卷积积分整理

article/2025/10/19 10:52:18

卷积是一种计算方法

1、一维连续卷积

1.1 基本概念

h ( x ) = f ( x ) ⊗ g ( x ) = ∫ − ∞ ∞ f ( u ) × g ( x − u ) d u h(x) = f(x)\otimes g(x) = \int_{-\infty}^{\infty}f(u)\times g(x-u)du h(x)=f(x)g(x)=f(u)×g(xu)du

对于线性时不变系统,它的零状态响应可以通过系统的冲激响应h(t)与e(t)的卷积积分求得:
f ( t ) = ∫ − ∞ ∞ e ( τ ) × h ( t − τ ) d τ f(t) = \int_{-\infty}^{\infty}e(\tau)\times h(t-\tau) d\tau f(t)=e(τ)×h(tτ)dτ

对于这个理解,此网址由https://blog.csdn.net/palet/article/details/88862647很好的解释,下面主要引用此博客下的内容:

1.2 示例图解:

输入信号是 f(t) ,是随时间变化的。系统响应函数是 g(t) ,图中的响应函数是随时间指数下降的.如果在 t=0 的时刻有一个输入,那么随着时间的流逝,这个输入将不断衰减。换言之,到了 t=T时刻,原来在 t=0 时刻的输入f(0)的值将衰减为f(0)g(T)。
在这里插入图片描述
考虑到信号是连续输入的,也就是说,每个时刻都有新的信号进来,所以,最终输出的是所有之前输入信号的累积效果。如下图所示,在T=10时刻,输出结果跟图中带标记的区域整体有关。其中,f(10)因为是刚输入的,所以其输出结果应该是f(10)g(0),而时刻t=9的输入f(9),只经过了1个时间单位的衰减,所以产生的输出应该是 f(9)g(1),如此类推,即图中虚线所描述的关系。这些对应点相乘然后累加,就是T=10时刻的输出信号值,这个结果也是f和g两个函数在T=10时刻的卷积值。
在这里插入图片描述
显然,上面的对应关系看上去比较难看,是拧着的,所以,我们把g函数对折一下,变成了g(-t),这样就好看一些了。看到了吗?这就是为什么卷积要“卷”,要翻转的原因,这是从它的物理意义中给出的。
在这里插入图片描述上图虽然没有拧着,已经顺过来了,但看上去还有点错位,所以再进一步平移T个单位,就是下图。它就是本文开始给出的卷积定义的一种图形的表述:
在这里插入图片描述所以,在以上计算T时刻的卷积时,要维持的约束就是: t+ (T-t) = T

2、一维离散卷积

2.1 基本概念

h ( i ) = f ( i ) ⊗ g ( i ) = ∑ u = − ∞ ∞ f ( u ) × g ( i − u ) = ∑ u = 0 i f ( u ) × g ( i − u ) h(i) = f(i)\otimes g(i) = \sum_{u=-\infty}^{\infty}f(u)\times g(i-u) = \sum_{u = 0}^{i}f(u)\times g(i-u) h(i)=f(i)g(i)=u=f(u)×g(iu)=u=0if(u)×g(iu)
公式中,f(i)为一维离散函数, i ∈ [ 0 , m − 1 ] i\in[0,m-1] i[0,m1],即大小为 1 × m 1\times m 1×m;g(i)为一维离散函数, i ∈ [ 0 , n − 1 ] i\in [0,n-1] i[0,n1];即大小为 1 × n 1\times n 1×n;h(i)为卷积结果, i ∈ [ 0 , m + n − 1 ] i\in [0,m+n-1] i[0,m+n1],即大小为m+n-1。后续应用根据不同情况,可以截取结果为相应大小。
一维原始矩阵与一维模板矩阵向卷积,卷积过程步骤为:
(1)基于卷积定义,将模板矩阵旋转180度
(2)将模板矩阵从左到右在原始矩阵中滑动,计算模板矩阵与原始矩阵交集元素的乘积,该和即为卷积结果对应位置的数值。
原矩阵为:[1 2 3]
模板矩阵为:[4 5]
步骤:
1、模板矩阵旋转180度[5 4]
2、
1 2 3 5 4 4 \begin{array}{clcr} \\ &1&2& 3 \\ 5&4& \\ &4 \end{array} 514423
1 2 3 5 4 4 13 \begin{array}{clcr} \\ & 1 & 2 & 3 \\ & 5 & 4 & \\ 4&13 \end{array} 41513243
1 2 3 5 4 4 13 22 \begin{array}{clcr} \\ & 1 & 2 & 3 \\ & & 5 & 4 & \\ 4&13&22 \end{array} 4113252234
1 2 3 5 4 4 13 22 15 \begin{array}{clcr} \\ & 1 & 2 & 3 \\ & & & 5 & 4 & \\ 4&13&22&15 \end{array} 411322235154

故卷积结果为[4 13 22 15]

2.2 示例图解

在知乎问题 如何通俗易懂地解释卷积中排名第一的 马同学在中举的一个很好的例子
丢骰子
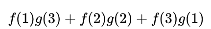
要解决的问题是:有两枚骰子,把它们都抛出去,两枚骰子点数加起来为4的概率是多少?
在这里插入图片描述
分析一下,两枚骰子点数加起来为4的情况有三种情况:1+3=4, 2+2=4, 3+1=4即
在这里插入图片描述
写成卷积的方式就是 ∑ m = 1 3 f ( m ) g ( 4 − m ) \sum_{m=1}^{3}f(m)g(4 - m) m=13f(m)g(4m)
首先,因为两个骰子的点数和是4,为了满足这个约束条件,我们还是把函数 g 翻转一下,然后阴影区域上下对应的数相乘,然后累加,相当于求自变量为4的卷积值,如下图所示:
在这里插入图片描述进一步,如此翻转以后,可以方便地进行推广去求两个骰子点数和为 n 时的概率,为f 和 g的卷积 f*g(n),如下图所示:
在这里插入图片描述由上图可以看到,函数 g 的滑动,带来的是点数和的增大。这个例子中对f和g的约束条件就是点数和,它也是卷积函数的自变量。有兴趣还可以算算,如果骰子的每个点数出现的概率是均等的,那么两个骰子的点数和n=7的时候,概率最大。

3、二维卷积

3.1 二重积分

在这里插入图片描述在这里插入图片描述在这里插入图片描述在这里插入图片描述在这里插入图片描述在这里插入图片描述

3.2 二维连续卷积

二维连续卷积
h ( x , y ) = f ( x , y ) ⊗ g ( x , y ) = ∫ − ∞ ∞ ∫ − ∞ ∞ f ( u , v ) g ( x − u , y − v ) d u d v h(x,y) = f(x,y)\otimes g(x,y) = \int_{-\infty}^{\infty} \int_{-\infty}^{\infty}f(u,v)g(x-u,y-v)dudv h(x,y)=f(x,y)g(x,y)=f(u,v)g(xu,yv)dudv
公式中,f(x,y)和g(x,y)为两个二维连续函数
二维连续卷积可以看成给定x,y,u= z(v),对v进行一次卷积,然后在对v卷积

3.3 二维离散卷积

二维离散卷积公式:
h ( i , j ) = ( f ∗ g ) ( i , j ) = f ( i , j ) ⊗ g ( i , j ) = ∑ u = − ∞ ∞ ∑ v = − ∞ ∞ f ( u , v ) g ( i − u , j − v ) = ∑ u = 0 ∞ ∑ v = 0 ∞ f ( u , v ) g ( i − u , j − v ) h(i,j) = (f*g)(i,j) = f(i,j)\otimes g(i,j) = \sum_{u=-\infty}^{\infty}\sum_{v=-\infty}^{\infty}f(u,v)g(i-u,j-v)\\ = \sum_{u=0}^{\infty}\sum_{v=0}^{\infty}f(u,v)g(i-u,j-v) h(i,j)=(fg)(i,j)=f(i,j)g(i,j)=u=v=f(u,v)g(iu,jv)=u=0v=0f(u,v)g(iu,jv)
公式中,f(i,j)为二维离散函数, i ∈ [ 0 , m − 1 ] , j ∈ [ 0 , n − 1 ] i\in[0,m-1],j\in [0,n-1] i[0,m1]j[0,n1],即大小为 m × n m \times n m×n;g(i,j)为二维离散函数, i ∈ [ 0 , p − 1 ] , j ∈ [ 0 , q − 1 ] i\in[0,p-1],j\in [0,q-1] i[0,p1]j[0,q1],即大小为 p × q p \times q p×q;h(i,j)为卷积结果, i ∈ [ 0 , m + p − 1 ] , j ∈ [ 0 , n + q − 1 ] i\in[0,m+p-1],j\in [0,n+q-1] i[0,m+p1]j[0,n+q1],即大小为 ( m + p − 1 ) × ( n + q − 1 ) (m+p-1)\times (n+q-1) (m+p1)×(n+q1)

离散卷积理解为在u和v两个方向去累加

3.4 图像卷积示例

对图像矩阵的理解,图像可以认为是二维函数的离散形式,灰度值相当于z坐标,分辨率大小为x,y
矩阵可以看成是一堆坐标值,在空间

参考:
1、https://www.zhihu.com/question/22298352/answer/637156871 (如何通俗易懂地解释卷积?)
2、数字图像处理 原理与实现


http://chatgpt.dhexx.cn/article/dHGHZtwP.shtml

相关文章

卷积神经网络卷积计算,卷积网络计算公式

卷积运算的过程是什么?卷积计算的矩阵是怎么来的,如下图,这个卷积运算示意图怎么理解? 首先,卷积核相同,输入相同,输出的特征是一样的。只不过将输出的矩阵形式换成了列向量的形式。 实质上一…

卷积计算——卷积公式

W i n p u t W_{input} Winput​和 H i n p u t H_{input} Hinput​是图片的宽和高。 W f i l t e r W_{filter} Wfilter​和 H f i l t e r H_{filter} Hfilter​是卷积核的宽和高。 P P P是padding填充的圈数。 S S S是卷积核的步长。

matlab light log,MATLAB Implementation: light-weight vs. heavy-weight 转自林达华

这次,回到一个实际一点的问题,关于matlab的实现。 同一个数学问题,在实际计算中,往往是可能有多种途径的。虽然殊途同归,但是效率很可能大相径庭(即使这些不同途径在理论上有相同的复杂度)。对于 小规模计算&#xff0…

概率漫谈 转自 林达华

(2013-01-29 18:20:49) 转载▼ 分类: 科技 一段时间,随着研究课题的深入,逐步研习现代概率理论,这是一个令人耳目一新的世界。这个世界实在太博大,我自己也在不断学习之中。这篇就算起一个头吧,后面有空的时…

麻省理工MIT大神解说数学体系;2012年计算机博士港中大林达华简历(公号回复“MIT林达华”下载彩标PDF论文)

麻省理工MIT大神解说数学体系;2012年计算机博士港中大林达华简历(公号回复“MIT林达华”下载彩标PDF论文) 原创: 林达华 数据简化DataSimp 今天 数据简化DataSimp导读:林达华是MIT计算机科学博士,读研时以贝叶斯非参建模斩获顶会NIPS2010年最佳学生论文奖、ICCV2009和2…

林达华解说数学体系

[转]MIT牛人解说数学体系 一直想对数学有个宏观把握,恰好看到这篇文章,甚是高兴。网上说,本文出自林达华,我是从这里转载的。在此基础上,将概率论小节移到实分析下,并加粗了一些语句,还补充两张…

【java】商城进货交易记录程序设计

【任务介绍】 1.任务描述 商城仓库中有多种商品,商品每次进货需要生成一条进货记录保存到文件。本案 例要求编写一个记录商城进货交易的程序,使用字节流将商场的进货信息记录在本地 的 CSV 文件中。程序具体要求如下。 程序启动后,先打印库…

开源Java商城项目Javashop的部署过程

推荐:需要Java商城定制开发可以联系本人:QQ3413414 电话15911100004 服务器为:阿里云CentOS 8.2版本,做测试用2核4G就够 Javashop B2C源码地址 https://gitee.com/enation/Javashop-B2C 因为这个项目是基于maven的,所…

JAVA 单商户商城系统 成熟源码 支持二开

三勾商城是开发友好的微信小程序商城,框架支持SAAS,支持发布 iOS Android 公众号 H5 各种小程序(微信/支付宝/百度/头条/QQ/钉钉/淘宝)等多个平台,不可多得的二开神器, 为大中小企业提供极致的移动电子…

java商城系统设计—竞拍

竞价拍卖商城系统功能介绍: 一、可单独设置参与竞拍的商品,适用于各种经营需求; 二、可开启抬价“机器人”和“回本设置”,确保商品不会被用过低的价格买走,保证商城的盈利性; 三、可设置“加价倒计时”…

java 商城系统架构之第三篇——集群架构搭建

需要商城系统的朋友,请联系下方微信 其实集群说起来是很简单的,无非就是server部署在多台机器上,DB、session、文件等在做个机器、CDN加速就OK了。 但是实际上需要做的事还有非常多,并且在过程中需要填非常多的坑。 这里说一个…

如何做一个基于JAVA购物商城系统毕业设计毕设作品(springboot框架)

分析架构 我们开发系统,常规有两个架构,一个BS架构(浏览器/服务器模式),一个CS(客户端/服务器端模式);基于JAVA的网站开发属于B/S架构(即浏览器和服务器架构模式&#x…

java商城推荐算法(含源码,小程序,vue,uniapp)

用户协同推荐算法思想 如果你喜欢苹果、香蕉、芒果等物品,另外有个人也喜欢这些物品,而且他还喜欢西瓜,则很有可能你也喜欢西瓜这个物品。 所以说,当一个用户 A 需要个性化推荐时,可以先找到和他兴趣相似的用户群体 …

JAVA商城源码-B2B2C商城系统-独立部署,一套源码终身可用

在现在电商迅速占领市场的时代里,选择开发商城系统已经成为了一种趋势,现在开发搭建商城系统有很多编程语言可以选择,目前在电商里市面上受到很多商家企业的喜爱的便是Java商城系统,那为什么要选择Java电商系统呢? 1、…

商城 源码 java_java网上商城平台源码(含数据库脚本)

【实例简介】管理员后台管理商品以及对留言订单的处理,用户对订单的购买及留言 【实例截图】 【核心代码】 package com.shop.controller; import java.util.Date; import java.util.Map; import java.util.Map.Entry; import javax.servlet.http.HttpServletRequest; import …

java商城系统设计-----积分商城系统

积分商城的“积分”概念,指的是用户(更多指的是经过注册验证的用户)在消费后获得的一种奖励,从而实现客户关怀、客户忠诚度提升的目的。其消费模式包括传统的现场消费如超市购物,也包括日益普及的网上购物。获得的积分…

Java商城项目实战

项目背景 编写目的 明确业务背景、业务范围、基本业务逻辑和业务框架,期望读者包括:项目发起人、最终用户、项目投资方、项目管理团队、项目执行团队,以及其他项目干系人。 参考文档 “ESMS3.x 详细设计说明设计文档.doc”: 详细设计说明…

JAVA商城系统开发 VS PHP商城系统开发

在互联网快速发展的今天,越来越多的企业通过开发商城系统来拓展自己的业务,很多企业也会纠结:商城系统开发,选择PHP语言开发好,还是选择JAVA语言开发好?小来从几个方便对比了两种开发语言的优劣势&#xff…

国内知名的java商城系统排名

目前,市面上的网上商城系统有很多,按开发语言可划分为java、php、.net等。由于java语言开发的网上商城系统有着安全性好、稳定性高、易维护、多线程、可读性好等特点,深受一大批企业青睐。那么,国内知名的java商城系统有哪些呢&am…

Java商城源码最好用的java商城电商系统之一

为符合新互联网时代产品线即时起更新 演示网址: 2023单店版: http://mall.javaemall.com/index.htm 2023多店版: http://www.javaemall.com/index.htm 源码包含:PC版网站手机触屏站APP客户端(安卓苹果)微信版(小程序公众…