前面, 我详细介绍了 一个随机变量函数的概率分布 ,本文开始介绍 两个随机变量的函数。
注意, 不能写成 两个随机变量函数, 那就会误认为 两个函数,
本文主要介绍两个连续型随机变量的函数, 至于离散型,由读者自行了解。
一 两个连续型随机变量
设X与Y为两个连续型随机变量,也可以说(X, Y)为二维连续型随机变量,f(x, y)为密度函数,
Z=X+Y. 则Z的概率密度



可以看到, 求Z的概率密度,在不确定X,Y是否相互独立,需要已知(X, Y)的密度函数f(x, y).
二 两个独立连续型随机变量,卷积公式
设(X, Y)是二维连续型随机变量,密度函数是f(x, y), X, Y的边缘密度分别为


设X与Y相互独立, 求Z=X+Y的概率密度。
分析: 因为X与Y相互独立, 有

所以, ,
.
这两个公式称为 独立随机变量和的卷积公式。 卷积公式是背记的重点, 必须牢牢记住, 必须掌握。
简单地说:x的密度乘以(z-x)为参数的y的密度,再对x求积分, 就是z的密度
或者 以(z-y)为参数的x的密度乘以y的密度, 再对y求积分, 就是z的密度。
可以看到, 哪个密度的参数简单,就对哪个积分。
现在,我们了解了卷积公式, 不再对这个概念陌生,
知道了卷积公式是应用于 两个独立连续型随机变量之和
三 例题
设二维随机变量(X, Y) 的概率密度为 , 求Z = 2X-Y的概率密度。
解: 求Z的概率密度, 即 ,
因为 0<y<2x, 即0<2x-z<2x, -2x<z-2x<0,
0<z<2x,
所以
画出图,所示

现在分情况讨论:
当z
0时, f(x, 2x-z)=0 (属于上述公式中 其他)
当 z
2时, f(x, 2x-z)=0 (属于上述公式中 其他)
0<z<2时,
所以 , 这就是Z=2X-Y的概率密度。
题2 两个指数分布之和Z=X+Y, 称为Gamma分布

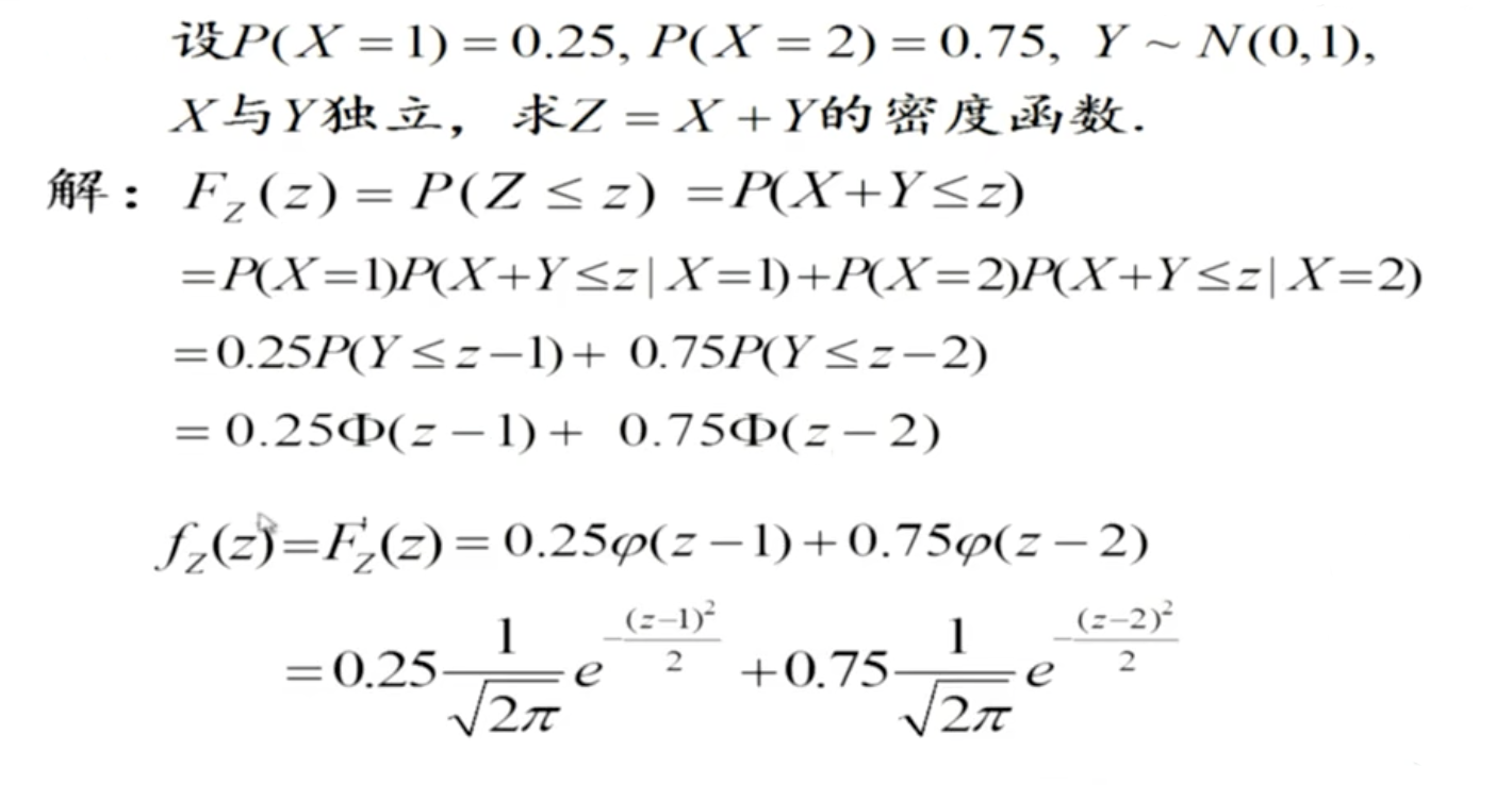
题 3, 下面的例题是 离散型 与 连续型的结合, 仔细看 解题过程。

四 解题总结: 已知二维随机变量的分布函数, 求Z的分布函数
已知 (X, Y)的分布函数,Z= g(X, Y) = aX + bY, 求Z的密度函数。
方法一: 分布函数法
方法二: 公式法
,或者