CAT4 CAT6

EC20 是移远通信推出的最高LTE Cat 6无线通信模块&#xff0c;采用LTE 3GPP Rel.11 技术&#xff0c;支持最大下行速率300Mbps和最大上行速率50Mbps&#xff1b;同时在封装上兼容移远通信UMTS/HSPA UC20模块以及移远通信多网络制式LTE Cat 3 EC20模块&#xff0c;实现了3G网络与…

cat详解

1、概念 cat命令(concatenate的缩写)是Linux操作系统中使用最广泛的命令行实用工具之一。它是一个标准的Linux实用程序&#xff0c;用于查看文件的内容&#xff0c;而不需要在任何文本编辑器中打开它。cat命令的另一个主要用法是将多个文件串联到一个文件中。 2、基本参数 参…

hashcat详细使用教程

hashcat简介 hashcat是一款自称为世界上最快的密码破解工具。 hashcat常用命令 -m 指定哈希类型 -a 指定破解模式 -V 查看版本信息 -o 将输出结果储存到指…

CAT 服务端搭建

目录 前言 觉得没什么好写&#xff0c;这次搭建的过程和之前看到的文档有些不一样&#xff0c;估计以后还会不一样。但依旧记录一下&#xff0c;总结一下&#xff0c;凑凑数吧。CAT 项目github地址&#xff1a;https://github.com/dianping/catCAT 服务端官方部署介绍&#xff…

linux cat命令缩写,linux下cat命令详解

cat 能够一同显现多个文件的内容,比方咱们能够在一个cat指令上一同显现两个文件的内容;那么你知道linux下cat命令详解么?接下来是小编为大家收集的linux下cat命令详解,欢迎大家阅读: linux下cat命令详解 1.命令格式: cat [选项] [文件]... 2.命令功能: cat主要有三大功能…