动态优化模型/ 变分法:泛函、极值、变分

article/2025/10/7 21:42:01

目录

1 变分法的基本概念

1.1 泛函                                                 1.2 泛函的极值

1.3 泛函的变分                                      1.4 极值与变分

1.5. 变分法的基本引理

2 无约束条件的泛函极值

2.1 端点固定的情况                    2.2 最简泛函的几种特殊情形

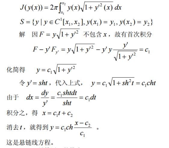
例 1 (最速降线问题)                    例 2 最小旋转面问题 、悬链线方程

2.3 最简泛函的推广

(ⅰ)含多个函数的泛函                       (ii)含高阶导数的泛函                    

(iii) 含多元函数的泛函、奥式方程

2.4 端点变动的情况(横截条件)

 3 有约束条件的泛函极值                                4 最大(小)值原理



动态过程的另一类问题是所谓的动态优化问题,这类问题一般要归结为求最优控制 函数使某个泛函达到极值。当控制函数可以事先确定为某种特殊的函数形式时,问题又 简化为求普通函数的极值。求解泛函极值问题的方法主要有变分法和最优控制理论方 法。

变分法简介

变分法是研究泛函极值问题的一种经典数学方法,有着广泛的应用。下面先介绍变 分法的基本概念和基本结果,然后介绍动态系统最优控制问题求解的必要条件和最大值 原理。

1 变分法的基本概念

1.1 泛函

 1.2 泛函的极值

1.3 泛函的变分

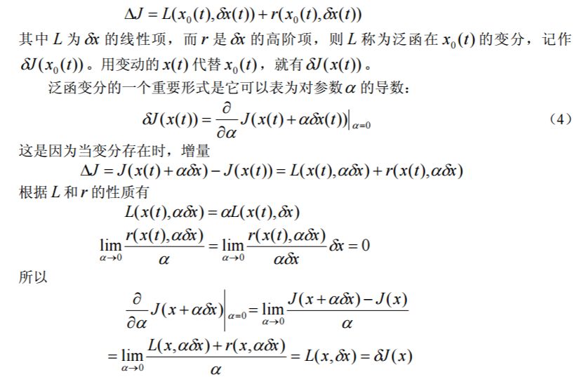
1.4 极值与变分

利用变分的表达式(4)可以得到泛函极值与变分的关系:

1.5. 变分法的基本引理

2 无约束条件的泛函极值

2.1 端点固定的情况

2.2 最简泛函的几种特殊情形

例 1 (最速降线问题)  

最速降线问题是历史上变分法开始发展的第一个问题。它是约翰·贝努里(J. Bernoulli)于 1696 年提出的。问题的提法是这样的:设 A 和 B 是铅 直平面上不在同一铅直线上的两点,在所有连结 A 和 B 的平面曲线中,求一曲线,当 质点仅受重力作用,且初速为零,沿此曲线从 A 滑行至 B 时,使所需时间最短。

例 2 最小旋转面问题 、悬链线方程

2.3 最简泛函的推广

最简泛函取极值的必要条件可以推广到其它情况。

(ⅰ)含多个函数的泛函

(ii)含高阶导数的泛函

(iii) 含多元函数的泛函、奥式方程

2.4 端点变动的情况(横截条件)

横截条件有两种常见的特殊情况:

注意,横截条件与欧拉方程联立才能构成泛函极值的必要条件。

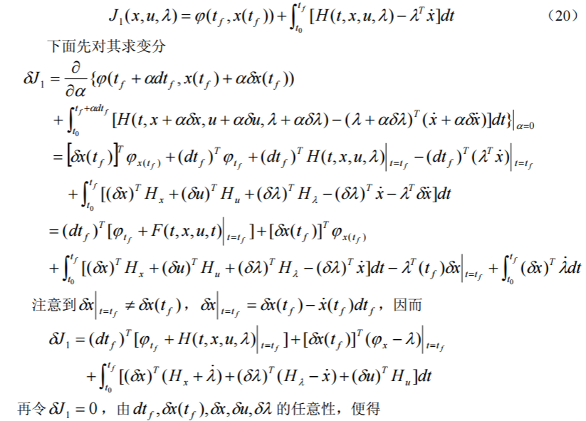
 3 有约束条件的泛函极值

在最优控制系统中,常常要涉及到有约束条件泛函的极值问题,其典型形式是对动态系统

 

4 最大(小)值原理

 


【下一节】变分法模型的运用:产设备的最大经济效益


 


http://chatgpt.dhexx.cn/article/HuAuYpeE.shtml

相关文章

变分法 (Calculus of Variations)

Contents 泛函 (functional)Calculus of VariationsReferences 泛函 (functional) 泛函 F [ y ] F[y] F[y] 是函数的函数,即它的输入是函数 y ( x ) y(x) y(x),输出是实数 F F F。这个输出值取决于一个或多个函数 (输入) 在一整个路径上的积分而非像…

变分法原理

原文链接: 浅谈变分法原理 首发于 烤羚羊的理科教室 写文章 浅谈变分原理 烤羚羊 吃老本的物理教师、民科老咸鱼 784 人 赞同了该文章 对付数学物理中极值问题,变分大法(variational principle)可谓是杀人放火居家旅行的必备工具。…

Linux运维工程师岗位前景及学习路线

Linux运维工程师岗位前景及学习路线 1.1 什么是Linux? 大家日常使用电脑听歌、打游戏娱乐或处理日常工作时,接触到最多的就是Windows操作系统,电脑如果不安装Windows系统是无法进行娱乐和工作的,所有的软件程序都必须运行在操作…

猿创征文 | Linux运维工程师的10个日常使用工具分享

猿创征文 | Linux运维工程师的10个日常使用工具分享 一、本次分享工具导航二、Adminer数据库管理工具1.Adminer介绍2.Adminer的特点3.Adminer的使用4.Adminer的使用感受 三、Memos碎片化知识管理工具1.Memos简介2.Memos的使用3.Memos的使用感受 四、Linux服务器集群管理工具——…

Linux运维

目录 第一章、Linux概述 一、Linux的概念 二、Linux的特点 三、Linux VS Windows ​四、Linux的发展优势与存在问题-------不足 五、Linux常用发行版 六、CentOS简介 七、VMWare虚拟机简介 第二章、Linux初示 一、虚拟控制台 二 、Linux启动 (1&#xf…

linux运维工程师到底是做什么的?

linux运维工程师到底是做什么的? 如果你想要进入运维管理领域这一行,首先你应该了解linux运维工程师是干什么的。他主要是对Linux下各种网络服务、应用系统、监控系统等进行自动化脚本开发的工作,并根据项目对系统进行性能优化。 linux运维工程师可以做…

Linux运维工程师必看:如何成为一个合格的运维工程师

如果想成为一名合格的运维工程师,首先我们需要了解运维主要是做什么的?如何成为一个合格的运维工程师? 1、 运维工程师主要是做什么? 运维,很容易从字面理解为运营、维护。 大部分人认为,在互联网公司中运维…

我是一名Linux系统运维工程师

我是一个IT从业者,接触Linux也有几个年头了,慢慢的成为了一名Linux运维工程师,经过这几年的努力,我觉得我应该写点东西记录一下这几年的心血,从一个小白到一名Linux运维工程师,我所经历的不是你所能想象出来…

Linux运维工程师是做什么的?运维发展前景到底怎么样?

Linux运维工程师到底是做什么的? 如果你想要进入运维管理领域这一行,首先你应该了解linux运维工程师是干什么的。他主要是对Linux下各种网络服务、应用系统、监控系统等进行自动化脚本开发的工作,并根据项目对系统进行性能优化。 Linux运维工程师可以做…

linux 运维工程师的前景怎么样?

linux运维工程师的前景怎么样? 一、我无意在这里对比其它方向哪个更有前景一点,就说说Linux运维,可以做些什么,有哪些方向。 1,运维,基本要掌握的有,操作系统,计算机原理&#xff…

MES工程师新手,该怎么学习?学习哪些技术?

一、明确两个学习大方向 1.学习生产流程,MES各功能模块的业务逻辑。 2.学习开发技术。 二、无从下手学习MES的主要原因 2.1、相对封闭的工业软件 就像前面提到了,关于MES,对于一般人而言,互联网已经不能给你提供各家MES的比较体…

电子类专业技术个人学习路线总结(大一到大三)

文章目录 说明一、硬件和pcb部分1. Altium Designer2.嘉立创EDA3.Cadence Allegro4.电路设计 二、单片机和FPGA部分1. arduino 系列单片机2. 51系列单片机3. stm32系列单片机4. msp系列单片机5.ESP系列单片机6.FPGA 三、嵌入式系统和软件部分1.freertos实时操作系统2.linux系统…

学习红客技术必备

互联网时代已悄悄来临,作为新时代的人们,我们日常生活、工作、学习方面都需要借助互联网来完成,这样,又产生一种新的问题,那就是网络安全的问题,有时我们拼命加班好不容易完成的东西,在一夜之间…

UWB分析学习

UWB技术简介 UWB技术是一种使用1GHz以上频率带宽的无线载波通信技术。它不采用正弦载波,而是利用纳秒级的非正弦波窄脉冲传输数据,因此其所占的频谱范围很大,尽管使用无线通信,但其数据传输速率可以达到几百兆比特每秒以上。使用…

【零基础】计算机三级网络技术备考指南

首先我们先要了解,三级获证条件自2018年3月起,考生只需通过三级考试即可获得三级科目的合格证书,不再要求二级证书,2013年3月及以前获得的三级各科目证书,不区分科目,可以作为四级任一科目的获证条件&#…

【计算机网络学习笔记16】网络新技术

【计算机网络学习笔记16】网络新技术 移动互联网技术 特点 终端私密性 业务使用的私密性 终端与网络的局限性 业务与终端、网络的强关联性 关键技术 终端技术 网络服务平台技术 应用服务平台技术 网络安全控制技术 参考模型 物联网技术 定义 物联网是通过各种信息传感设…

区块链技术入门学习指引

为了帮助小伙伴们系统学习区块链技术,我们建了这个索引贴,方便大家找到自己感兴趣的文章,从入门到精通一步步学习区块链开发。你也可以使用左侧的分类、标签及搜索功能。 为了帮助小伙伴们系统学习区块链技术,我们建了这个索引贴…

计算机网络技术人员素质要求,做网络技术员需要学习哪些技能

做网络技术员需要学习哪些技能 引导语:网络技术,是最先进的技术之一,下面是百分网小编为大家推荐的做网络技术员需要学习哪些技能,供大家参考。 做网络技术员需要学习哪些技能 1具备规划、构建局域网,维护管理网络系统…

如何高效学习一门新技术

如何高效学习一门新技术 最近着手学习WCF。举步维艰,故阅读了大量关于学习新技术方法的网页,最终整理如下,一共大家参考。 对于这个较大的话题,我们分两个部分介绍:学习新技术的10个建议 和 学习新技术的具体行动 学习…

Mysql数据备份与恢复——Docker版

Mysql数据备份与恢复——Docker版 ​ 工作上由于需要将旧服务器停用换用新服务器,而旧服务器上存放的mysql数据库,查看磁盘得知大概50G以上,如果采用工具将数据导出成json再到新服务上执行,其过程花费时间太长了,至少…