欧拉公式

证明过程如下
首先是泰勒展开



参考cosX和sinX的泰勒展开可以证明这个问题。
还有下面这个号称宇宙最美公式

“自然底数e,自然数1和0,虚数i还有圆周率pi,它是这么简洁,这么美丽啊!”
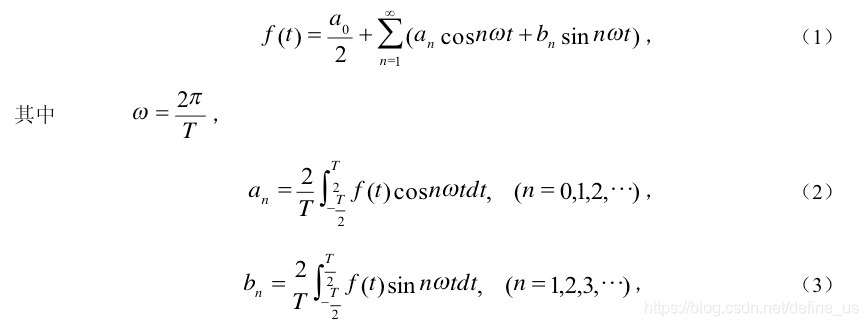
傅立叶级数

傅立叶在提出傅立叶变换时,坚持认为任何一个周期信号都可以展开成傅立叶级数。但是实际上不然,狄里赫利认为一个周期信号必须满足下面条件
- 函数在任意有限区间内连续,或只有有限个第一类间断点(当t从左或右趋于这个间断点时,函数有有限的左极限和右极限)
- 在一个周期内,函数有有限个极大值或极小值。
- x(t)在单个周期内绝对可积,即

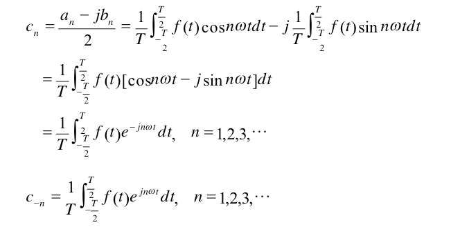
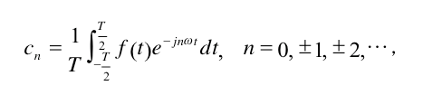
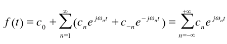
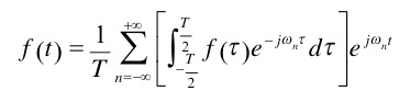
下面,我们尝试将上述式子转化为指数形式

令


上面合并也就是

我们得到了

或者写成

其中

傅立叶变换
傅立叶变换必须针对一个周期函数,或者是针对一个只有一段定义域的函数(我们可以对其进行周期延拓)。但是,如果一个函数的周期是无限大呢?那么,她就是傅立叶变换。

可以证明,如果是时域的信号是实信号,那么对应的傅立叶变换的是实部一定为偶函数。

进行频谱分析时,我们最关注的并非时实部和虚部。而是幅度和相位。
显然根据上面所说的狄里赫利条件,一个函数要能做傅立叶变换必须在正负无穷内绝对可积。当然,很多函数并不符合这个条件。

拉普拉斯变换
为了让一个并非时域绝对可积的函数进行傅立叶变换,我们将它乘以一个指数函数来进行衰减,只就是拉普拉斯变换。














