一阶数字低通滤波器-C语言/matlab实现

article/2025/10/12 4:20:40

一阶低通滤波适用于较大惯性的系统,如水位,温度,低速电机等

这里先介绍一下一阶RC低通滤波器,因为一阶数字低通滤波器原理来自于这个

1.一阶硬件低通滤波器

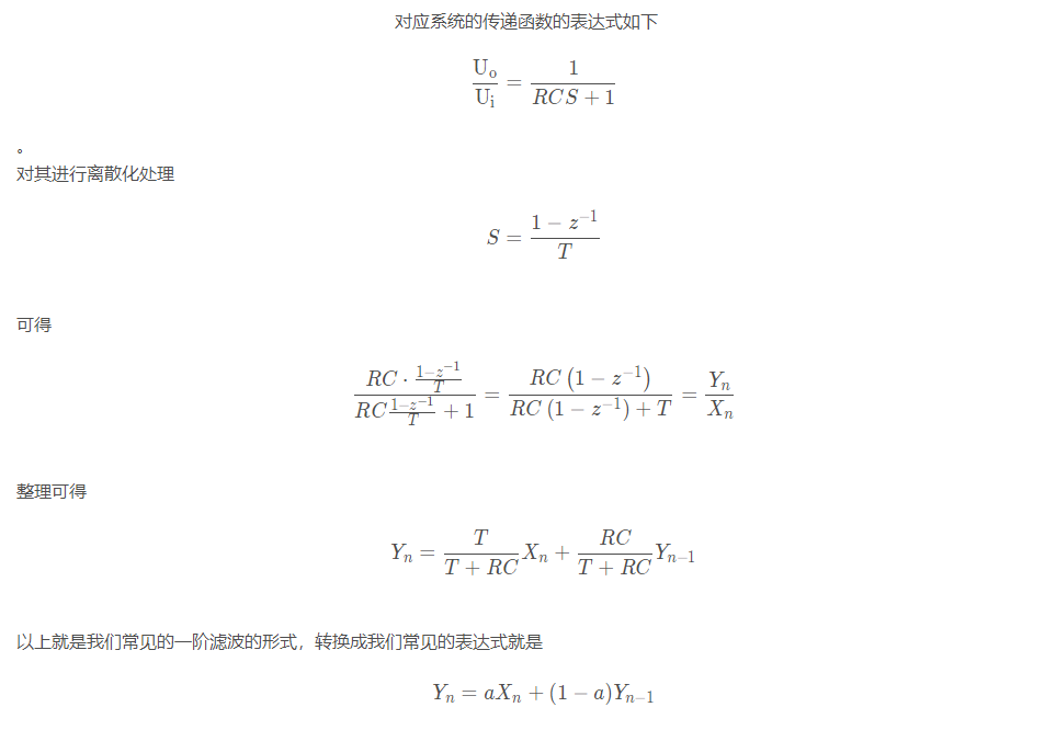
原理:RC组成简单的一阶低通滤波电路

计算:电路的传递函数,因为是模拟电路所以传递函数是在时域上连续的,需要离散化才能转到数字化实现

最后的函数表达式就是 数字式的低通滤波器

实验:

 绿色是原始信号,红色是滤波后的信号

2.一阶数字低通滤波器

 原理:一阶数字低通滤波器和一阶硬件滤波器是功能一致的,把RC滤波的电路函数进行离散化后就得到数字滤波器的表达式原型,为什么使用数字滤波器,因为这个通过软件来实现,设计灵活性高,成本低

计算公式:Y=a*x+(1-a)*Y_last

Y是本次输出,x是本次输入,Y_last是上一次输出

a是滤波系数,1-a越大,惯性(滞后)越大,说明本次的输出和上一次的输出关系越大

实验:因为是数字滤波器,这里使用matlab实现验证

3.一阶数字滤波器代码实现

代码:

t=0:0.001:1;
y1=(pi/2)*cos(2*pi*t)+(pi/64)*cos(pi*t/8+pi/3);

temp=y1+0.2*rand(size(y1));
i=2
while i<1002
    y(i)=0.8*temp(i)+0.2*y(i-1);
    i=i+1;
end

plot(t,y1,t,temp,'b',t,y,'r')

实验数据:

 滤波系数α=0.8,蓝色是输入的噪声信号,红色是滤波后的信号

可知噪声的幅度被衰减,相位略有滞后,但不明显

3.一阶低通滤波器应用限制

截止频率计算Fs=a/(2 π t),t是采样间隔时间

例如滤波系数a=0.1,t=1s即1秒采样1次  Fs=0.1/(2*3.1415*1)=0.016Hz

另外不能滤除高于二分之一采样频率的干扰信号,比如信号的采样频率为1Hz,对于0.5Hz以上的干扰信号软件滤波搞不定,这个要结合硬件RC低通滤波器来滤除


http://chatgpt.dhexx.cn/article/JoAeA4vl.shtml

相关文章

几种常见的RC滤波器-RC低通滤波器

模型及详细使用地址&#xff1a;RC低通滤波器 低通滤波器 图中输入电压为Vi&#xff0c;输出电压为Vo&#xff0c;假设输出阻抗很大&#xff0c;不带负载&#xff0c;输入阻抗很小&#xff0c;理想情况&#xff0c;可以得到一下公式&#xff1a; 进行拉氏变换&#xff0c;假设…

一阶RC低通滤波器(转)

原 【滤波器学习笔记】一阶RC低通滤波 2016年08月11日 20:38:40 吖勉 阅读数&#xff1a;101584 <span class"tags-box artic-tag-box"><span class"label">标签&#xff1a;</span><a data-track-click"{&quot;mod&quo…

四阶RC低通滤波器推导及matlab仿真

四阶RC低通滤波器推导及matlab仿真 RC电路原理推导四阶RC低通滤波电路matlab仿真 RC电路原理推导 因为最近有做一些RC滤波电路的东西&#xff0c;算是将电路知识复习了下&#xff0c;也算是做一些整理&#xff0c;并且将推倒的结果在matlab上进行仿真实验&#xff0c;以验证其…

c语言rc,RC低通滤波器中R和C参数选择

描述 滤波器,顾名思义,是对波进行过滤的器件。“波”是一个非常广泛的物理概念,在电子技术领域,“波”被狭义地局限于特指描述各种物理量的取值随时间起伏变化的过程。该过程通过各类传感器的作用,被转换为电压或电流的时间函数,称之为各种物理量的时间波形,或者称之为信…

RC有源滤波器之低通滤波器(一)

记录一下&#xff0c;方便以后翻阅~ 其他类型滤波器&#xff1a; RC有源高通滤波器RC有源带阻滤波器RC有源带通滤波器 过去的滤波器都是由R、L、C等无源元件组成&#xff0c;称为无源滤波器。现在的滤波器大都是由R、C元件与有源器件&#xff08;如运算放大器&#xff09;组…

一阶电路误差分析_电子电路中的一阶RC低通滤波器

关于一阶滤波器的种种有很多资料可查,像截止频率啊,相移啊什么的,这些在这里就不再重复了。本文主要阐述一下阿呆在学习过程中曾被困扰的地方,及本人的简要分析。 本文从无源RC低通滤波器说起,以一个实例为讨论背景:有一个心电放大电路,最后一级输出阻抗50欧姆,但是该电…

无源低通滤波器

无源RC滤波器“滤除”不需要的信号&#xff0c;因为它们分离并允许仅通过其频率的正弦输入信号&#xff0c;最简单的是无源低通滤波器网络。 在低频应用&#xff08;高达100kHz&#xff09;中&#xff0c;无源滤波器通常使用简单的RC&#xff08;电阻-电容&#xff09;网络构建…

PLC信号处理系列之RC低通滤波器(梯形图)

一阶RC低通滤波器(有些文章称为一阶滞后滤波FirstOrderLagFilter)的详细算法讲解可以参看专栏的其它文章。这里主要考虑有些控制器(FX1S,工控板之类)只支持梯形图语言只能利用梯形图进行编程的。这里我们直接给出一阶RC低通滤波器的梯形图算法程序。希望对大家理解RC低通滤波…

一阶低通滤波器 matlab,(1条消息)RC一阶低通滤波器

由于工作原因一直在接触滤波器,但是对其详细概念和原理一知半解,所以一直想好好学习一下。最近终于抽出时间搜遍各种资料,但总觉得知识点太散,不太方便系统的理解,所以自己整理了一下,希望有所帮助。 第一次编辑发博客,实在不易,word编辑好了,想直接拷贝上来还不行,公…

一阶RC低通滤波器详解(仿真+matlab+C语言实现)

加入技术交流群 领取资料 文章目录 1 预备知识2 simulink 仿真3 simulink 运行结果4 matlab实现5 matlab运行结果6 C语言实现7 C语言运行结果如果本文帮到了你,帮忙点个赞; 如果本文帮到了你,帮忙点个赞; 如果本文帮到了你,帮忙点个赞; HPF 一阶RC高通滤波器详解(仿真…

一阶电路误差分析_一阶RC低通滤波器杂记

关于一阶滤波器的种种有很多资料可查,像截止频率啊,相移啊什么的,这些在这里就不再重复了。本文主要阐述一下阿呆在学习过程中曾被困扰的地方,及本人的简要分析。 本文从无源RC低通滤波器说起,以一个实例为讨论背景:有一个心电放大电路,最后一级输出阻抗50欧姆,但是该电…

RC一阶低通滤波器

1.RC一阶低通滤波器 其中&#xff1a;1/RC 有频率的量纲。如令 代入公式&#xff08;1&#xff09;得到 截止频率 2.【滤波器学习笔记】一阶RC低通滤波

低通滤波器计算截止评率_你需要了解的RC低通滤波器

最近在设计方案时,遇到了有关滤波器的问题,好难搞定哦;所以就顺便总结下滤波器的基础知识。 滤波电路是我们在设计电路时随处可见的,尤其是简单的RC低通滤波器,我们在信号输入、输出都会随手 放置一个; 因为太常见,反而我觉得自己理解得不深刻,今天好好学习总结下。 滤…

一阶RC低通滤波器的离散化

文章目录 1、一阶RC滤波电路1.1、一阶RC电路的时域分析1.2、一阶RC电路的频域分析 2、一阶RC低通滤波器的离散化3、一阶低通数字滤波器的Simulink仿真 前面我们讲了一阶系统传函的标准形式和时域响应。今天说下生活中对应的一个一阶系统——一阶RC低通滤波器。 1、一阶RC滤波电…

低通滤波器计算截止评率_电容基础5——RC低通滤波器和RC高通滤波器

经过前文的介绍,我们已经知道电容的阻抗和信号频率有关,不同频率信号的输入下可以得到不同的阻抗。利用这个特点,可以设计滤波器。 最基础的滤波器是由电阻和电容构建的RC滤波器,有低通和高通滤波器之分,RC滤波器的截止频率的计算公式为:F(cutoff) = 1 / (2πRC)。截止频…

一阶低通滤波器方程_一阶RC低通滤波器杂记

原标题:一阶RC低通滤波器杂记 关于一阶滤波器的种种有很多资料可查,像截止频率啊,相移啊什么的,这些在这里就不再重复了。本文主要阐述一下阿呆在学习过程中曾被困扰的地方,及本人的简要分析。 本文从无源RC低通滤波器说起,以一个实例为讨论背景:有一个心电放大电路,最…

RC低通滤波器截止频率公式推导

一阶RC低通滤波器 一阶RC滤波器如图所示&#xff0c;电阻 R R R串联电容 C C C&#xff0c;输入电压记为 U i U_i Ui​&#xff0c;输出电压记为 U o U_o Uo​&#xff0c;电容容抗记为 X c 1 j ω c X_c\frac{1}{j\omega c} Xc​jωc1​&#xff0c; 根据串联分压&#xff0…

RC低通滤波器的逆系统

简 介&#xff1a; 对于RC组成的低通滤波器&#xff0c;推导出它对应的逆系统电路。并使用OPAMP在面包板上搭建测试了逆系统电路的功能。 关键词&#xff1a; RC低通&#xff0c;逆系统 #mermaid-svg-TI1mYxF1R4ZKi5cx {font-family:"trebuchet ms",verdana,arial,sa…

RC低通滤波器

转自&#xff1a;RC低通滤波器 - 知乎 RC low pass filter&#xff0c;或者叫直流滤波器(DC Filter)&#xff0c; 其作用是采用软件的方式&#xff0c;把一输入交流信号中的直流成分滤除掉。 其传递函数为: 其中K为加权因子&#xff0c;值域为 [0 ~ 1]&#xff0c;值越小由收…

RC滤波器

1、一阶RC低通滤波器 RC低通滤波器的电路及其幅频、相频特性如下图所示&#xff0c;输入电压为ex&#xff0c;输出电压为ey     其中ζRC&#xff0c;截止频率f1/2πRC。 2、一阶RC高通滤波器 其中ζRC&#xff0c;截止频率f1/2πRC。 3、二阶RC低通滤波器 二阶 RC 电路…