深入浅出解析变分法——一种常用的数学方法

article/2025/10/7 19:50:47

前言:笔者从事图像处理行业,总是接触到变分法这个概念,一直没有很深入的去理解这个概念,同时我看其他大佬的博文也比较糊涂,因此最近花了一些时间好好梳理了这部分数学知识。文章共3部分,主要是对变分法的解析和欧拉拉格朗日方程的推导
实际上:我的理解,变分法的核心就是欧拉拉格朗日方程,能否灵活的运用这个公式,非常重要
在这里插入图片描述
在这里插入图片描述
在这里插入图片描述

在这里插入图片描述
在这里插入图片描述
在这里插入图片描述
在这里插入图片描述
在这里插入图片描述
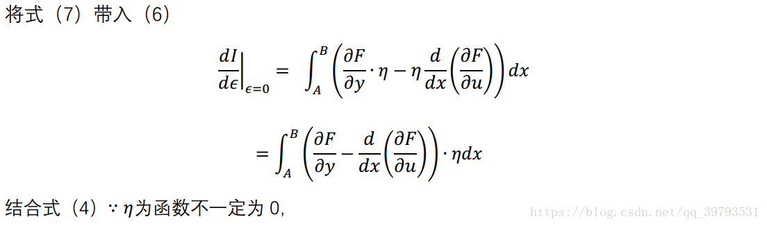
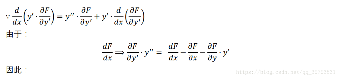
为了处理式(6)中积分的第二项
在这里插入图片描述
在这里插入图片描述
在这里插入图片描述
在这里插入图片描述
在这里插入图片描述
在这里插入图片描述
在这里插入图片描述
在这里插入图片描述


http://chatgpt.dhexx.cn/article/SHBoXprB.shtml

相关文章

变分法:在图像处理中的应用(一)

前言 最近学习稠密重建的相关知识,发现变分法通常作为一个平滑的正则项出现在残差平方和的损失函数中。而图像处理中又经常出现这类最小损失函数的优化问题,如图像分割、稠密光流、稠密重建等等,这些优化问题中都有可能涉及到变分法。因此&am…

电磁仿真原理——3. 变分法(Variationl Methods)

目录 引言线性空间的算子问题变分的计算问题欧拉公式 构造泛函的方法利用分部积分构造利用标准变分原理构造 瑞利一里茨法加权留数法本征问题变分的实际应用 引言 由于课程后面重点的矩量法和有限元法都是基于变分法进行的,变分法是它们的数学基础,实际…

泛函极值问题与变分法

泛函与泛函极值问题 平面内两点A,B,连接两点之间的曲线有很多种方式。分别用函数 f i ( x ) f_{i}(x) fi​(x)来表示。对于给定的曲线 f i ( x ) f_{i}(x) fi​(x), 那么两点之间连线的长度可以表示为 J ( f i ( x ) ) ∫ A B 1 f i ′ ( x ) 2 d x J…

【Matlab】变分法求控制器(无约束)

在动态最优控制中,目标函数是一个泛函数,求解动态最优化问题可以看做是求泛函极值的问题,求解泛函极值有一个方法,即变分法,本文章便介绍有关变分法的一些自己的学习理解。 变分法的基本概念 泛函 如果一个因变量的…

关于变分法

在介绍变分贝叶斯之前,首先以这篇博客介绍下大名鼎鼎的变分法。 参考资料主要是知乎的文章与维基百科。 变分就是函数的微分。 回顾一下传统的函数优化问题。 对于 min ⁡ x f ( x ) \min_x f(x) minx​f(x)这样的优化问题,求取最优的 x x x的做法常用…

变分法

变分法 弦平衡方程的导出,建立起横向位移u,张力T,外力f之间的关系: 方一、根据受力平衡导出 推导时用的技巧或假设: 1.泰勒展开近似 同理 2. 3.小变形假设,张力均匀,即 4.方程推导中忽略二…

变分法入门介绍

文章目录 变分法入门介绍泛函和变分法变分法求泛函极值变分的定义拉格朗日函数欧拉方程 案例分析--两点之间直线最短在Mathematica中使用变分法参考文献 变分法入门介绍 读完这篇博文你可以了解变分的基本概念,以及使用变分法求解最简泛函的极值。本文没有严密的数…

能量原理和变分法笔记1:变分法简介

上个学期在学校学了多体系统动力学的课,其中老师讲了变分原理,觉得很有启发,决定再学学相关的知识,在B站找到了一个这样的视频能量原理与变分法,做点笔记,加深一下理解。 第0章序言-微元、功和能(P2) 第1章…

机器学习——变分法、拉格朗日乘子

文章目录 一、变分法二、Lagrange 乘子2.1 一般约束的拉格朗日乘子2.2 带不等式约束的拉格朗日乘子2.3 多约束问题 一、变分法 引入 函数 y ( x ) y(x) y(x) 可以看成一种操作符,即对于任意 x x x,返回一个输出 y y y。在这种情况下,我们…

动态优化模型/ 变分法:泛函、极值、变分

目录 1 变分法的基本概念 1.1 泛函 1.2 泛函的极值 1.3 泛函的变分 1.4 极值与变分 1.5. 变分法的基本引理 2 无约束条件的泛函极值 2.1 端点固定的情况 2.2 …

变分法 (Calculus of Variations)

Contents 泛函 (functional)Calculus of VariationsReferences 泛函 (functional) 泛函 F [ y ] F[y] F[y] 是函数的函数,即它的输入是函数 y ( x ) y(x) y(x),输出是实数 F F F。这个输出值取决于一个或多个函数 (输入) 在一整个路径上的积分而非像…

变分法原理

原文链接: 浅谈变分法原理 首发于 烤羚羊的理科教室 写文章 浅谈变分原理 烤羚羊 吃老本的物理教师、民科老咸鱼 784 人 赞同了该文章 对付数学物理中极值问题,变分大法(variational principle)可谓是杀人放火居家旅行的必备工具。…

Linux运维工程师岗位前景及学习路线

Linux运维工程师岗位前景及学习路线 1.1 什么是Linux? 大家日常使用电脑听歌、打游戏娱乐或处理日常工作时,接触到最多的就是Windows操作系统,电脑如果不安装Windows系统是无法进行娱乐和工作的,所有的软件程序都必须运行在操作…

猿创征文 | Linux运维工程师的10个日常使用工具分享

猿创征文 | Linux运维工程师的10个日常使用工具分享 一、本次分享工具导航二、Adminer数据库管理工具1.Adminer介绍2.Adminer的特点3.Adminer的使用4.Adminer的使用感受 三、Memos碎片化知识管理工具1.Memos简介2.Memos的使用3.Memos的使用感受 四、Linux服务器集群管理工具——…

Linux运维

目录 第一章、Linux概述 一、Linux的概念 二、Linux的特点 三、Linux VS Windows ​四、Linux的发展优势与存在问题-------不足 五、Linux常用发行版 六、CentOS简介 七、VMWare虚拟机简介 第二章、Linux初示 一、虚拟控制台 二 、Linux启动 (1&#xf…

linux运维工程师到底是做什么的?

linux运维工程师到底是做什么的? 如果你想要进入运维管理领域这一行,首先你应该了解linux运维工程师是干什么的。他主要是对Linux下各种网络服务、应用系统、监控系统等进行自动化脚本开发的工作,并根据项目对系统进行性能优化。 linux运维工程师可以做…

Linux运维工程师必看:如何成为一个合格的运维工程师

如果想成为一名合格的运维工程师,首先我们需要了解运维主要是做什么的?如何成为一个合格的运维工程师? 1、 运维工程师主要是做什么? 运维,很容易从字面理解为运营、维护。 大部分人认为,在互联网公司中运维…

我是一名Linux系统运维工程师

我是一个IT从业者,接触Linux也有几个年头了,慢慢的成为了一名Linux运维工程师,经过这几年的努力,我觉得我应该写点东西记录一下这几年的心血,从一个小白到一名Linux运维工程师,我所经历的不是你所能想象出来…

Linux运维工程师是做什么的?运维发展前景到底怎么样?

Linux运维工程师到底是做什么的? 如果你想要进入运维管理领域这一行,首先你应该了解linux运维工程师是干什么的。他主要是对Linux下各种网络服务、应用系统、监控系统等进行自动化脚本开发的工作,并根据项目对系统进行性能优化。 Linux运维工程师可以做…

linux 运维工程师的前景怎么样?

linux运维工程师的前景怎么样? 一、我无意在这里对比其它方向哪个更有前景一点,就说说Linux运维,可以做些什么,有哪些方向。 1,运维,基本要掌握的有,操作系统,计算机原理&#xff…