【概率】常见分布(离散/连续)、卷积公式(实际意义与作用、公式、记忆法)

article/2025/10/19 8:11:25

发现自己对各种分布不太熟悉,决定趁此机会整理一下,看有没有比较好的记忆方法。

各种分布最重要的理解它的实际意义,都是解决什么问题的,其次是公式的含义。

所以下面都按以下几点来展开:实际意义、数学表达、对表达式的解释。

目录

一、离散型变量的分布

1. 0—1分布(两点分布)X~B(1,p)

2. 二项分布(n重伯努利分布)X~B(n,p)

3. 泊松分布 X~P(λ)

4. 几何分布 X~G(p)

二、连续型变量的分布

1. 均匀分布 X~U(a, b)

2. 指数分布

三、卷积公式


一、离散型变量的分布

1. 0—1分布(两点分布)X~B(1,p)

只进行一次事件试验,该事件发生的概率为p,不发生的概率为1-p。任何一个只有两种结果的随机事件都服从0-1分布。是n=1时的二项分布。

,k=0,1。k=0时,表示某随机事件失败的概率;k=1,表示某随机事件成功的概率。

分布律(下表)。E(X)=p;D(X)=p(1-p)。

X01
P(x)1-pp

2. 二项分布(n重伯努利分布)X~B(n,p)

重复n次独立的伯努利实验(伯努利试验是在同样条件下重复、独立进行的一种随机试验,其特点是只有两种可能结果:发生或者不发生)。单个伯努利试验没有多大意义,反复进行时可以观察成功次数,此时的分析更有意义。

  • 【例】某售货员电话推销n次中,成功k次的概率。

P(X=k)= C_{n}^{k}p^k(1-p)^{n-k},k=0,1,……n。在n次实验中成功次数为k时的概率。

E(X)=np;D(X)=np(1-p)。

记忆:二项分布就是n重伯努利分布,二项“伯”。

《二项分布(Binomial Distribution)》:https://blog.csdn.net/huangjx36/article/details/77990392

3. 泊松分布 X~P(λ)

描述单位时间内随机事件发生的次数。参数λ——单位时间(或单位面积)内随机事件的平均发生次数

  • 【例】某网站平均每分钟有2次访问,下一分钟内的访问量是λ的概率。

  表示某单位时间内,随机事件发生k次的概率。

E(X)=D(X)=λ。

记忆:一天内停车场没“泊”几辆车,太轻“松”,是因为λ、e两个人都有帽子(都有指数)。

4. 几何分布 X~G(p)

在n次伯努利试验中,第k次才首次成功的概率。是前k-1次都失败,第k次成功的概率。

  • 【例】某产品的不合格率为0.05,则首次查到不合格品时的检查次数X ~ G(0.05) 。

,  

记忆:首次成功做出几何题。

二、连续型变量的分布

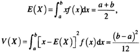
1. 均匀分布 X~U(a, b)

表示区间 [a, b] 内任意等长度区间内事件出现的概率相同的分布。

  • 【例】在一小时内,分针某时刻的角度值满足均匀分布,可研究该角度在40°~80°内的概率。

2. 指数分布

表示两次相继发生的随机事件的时间/空间间隔的概率。参数λ——单位时间(或单位面积)内随机事件的平均发生次数

  • 【例】电子元件的寿命为多少的概率;接电话的等待时间。

,     

(对期望的理解:如果平均每小时接到2个电话,则接一个电话的平均预期等待时间是半个小时。)

《泊松分布和指数分布:10分钟教程》:http://www.ruanyifeng.com/blog/2015/06/poisson-distribution.html

《二项分布、指数分布与泊松分布的关系》:https://blog.csdn.net/u013164612/article/details/82596583

《泊松分布 & 指数分布》:https://www.cnblogs.com/think-and-do/p/6483335.html

三、卷积公式

1. 实际意义与作用

每年都向一个垃圾填埋场填埋垃圾,垃圾中有毒物质会被逐渐降解,求最终某天填埋场中有毒物质的残余量则是卷积。

每年连续存钱(存钱函数)情况下,经过复利(复利函数)作用,最终得到的钱。

一个函数(如:单位响应)在另一个函数(如:输入信号)上的加权叠加。

一个持续的输入信号与自身延迟的部分的叠加。

信号函数,在系统对信号的响应(响应函数)下,得到的结果(输出)是过去产生的所有信号经过系统的处理(响应)后得到的结果的叠加。

“卷”是因为输入信号、输出信号坐标轴上下放置时,t=0的输入信号在输出的t=10处,而输入t=10的在输出的t=0处,所以需要翻转然后平移,相乘,求积。

卷积应用常被称作滤波,卷积核被称为滤波器。因为卷积可以平滑图像,如在研究服装款式时,可以去除商标、颜色等,即过滤图像中除了边缘外的所有信息,只保留衣服轮廓。卷积核不同,可以达到锐化或模糊图像的效果。


卷积神经网络-基础:https://mlnotebook.github.io/post/CNN1/

写的很详细,推荐。

2. 公式(数学三范围)

设(X,Y)是二维连续型随机变量,具有概率密度 f(x, y),则 Z=X+Y 为连续型随机变量,且概率密度为

f_{X+Y}(z)=\int_{-\infty }^{+\infty }f(z-y,y)dy\overset{X,Y ind}{\rightarrow}\int_{-\infty }^{+\infty }f_{X}(z-y)f_{Y}(y)dy

f_{X+Y}(z)=\int_{-\infty }^{+\infty }f(x,z-x)dx\overset{X,Yind}{\rightarrow} \int_{-\infty }^{+\infty }f_{X}(x)f_{Y}(z-x)dx

(ind是indenpendent的简写,表示条件 “X,Y独立”。)

2.1 推导

具体推导过程从 F 定义式入手,将二重积分拆成二次积分,然后求导得 f 是一次积分。(这里的x+y≤z不是下限,应该写在下面,表示在该区域和定义域的交集处做积分!)

F_{Z}(z)=P\left \{ Z\leqslant z \right \}=\iint_{x+y\leqslant z}f(x,y)dxdy

注:这一思路也点出了卷积公式的作用

即对于求两个连续型随机变量复合函数的密度函数,诸如 Z=X+Y,Z=Y/X,Z=XY 形式。

  • 方法[1]是从分布函数定义出发,对满足 Z≤z 区域的 f(x, y) 积分,再求导得密度函数。
  • 方法[2]是用卷积函数,直接用一次积分求出密度函数。

2.2 推广

求Z=Y/X,Z=XY的分布函数时,均可用类似的方法。如下。

相关链接:《利用推广的卷积公式解决二维连续型随机变量函数的分布》:https://kaoyan.wendu.com/shuxue/fuxi/115018.shtml

里面有对于定义法和卷积法求的具体例题,可参考。

3. 记忆

以对 dx 积分为例,卷积函数及推广式可统一定义为下式。观察发现,积分限是-∞到+∞;积分函数是两部分的乘积,一部分是密度函数,对 dx 积分,就不能出现 y,所以要把 y 换成 x、z 表达式 y=h(x,z),另一部分是表达式 y=h(x,z) 对 z 的偏导数的绝对值,这里是求偏导,也即认为 x 是常数。所以,对谁积分,就把其他变量换掉,再乘上换掉的变量表达式对 z 的偏导的绝对值。

f_{Z}(z)=\int_{-\infty }^{+\infty }f(x,h(x,z))\cdot \left | \frac{\partial h(x,z)}{\partial z} \right |dx

(内容过零碎,没有小结。)


http://chatgpt.dhexx.cn/article/GLBx91uW.shtml

相关文章

概率论中多元随机变量函数分布中的卷积公式原来是重积分换元

文章目录 重积分换元(雅克比行列式)卷积公式①:把$x$换掉 确定范围卷积公式做定义法来做Zmax{X,Y}Zmin{X,Y} 重积分换元(雅克比行列式) { x x ( u , v ) y y ( u , v ) \left\{\begin{matrix} xx(u,v)\\ \\ yy(u,v) …

详解卷积公式的物理意义

作者:Uncle Jack 日期:2020/03/15 分解思维 1. 人类科学有一个特点是喜欢使用分解的思维去理解分析很多复杂的事物,比如傅里叶级数把很多奇形怪状的函数分解成无穷多个三角函数,又比如力学分析中把单个力分解成直角坐标系中的的…

matlab作卷积的公式,卷积相关公式的matlab代码

取半径3 用matlab代码实现上式公式: length3; for Ki 1:length for Kj 1:length for Kk 1:length Ksigma(Ki,Kj,Kk)exp(-(Ki-2)^2/8-(Kj-2)^2/8-(Kk-2)^2/8); 此公式为:K(u), ρ3 end end end KONE convn(ones(size…

卷积公式和分布函数去解决Z=X+Y,Z=XY,Z=Y/X等Z的概率密度函数以及如何确定他们的范围

第三个公式ZY/X,概率密度中不是z-x是z*x(打印错了),其次适用于X和Y都是连续型 下面介绍分布函数法,是比较麻烦的一种办法,下面的f(x,y)其中如果x和y独立的话,f(x,y)f(x)*f(y) 下面这个例子全部的积分区域为x和y的&a…

用卷积公式求概率密度时确定积分区间

卷积公式的推导过程书上有,不难理解。但是在解题时,确定积分区间很是头疼,本文讲解如何确定积分区间。 首先弄清f是什么,从定义入手,对于二维连续型随机变量(X,Y),ZXY有 F(z)是一个…

二维函数Z=g(X,Y)型,用卷积公式求概率密度,积分区域如何确定(上)

二维函数Z=g(X,Y)型,用卷积公式求概率密度,积分区域如何确定(上) 因为关于二维随机变量主题内容重要,难度大,例题多,最主要是积分区间的确定是难点,同时关联卷积概念,求二维函数Z=g(X,Y)型,用卷积公式求概率密度,卷积公式容易,积分区间难以确定,所以分成上中下三…

概论_第3章_重点_卷积公式__Z=X+Y的分布

本文接上一篇, 继续介绍 连续型随机变量 Z XY的分布 设(X, Y) 的概率密度为f(x, y), 则 ZXY 的分布函数为: ~~~~~~~~~~~~ 看一个例题,如下: 可以看出, 两个均匀分布之和, ZXY 不再是均匀分布。 注意&…

随机变量和的分布—卷积公式distribution convolution的应用

在概率论里面,大家都会碰到一类问题,就是涉及到这样一类题目: 一般来说,这种类型的题目有两种方法来解决,第一种就是二重积分法;第二种就是应用卷积公式。下面我给大家列出了卷积公式: 但是…

概论_第3章_重点_两个随机变量的函数的分布__卷积公式

前面, 我详细介绍了 一个随机变量函数的概率分布 ,本文开始介绍 两个随机变量的函数。 注意, 不能写成 两个随机变量函数, 那就会误认为 两个函数, 本文主要介绍两个连续型随机变量的函数, 至于离散型&…

反卷积公式的理解

卷积基础已知。 定义 i 输入尺寸 o 输出尺寸 p 填充padding s 步长,这里面似乎应该解释为放大倍数 k 卷积核大小 卷积操作尺寸计算公式为 o (i 2p -k)/s 1 反卷积的计算公式 (1)如果 (i 2p - k)%s 0, 则关系为i s(o-1)-2pk, (2)如果(i 2p -k)%s!0, 则…

【数字信号处理】卷积编程实现 ( 卷积计算原理 | 卷积公式计算 | 使用 matlab 计算卷积 | 使用 C 语言实现卷积计算 )

文章目录 一、卷积计算原理二、卷积计算1、计算 y(0)2、计算 y(1)3、计算 y(2) 三、使用 matlab 计算卷积四、使用 C 语言实现卷积计算 一、卷积计算原理 对于 线性时不变系统 ( LTI - Linear time-invariant ) 来说 , 假设 x ( n ) x(n) x(n) 是 LTI 系统的 " 输入序列…

第二十一讲 卷积公式

一,卷积公式: 已知:,设:求:因为拉氏变换是由幂级数变过来的,所以上面的问题可以转换为下面的问题方便计算: 已知:,设:求:&#xff0…

卷积积分整理

卷积是一种计算方法 1、一维连续卷积 1.1 基本概念 h ( x ) f ( x ) ⊗ g ( x ) ∫ − ∞ ∞ f ( u ) g ( x − u ) d u h(x) f(x)\otimes g(x) \int_{-\infty}^{\infty}f(u)\times g(x-u)du h(x)f(x)⊗g(x)∫−∞∞​f(u)g(x−u)du 对于线性时不变系统,它的…

卷积神经网络卷积计算,卷积网络计算公式

卷积运算的过程是什么?卷积计算的矩阵是怎么来的,如下图,这个卷积运算示意图怎么理解? 首先,卷积核相同,输入相同,输出的特征是一样的。只不过将输出的矩阵形式换成了列向量的形式。 实质上一…

卷积计算——卷积公式

W i n p u t W_{input} Winput​和 H i n p u t H_{input} Hinput​是图片的宽和高。 W f i l t e r W_{filter} Wfilter​和 H f i l t e r H_{filter} Hfilter​是卷积核的宽和高。 P P P是padding填充的圈数。 S S S是卷积核的步长。

matlab light log,MATLAB Implementation: light-weight vs. heavy-weight 转自林达华

这次,回到一个实际一点的问题,关于matlab的实现。 同一个数学问题,在实际计算中,往往是可能有多种途径的。虽然殊途同归,但是效率很可能大相径庭(即使这些不同途径在理论上有相同的复杂度)。对于 小规模计算&#xff0…

概率漫谈 转自 林达华

(2013-01-29 18:20:49) 转载▼ 分类: 科技 一段时间,随着研究课题的深入,逐步研习现代概率理论,这是一个令人耳目一新的世界。这个世界实在太博大,我自己也在不断学习之中。这篇就算起一个头吧,后面有空的时…

麻省理工MIT大神解说数学体系;2012年计算机博士港中大林达华简历(公号回复“MIT林达华”下载彩标PDF论文)

麻省理工MIT大神解说数学体系;2012年计算机博士港中大林达华简历(公号回复“MIT林达华”下载彩标PDF论文) 原创: 林达华 数据简化DataSimp 今天 数据简化DataSimp导读:林达华是MIT计算机科学博士,读研时以贝叶斯非参建模斩获顶会NIPS2010年最佳学生论文奖、ICCV2009和2…

林达华解说数学体系

[转]MIT牛人解说数学体系 一直想对数学有个宏观把握,恰好看到这篇文章,甚是高兴。网上说,本文出自林达华,我是从这里转载的。在此基础上,将概率论小节移到实分析下,并加粗了一些语句,还补充两张…

【java】商城进货交易记录程序设计

【任务介绍】 1.任务描述 商城仓库中有多种商品,商品每次进货需要生成一条进货记录保存到文件。本案 例要求编写一个记录商城进货交易的程序,使用字节流将商场的进货信息记录在本地 的 CSV 文件中。程序具体要求如下。 程序启动后,先打印库…