数字 一阶低通滤波器 详细分析 冰三点水

article/2025/10/12 2:13:22

数字 一阶低通滤波器 详细分析

作者:冰三点水

原创内容,转帖请注明出处: http://blog.csdn.net/u013608300/article/details/78814693

微信公众号:工程师看海

事件的起因是下图1,朋友偶然说到一阶低通滤波器,借此来详细介绍一阶低通滤波器的原理,并附上matlab仿真程序代码。图1中的一阶低通数字滤波器的公式为Eq(1):

y(n) = q*x(n) + (1-q)*y(n-1)    Eq(1)

其中,y(n)表示当前的输出,x(n)表示当前的输入,y(n-1)表示上一次的输出(图1中的符号不标准,因为一般时域用小写,频域或Z域用大写)。Eq(1)为差分方程,在分析离散系统时常用差分方程,而求解差分方程通常在z域实现,z变换使问题分析变得简单。这是一个IIR滤波器,那什么是FIR滤波器?什么是IIR滤波器呢?FIR滤波器是有限输入有限输出,换句话说当输入为0时输出也为0,系统无反馈;而IIR滤波器在输入为0时也可以有输出,由于增加了反馈回路,系统有不稳定发散的可能,因此IIR的分析要比FIR复杂一点。

                                            图1

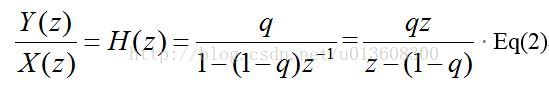
我们将公式Eq(1)进行z变换得到z域传递函数。见Eq(2),注意其中z域的大写,我们要符合规范。根据Eq(2),系统具有一个极点z=1-q和一个零点z=0,我们这里关心的是极点。当极点处于z域单位圆内时,系统是稳定的,否则系统为不稳定系统会发散。单位圆是个重要的概念,z域的单位圆等同于s域的虚轴向左卷绕成z域的单位圆(s域中极点处于虚轴左边系统稳定)。分析z域的幅频响应(IIR的相位非线性这里不表)是在单位圆上进行的,z=r*exp(jw),单位圆上模值为1,所以z=exp(jw)(e的j*w次幂),根据欧拉公式

exp(jw) = cos(w)+j*sin(w),我们得到Eq(3)。我们可以借助matlab来方便的求出H(w)的幅频响应,后面会给出代码,我们先来看结果见图2.

当q和采样时间的参数和图1保持一致时(q=0.0565 fs=3.333k即300us),幅频响应见图2,在横坐标为30hz时的幅值为0.708约等于0.707(-3dB点),我们简单分析一下图2,一阶低通滤波器的通带。。。。额。。图中看着比较窄,而且不平坦和理想一阶低通滤波器相比差距明显,但是对于高频干扰抑制效果明显,而且简单易实现,很多单片机应用中就会使用此滤波器。图3为matlab代码,具体c语言代码实现数字一阶低通滤波器网上很多,这里不贴,matlab代码链接为:http://download.csdn.net/download/u013608300/10160717

                                                                    图2

                                                              图3

下面是对加躁的正弦信号进行仿真的部分。

图4是仿真使用的代码

                                                  图4 时域仿真代码

图5是仿真的时域结果,其中黑色线是理想信号,红色线是带躁信号,蓝色线是去噪后的信号,由于使用一阶低通滤波器后的信号波形和理想波形比较接近,所以图5中识别的不是很清晰。图6是结果局部示意图,这样可以清晰地看到理想信号、滤波前的带躁信号和滤波后的“干净”信号的时域波形情况。

                                                                 图5 理想信号、带躁信号、去噪信号

                                                                      图6 理想信号、带躁信号、去噪信号

不足之处请指正,在下当虚心接受。

你虽然跑得比别人慢,但你可以跑得比别人远。——冰三点水

相关阅读

华为海思软硬件开发资料

电容6大特性参数,你知道几个?

三端子电容好在哪?

LDO基本原理(一)

于天津


http://chatgpt.dhexx.cn/article/OxKRVia5.shtml

相关文章

一阶低通滤波器的数字实现

关于一阶低通滤波器这里就不再赘述了,讲的帖子也挺多,这里记录一下一阶低通滤波器的传递函数与数字实现之间的系数转换。 一阶低通滤波器的传递函数常见为: 其中Tf为RC,并且有: 其中fwres为截止频率。 常用的数字滤波…

了解一阶低通滤波器传递函数

自动控制原理的内容很高深要逐步地学习 一阶RC滤波器的算法实现(低通和高通) https://blog.csdn.net/qq_27158179/article/details/82661297 了解一阶低通滤波器传递函数 https://blog.csdn.net/qq_27334499/article/details/52186336 最近&#xf…

一阶低通滤波器在stm32中的简单应用

首先来看一个最简单的一阶低通滤波器的电路模型: 不难推出它的传递函数: Tf与滤波器截止频率有关,但是实际程序中会变成一个参数,此时我们可以忽略它。 然而!我们的stm32接收到的信号是一串序列(离散信号&a…

数字一阶低通滤波器simulink仿真

数字一阶低通滤波器simulink仿真 原理程序所用公式滤波系数计算方法 仿真根据公式搭建使用simulink自带模型 原理 程序所用公式 y(n) q*x(n) (1-q)*y(n-1) 其中,y(n)表示当前的输出,x(n)表示当前的输入,y(n-1)表示上一次的输出&#xff0…

滞后一秒钟的一阶低通滤波器

用于应对输入跳变到5.5V,让电源工作1s钟然后停机。

matlab中的低通freqs,matlab数字低通滤波器 MATLAB一阶低通滤波器的设计

matlab数字低通滤波器 MATLAB一阶低通滤波器的设计 截止频率50Hz,设计MATLAB低通滤波器的程序及注释,谢谢 %滤波前数据t = 0:0.01:10;f=5*sin(2*pi*20*t)+5*sin(2*pi*60*t);%滤波器设计Fpass = 1; % Passband FrequencyFstop = 50; % Stopband FrequencyApass = 1;% Passban…

一阶低通滤波器与高通滤波器的使用

文章目录 1. 一阶低通滤波器2. 一阶高通滤波器3. 互补滤波器4. Simulink仿真 1. 一阶低通滤波器 其传递函数为: Y U 1 1 R C ⋅ S \frac{Y}{U}\frac{1}{1R C \cdot S} UY​1RC⋅S1​ 其中,滤波器截止频率为 ω c 1 R C \omega_c\frac{1}{R C} ωc​RC…

数字一阶低通滤波器立体解析

一阶惯性环节 一个独立储能元件和一个耗能元件的组合,就可以构成一个惯性环节。 下图就是一个常见的电路,一阶滤波电路,也可以叫一阶惯性环节,为什么叫一阶惯性环节呢? 是因为当输入信号发生突变的时候,输…

一阶低通滤波器方程_一阶有源低通滤波电路与最经典一阶低通滤波器电路图

信号通常会参杂很多干扰信号,滤波是信号处理中的一个重要前提步骤,滤波电路又称为滤波器,它的作用是尽可能减小脉动的直流电压中的交流成分,保留其直流成分,使输出电压纹波系数降低,波形变得比较平滑。换句…

一阶惯性低通滤波器

目录 1.引言 2.时域 3.频域 4.传递函数和波特图 5.数字化的实现 1.引言 一阶惯性滤波,常见的是RC电路,属于低通滤波器,加运算放大器就构成了有源低通滤波器。 可大于截止频率的信号衰减,低于截止频率的通过。主要是用来滤除…

一阶低通滤波器学习

导读:电压型磁链观测器由于物理概念清晰、简单易用而备受关注。然而电压型磁链观测器包含一纯积分项,被积项的初始相位与直流偏置都会影响积分结果。所以对传统电压型磁链观测器的改进措施有很多,本期文章主要介绍采用一阶低通滤波器来替换掉…

一阶数字低通滤波器-C语言/matlab实现

一阶低通滤波适用于较大惯性的系统,如水位,温度,低速电机等 这里先介绍一下一阶RC低通滤波器,因为一阶数字低通滤波器原理来自于这个 1.一阶硬件低通滤波器 原理:RC组成简单的一阶低通滤波电路 计算:电路…

几种常见的RC滤波器-RC低通滤波器

模型及详细使用地址:RC低通滤波器 低通滤波器 图中输入电压为Vi,输出电压为Vo,假设输出阻抗很大,不带负载,输入阻抗很小,理想情况,可以得到一下公式: 进行拉氏变换,假设…

一阶RC低通滤波器(转)

原 【滤波器学习笔记】一阶RC低通滤波 2016年08月11日 20:38:40 吖勉 阅读数&#xff1a;101584 <span class"tags-box artic-tag-box"><span class"label">标签&#xff1a;</span><a data-track-click"{&quot;mod&quo…

四阶RC低通滤波器推导及matlab仿真

四阶RC低通滤波器推导及matlab仿真 RC电路原理推导四阶RC低通滤波电路matlab仿真 RC电路原理推导 因为最近有做一些RC滤波电路的东西&#xff0c;算是将电路知识复习了下&#xff0c;也算是做一些整理&#xff0c;并且将推倒的结果在matlab上进行仿真实验&#xff0c;以验证其…

c语言rc,RC低通滤波器中R和C参数选择

描述 滤波器,顾名思义,是对波进行过滤的器件。“波”是一个非常广泛的物理概念,在电子技术领域,“波”被狭义地局限于特指描述各种物理量的取值随时间起伏变化的过程。该过程通过各类传感器的作用,被转换为电压或电流的时间函数,称之为各种物理量的时间波形,或者称之为信…

RC有源滤波器之低通滤波器(一)

记录一下&#xff0c;方便以后翻阅~ 其他类型滤波器&#xff1a; RC有源高通滤波器RC有源带阻滤波器RC有源带通滤波器 过去的滤波器都是由R、L、C等无源元件组成&#xff0c;称为无源滤波器。现在的滤波器大都是由R、C元件与有源器件&#xff08;如运算放大器&#xff09;组…

一阶电路误差分析_电子电路中的一阶RC低通滤波器

关于一阶滤波器的种种有很多资料可查,像截止频率啊,相移啊什么的,这些在这里就不再重复了。本文主要阐述一下阿呆在学习过程中曾被困扰的地方,及本人的简要分析。 本文从无源RC低通滤波器说起,以一个实例为讨论背景:有一个心电放大电路,最后一级输出阻抗50欧姆,但是该电…

无源低通滤波器

无源RC滤波器“滤除”不需要的信号&#xff0c;因为它们分离并允许仅通过其频率的正弦输入信号&#xff0c;最简单的是无源低通滤波器网络。 在低频应用&#xff08;高达100kHz&#xff09;中&#xff0c;无源滤波器通常使用简单的RC&#xff08;电阻-电容&#xff09;网络构建…

PLC信号处理系列之RC低通滤波器(梯形图)

一阶RC低通滤波器(有些文章称为一阶滞后滤波FirstOrderLagFilter)的详细算法讲解可以参看专栏的其它文章。这里主要考虑有些控制器(FX1S,工控板之类)只支持梯形图语言只能利用梯形图进行编程的。这里我们直接给出一阶RC低通滤波器的梯形图算法程序。希望对大家理解RC低通滤波…