了解一阶低通滤波器传递函数

article/2025/10/12 2:11:05

自动控制原理的内容很高深要逐步地学习

一阶RC滤波器的算法实现(低通和高通)

https://blog.csdn.net/qq_27158179/article/details/82661297

了解一阶低通滤波器传递函数

https://blog.csdn.net/qq_27334499/article/details/52186336

最近,我一直在写关于滤波器主题的文章,虽然我专注于实际实践,但我觉得有必要解释一些重要的理论概念,以使读者理解和从中受益并分析模拟滤波器的行为。现在每个人都可以使用软件工具,使复杂的滤波器设计相对轻松,但我认为完全忽略数学基础并不是因为它对完成许多现实设计任务不是绝对必要的。

s域

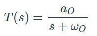
滤波器的响应可以用s域传递函数表示;变量s来自拉普拉斯变换,代表复杂的频率。例如:

 

该传递函数是一阶低通滤波器频域特性的数学描述。s域表达式有效地传达了一般特征,如果我们想要计算特定的振幅和相位信息,我们所要做的就是用jω代替s,然后在给定的角频率下评估表达式。因为从未见过具有以K和ωO表示的元件值的电路图,所以你可能想知道其中K和ωO来自哪里。这里的想法是K和ωO就像一个模板的部分,并在接下来的部分,我们将看看模板和电路图之间的关系。

s域电路分析

RC低通滤波器是与频率相关的分压器。 在s域分析中,电阻器的阻抗为R,电容器的阻抗为 1/sC。

 

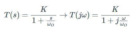
如果比较这个表达式与标准化传递函数,可以看出K = 1且ωO= 1/RC。 一旦你知道K和ωO代表什么,使用标准化形式的便利就变得清晰了:K是电路在DC上的增益,ωO是截止频率。 因此,通过比较电路的传递函数与标准化传递函数,可以立即为一阶低通滤波器的两个定义特征表达式,即DC增益和截止频率。另一种标准形式的一阶低通传递函数如下:

 

如果我们将分子和分母除以RC,我们可以将电路的传递函数拟合到这个模板中:

 

因此,aO = 1/RC和ωO= 1/RC。这种形式并没有直接给DC增益,但如果我们评估s = 0的标准化表达式,我们就有了:

 

这意味着我们的RC滤波器的DC增益为(1/RC)/(1/RC)= 1,DC的单位增益正是我们对无源低通滤波器的期望。

理解截止频率

我们已经看到ωO在标准传递函数表示截止频率,但这一事实的数学基础是什么?首先,让我们将标准的s域传递函数转换为等效的jω传递函数。

 

现在让我们以截止频率评估表达式。

 

分母是一个复数,因此振幅很大。

 

由于K是DC增益,幅度为1V的极低频输入信号将导致幅度为KV的输出信号。 如果输入频率增加到每秒ωO弧度,输出幅度将为K/√2。 K/√2对应于-3 dB,你可能知道,截止频率的另一个名称是-3 dB频率。

 

一阶无源低通滤波器的振幅响应图,当它被绘制为以dB为单位的振幅与对数频率的关系。

这种直接的传递函数分析清楚地证明了截止频率只是滤波器振幅响应相对于极低频振幅响应降低3dB的频率。

截止频率和相移

低通滤波器的截止频率对于电路的相位响应也具有特殊意义。如果我们以x + jy的形式写出一个复数,我们按如下方式计算相位:

 

因此,我们的RC低通滤波器的整体相位响应是

 

如果我们在ω = ωO处评估这个表达式,相移是

 

当相移相对于对数频率时一阶无源低通滤波器的相位响应图。

由一阶低通滤波器产生的最大相移为90°,因此该分析告诉我们截止频率是电路相位响应的“中心”,换句话说,它是滤波器的频率产生一半的最大相移。

结论

我希望你对s域概念和传递函数分析的这一简要介绍感兴趣。模拟滤波器电路的数学基础起初可能有点困难,但我认为值得你花些时间熟悉这些主题。


http://chatgpt.dhexx.cn/article/3LBDQNB6.shtml

相关文章

一阶低通滤波器在stm32中的简单应用

首先来看一个最简单的一阶低通滤波器的电路模型: 不难推出它的传递函数: Tf与滤波器截止频率有关,但是实际程序中会变成一个参数,此时我们可以忽略它。 然而!我们的stm32接收到的信号是一串序列(离散信号&a…

数字一阶低通滤波器simulink仿真

数字一阶低通滤波器simulink仿真 原理程序所用公式滤波系数计算方法 仿真根据公式搭建使用simulink自带模型 原理 程序所用公式 y(n) q*x(n) (1-q)*y(n-1) 其中,y(n)表示当前的输出,x(n)表示当前的输入,y(n-1)表示上一次的输出&#xff0…

滞后一秒钟的一阶低通滤波器

用于应对输入跳变到5.5V,让电源工作1s钟然后停机。

matlab中的低通freqs,matlab数字低通滤波器 MATLAB一阶低通滤波器的设计

matlab数字低通滤波器 MATLAB一阶低通滤波器的设计 截止频率50Hz,设计MATLAB低通滤波器的程序及注释,谢谢 %滤波前数据t = 0:0.01:10;f=5*sin(2*pi*20*t)+5*sin(2*pi*60*t);%滤波器设计Fpass = 1; % Passband FrequencyFstop = 50; % Stopband FrequencyApass = 1;% Passban…

一阶低通滤波器与高通滤波器的使用

文章目录 1. 一阶低通滤波器2. 一阶高通滤波器3. 互补滤波器4. Simulink仿真 1. 一阶低通滤波器 其传递函数为: Y U 1 1 R C ⋅ S \frac{Y}{U}\frac{1}{1R C \cdot S} UY​1RC⋅S1​ 其中,滤波器截止频率为 ω c 1 R C \omega_c\frac{1}{R C} ωc​RC…

数字一阶低通滤波器立体解析

一阶惯性环节 一个独立储能元件和一个耗能元件的组合,就可以构成一个惯性环节。 下图就是一个常见的电路,一阶滤波电路,也可以叫一阶惯性环节,为什么叫一阶惯性环节呢? 是因为当输入信号发生突变的时候,输…

一阶低通滤波器方程_一阶有源低通滤波电路与最经典一阶低通滤波器电路图

信号通常会参杂很多干扰信号,滤波是信号处理中的一个重要前提步骤,滤波电路又称为滤波器,它的作用是尽可能减小脉动的直流电压中的交流成分,保留其直流成分,使输出电压纹波系数降低,波形变得比较平滑。换句…

一阶惯性低通滤波器

目录 1.引言 2.时域 3.频域 4.传递函数和波特图 5.数字化的实现 1.引言 一阶惯性滤波,常见的是RC电路,属于低通滤波器,加运算放大器就构成了有源低通滤波器。 可大于截止频率的信号衰减,低于截止频率的通过。主要是用来滤除…

一阶低通滤波器学习

导读:电压型磁链观测器由于物理概念清晰、简单易用而备受关注。然而电压型磁链观测器包含一纯积分项,被积项的初始相位与直流偏置都会影响积分结果。所以对传统电压型磁链观测器的改进措施有很多,本期文章主要介绍采用一阶低通滤波器来替换掉…

一阶数字低通滤波器-C语言/matlab实现

一阶低通滤波适用于较大惯性的系统,如水位,温度,低速电机等 这里先介绍一下一阶RC低通滤波器,因为一阶数字低通滤波器原理来自于这个 1.一阶硬件低通滤波器 原理:RC组成简单的一阶低通滤波电路 计算:电路…

几种常见的RC滤波器-RC低通滤波器

模型及详细使用地址:RC低通滤波器 低通滤波器 图中输入电压为Vi,输出电压为Vo,假设输出阻抗很大,不带负载,输入阻抗很小,理想情况,可以得到一下公式: 进行拉氏变换,假设…

一阶RC低通滤波器(转)

原 【滤波器学习笔记】一阶RC低通滤波 2016年08月11日 20:38:40 吖勉 阅读数&#xff1a;101584 <span class"tags-box artic-tag-box"><span class"label">标签&#xff1a;</span><a data-track-click"{&quot;mod&quo…

四阶RC低通滤波器推导及matlab仿真

四阶RC低通滤波器推导及matlab仿真 RC电路原理推导四阶RC低通滤波电路matlab仿真 RC电路原理推导 因为最近有做一些RC滤波电路的东西&#xff0c;算是将电路知识复习了下&#xff0c;也算是做一些整理&#xff0c;并且将推倒的结果在matlab上进行仿真实验&#xff0c;以验证其…

c语言rc,RC低通滤波器中R和C参数选择

描述 滤波器,顾名思义,是对波进行过滤的器件。“波”是一个非常广泛的物理概念,在电子技术领域,“波”被狭义地局限于特指描述各种物理量的取值随时间起伏变化的过程。该过程通过各类传感器的作用,被转换为电压或电流的时间函数,称之为各种物理量的时间波形,或者称之为信…

RC有源滤波器之低通滤波器(一)

记录一下&#xff0c;方便以后翻阅~ 其他类型滤波器&#xff1a; RC有源高通滤波器RC有源带阻滤波器RC有源带通滤波器 过去的滤波器都是由R、L、C等无源元件组成&#xff0c;称为无源滤波器。现在的滤波器大都是由R、C元件与有源器件&#xff08;如运算放大器&#xff09;组…

一阶电路误差分析_电子电路中的一阶RC低通滤波器

关于一阶滤波器的种种有很多资料可查,像截止频率啊,相移啊什么的,这些在这里就不再重复了。本文主要阐述一下阿呆在学习过程中曾被困扰的地方,及本人的简要分析。 本文从无源RC低通滤波器说起,以一个实例为讨论背景:有一个心电放大电路,最后一级输出阻抗50欧姆,但是该电…

无源低通滤波器

无源RC滤波器“滤除”不需要的信号&#xff0c;因为它们分离并允许仅通过其频率的正弦输入信号&#xff0c;最简单的是无源低通滤波器网络。 在低频应用&#xff08;高达100kHz&#xff09;中&#xff0c;无源滤波器通常使用简单的RC&#xff08;电阻-电容&#xff09;网络构建…

PLC信号处理系列之RC低通滤波器(梯形图)

一阶RC低通滤波器(有些文章称为一阶滞后滤波FirstOrderLagFilter)的详细算法讲解可以参看专栏的其它文章。这里主要考虑有些控制器(FX1S,工控板之类)只支持梯形图语言只能利用梯形图进行编程的。这里我们直接给出一阶RC低通滤波器的梯形图算法程序。希望对大家理解RC低通滤波…

一阶低通滤波器 matlab,(1条消息)RC一阶低通滤波器

由于工作原因一直在接触滤波器,但是对其详细概念和原理一知半解,所以一直想好好学习一下。最近终于抽出时间搜遍各种资料,但总觉得知识点太散,不太方便系统的理解,所以自己整理了一下,希望有所帮助。 第一次编辑发博客,实在不易,word编辑好了,想直接拷贝上来还不行,公…

一阶RC低通滤波器详解(仿真+matlab+C语言实现)

加入技术交流群 领取资料 文章目录 1 预备知识2 simulink 仿真3 simulink 运行结果4 matlab实现5 matlab运行结果6 C语言实现7 C语言运行结果如果本文帮到了你,帮忙点个赞; 如果本文帮到了你,帮忙点个赞; 如果本文帮到了你,帮忙点个赞; HPF 一阶RC高通滤波器详解(仿真…