信号处理的卷积公式

article/2025/10/19 7:47:25

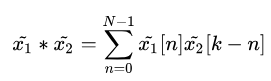
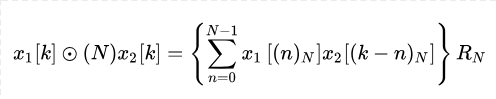
《信号与系统》关于卷积的公式: 

离散

序列卷积和
 

周期卷积

循环卷积

连续

卷积积分


http://chatgpt.dhexx.cn/article/nMtxi1hO.shtml

相关文章

卷积基本计算公式

1. 理论公式 2. tensorflow中使用 输入图片大小 WW Filter大小 FF 步长strides S padding的像素数 P 输出大小为NxNpadding “SAME”时,会在图像的周围填 “0”,padding “VALID”则不需要,即 P0。一般会选“SAME”,以来减缓图…

卷积公式的理解,卷积其实就是叠加与衰减。

对于初学者,我推荐用复利的例子来理解卷积可能更直观一些: 小明存入100元钱,年利率是5%,按复利计算(即将每一年所获利息加入本金,以计算下一年的利息),那么在五年之后他能拿到的钱数…

卷积公式细谈

原文地址:http://www.ilovematlab.cn/thread-293710-1-1.html ————————————-conv2函数—————————————- 1、用法 Cconv2(A,B,shape); %卷积滤波 复制代码 A:输入图像,B:卷积核 假设输入图像A大小为ma x na,卷…

关于卷积公式的模型

在信号分析处理中,卷积是最重要的运算,但是一般计算中,关于卷积的“反褶”,“平移”,“累加和”这三个步骤,其计算步骤和卷积的实际意义,貌似“脱离”,从而影响对信号与系统相互作用…

【概率】常见分布(离散/连续)、卷积公式(实际意义与作用、公式、记忆法)

发现自己对各种分布不太熟悉,决定趁此机会整理一下,看有没有比较好的记忆方法。 各种分布最重要的理解它的实际意义,都是解决什么问题的,其次是公式的含义。 所以下面都按以下几点来展开:实际意义、数学表达、对表达式…

概率论中多元随机变量函数分布中的卷积公式原来是重积分换元

文章目录 重积分换元(雅克比行列式)卷积公式①:把$x$换掉 确定范围卷积公式做定义法来做Zmax{X,Y}Zmin{X,Y} 重积分换元(雅克比行列式) { x x ( u , v ) y y ( u , v ) \left\{\begin{matrix} xx(u,v)\\ \\ yy(u,v) …

详解卷积公式的物理意义

作者:Uncle Jack 日期:2020/03/15 分解思维 1. 人类科学有一个特点是喜欢使用分解的思维去理解分析很多复杂的事物,比如傅里叶级数把很多奇形怪状的函数分解成无穷多个三角函数,又比如力学分析中把单个力分解成直角坐标系中的的…

matlab作卷积的公式,卷积相关公式的matlab代码

取半径3 用matlab代码实现上式公式: length3; for Ki 1:length for Kj 1:length for Kk 1:length Ksigma(Ki,Kj,Kk)exp(-(Ki-2)^2/8-(Kj-2)^2/8-(Kk-2)^2/8); 此公式为:K(u), ρ3 end end end KONE convn(ones(size…

卷积公式和分布函数去解决Z=X+Y,Z=XY,Z=Y/X等Z的概率密度函数以及如何确定他们的范围

第三个公式ZY/X,概率密度中不是z-x是z*x(打印错了),其次适用于X和Y都是连续型 下面介绍分布函数法,是比较麻烦的一种办法,下面的f(x,y)其中如果x和y独立的话,f(x,y)f(x)*f(y) 下面这个例子全部的积分区域为x和y的&a…

用卷积公式求概率密度时确定积分区间

卷积公式的推导过程书上有,不难理解。但是在解题时,确定积分区间很是头疼,本文讲解如何确定积分区间。 首先弄清f是什么,从定义入手,对于二维连续型随机变量(X,Y),ZXY有 F(z)是一个…

二维函数Z=g(X,Y)型,用卷积公式求概率密度,积分区域如何确定(上)

二维函数Z=g(X,Y)型,用卷积公式求概率密度,积分区域如何确定(上) 因为关于二维随机变量主题内容重要,难度大,例题多,最主要是积分区间的确定是难点,同时关联卷积概念,求二维函数Z=g(X,Y)型,用卷积公式求概率密度,卷积公式容易,积分区间难以确定,所以分成上中下三…

概论_第3章_重点_卷积公式__Z=X+Y的分布

本文接上一篇, 继续介绍 连续型随机变量 Z XY的分布 设(X, Y) 的概率密度为f(x, y), 则 ZXY 的分布函数为: ~~~~~~~~~~~~ 看一个例题,如下: 可以看出, 两个均匀分布之和, ZXY 不再是均匀分布。 注意&…

随机变量和的分布—卷积公式distribution convolution的应用

在概率论里面,大家都会碰到一类问题,就是涉及到这样一类题目: 一般来说,这种类型的题目有两种方法来解决,第一种就是二重积分法;第二种就是应用卷积公式。下面我给大家列出了卷积公式: 但是…

概论_第3章_重点_两个随机变量的函数的分布__卷积公式

前面, 我详细介绍了 一个随机变量函数的概率分布 ,本文开始介绍 两个随机变量的函数。 注意, 不能写成 两个随机变量函数, 那就会误认为 两个函数, 本文主要介绍两个连续型随机变量的函数, 至于离散型&…

反卷积公式的理解

卷积基础已知。 定义 i 输入尺寸 o 输出尺寸 p 填充padding s 步长,这里面似乎应该解释为放大倍数 k 卷积核大小 卷积操作尺寸计算公式为 o (i 2p -k)/s 1 反卷积的计算公式 (1)如果 (i 2p - k)%s 0, 则关系为i s(o-1)-2pk, (2)如果(i 2p -k)%s!0, 则…

【数字信号处理】卷积编程实现 ( 卷积计算原理 | 卷积公式计算 | 使用 matlab 计算卷积 | 使用 C 语言实现卷积计算 )

文章目录 一、卷积计算原理二、卷积计算1、计算 y(0)2、计算 y(1)3、计算 y(2) 三、使用 matlab 计算卷积四、使用 C 语言实现卷积计算 一、卷积计算原理 对于 线性时不变系统 ( LTI - Linear time-invariant ) 来说 , 假设 x ( n ) x(n) x(n) 是 LTI 系统的 " 输入序列…

第二十一讲 卷积公式

一,卷积公式: 已知:,设:求:因为拉氏变换是由幂级数变过来的,所以上面的问题可以转换为下面的问题方便计算: 已知:,设:求:&#xff0…

卷积积分整理

卷积是一种计算方法 1、一维连续卷积 1.1 基本概念 h ( x ) f ( x ) ⊗ g ( x ) ∫ − ∞ ∞ f ( u ) g ( x − u ) d u h(x) f(x)\otimes g(x) \int_{-\infty}^{\infty}f(u)\times g(x-u)du h(x)f(x)⊗g(x)∫−∞∞​f(u)g(x−u)du 对于线性时不变系统,它的…

卷积神经网络卷积计算,卷积网络计算公式

卷积运算的过程是什么?卷积计算的矩阵是怎么来的,如下图,这个卷积运算示意图怎么理解? 首先,卷积核相同,输入相同,输出的特征是一样的。只不过将输出的矩阵形式换成了列向量的形式。 实质上一…

卷积计算——卷积公式

W i n p u t W_{input} Winput​和 H i n p u t H_{input} Hinput​是图片的宽和高。 W f i l t e r W_{filter} Wfilter​和 H f i l t e r H_{filter} Hfilter​是卷积核的宽和高。 P P P是padding填充的圈数。 S S S是卷积核的步长。