一阶低通滤波器方程_一阶有源低通滤波电路与最经典一阶低通滤波器电路图

article/2025/10/12 4:11:58

信号通常会参杂很多干扰信号,滤波是信号处理中的一个重要前提步骤,滤波电路又称为滤波器,它的作用是尽可能减小脉动的直流电压中的交流成分,保留其直流成分,使输出电压纹波系数降低,波形变得比较平滑。换句话说,凡是可以使信号中特定的频率成分通过,而极大地衰减或抑制其他频率成分的装置或系统都称之为滤波器。

仅由电阻、电容、电感这些无源元件组成的滤波电路称为无源滤波器。如果滤波电路中含有有源元件,如集成运放等,则称为有源滤波器。

而低通滤波器的基本电路特点是,只允许低于截止频率的信号通过。 一阶有源低通滤波电路是最简单滤波电路, 一阶有源低通滤波电路也是组成二阶、高阶有源低通滤波电路的最小单元。

一阶有源低通滤波电路分析:A

8ac9f9a1a3fb3f9c16aa48f7bc97c095.png

因为 Vs1 的周期大于 Vs2 ,所以最后输出将 Vs2 滤去,并将原输入放大,得到V0。

一阶有源低通滤波电路分析:B

见下图1(a)所示电路为一阶有源低通滤波电路。

fd1a8f0189214d2351cf7d9f598215ec.png

6f448aa773f56a8d88b2719bfa096d9c.png

图1(a) 电路图图1(b) 频幅特性

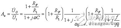
由RC电路可知

c3f5b319fbb533b7a91a37ca37eadeb0.png(1)

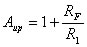
根据同相比例运算电路的运算关系,有

969ffa6a138b2dfff9ba32e20bc18c4c.png=(1+

affcc8b731671bca6f3f1f3b6ccffff1.png)

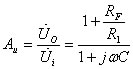
dad8c56563ed3b00106632a3d503d033.png,故滤波器的电压传递函数为

a45d3d77f8869aea28cb60360b98eeae.png(2)

a143859879562a3a94d3861edf2ffe8e.png,即

590783541e687f15d9abfe35e52579f1.png,上式可变为

114b0f70f3e4c998378b2865c5889a14.png(3)

当f=0时,

4ef80730cea73282391d3ae9e46a4b29.png,其中

a1da99ae087b37a73f97d75bacd502a2.png为电路的通带放大倍数。

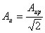
当f=f0时,

2a72ff4b3924893a336b1c1ba5ac37bc.png

当f=∞时,

0e874baf644a55fedaddac743fc8b6df.png

其幅频特性如图1(b)所示。

一阶低通Butterworth滤波电路

下图a和b是用运算放大器设计的两种一阶Butterworth滤波电路的电路。图a是反相输入一阶低通滤波器,实际上就是一个积分电路,其分析方法与一阶积分电路相同。

一阶有源低通滤波器升级二阶有源低通滤波器

为改善滤波效果,使f》fo时,信号衰减的更快,一般在图1(a)所示的一阶低通滤波器的基础上再增加一级RC电路就构成二阶有源低通滤波器,如图2所示。

e365fbf13dc26c78850571e6fdc39319.png

1e85002628f1d03d9651cc9a2c113296.png

图2(a) 电路图图1(b) 频幅特性

1b9ee8eef7a993e27ebdf92c08a1b3a8.png

4939bfd3cdbacb72ebf247a5fe014b14.png


http://chatgpt.dhexx.cn/article/pKyxO603.shtml

相关文章

一阶惯性低通滤波器

目录 1.引言 2.时域 3.频域 4.传递函数和波特图 5.数字化的实现 1.引言 一阶惯性滤波,常见的是RC电路,属于低通滤波器,加运算放大器就构成了有源低通滤波器。 可大于截止频率的信号衰减,低于截止频率的通过。主要是用来滤除…

一阶低通滤波器学习

导读:电压型磁链观测器由于物理概念清晰、简单易用而备受关注。然而电压型磁链观测器包含一纯积分项,被积项的初始相位与直流偏置都会影响积分结果。所以对传统电压型磁链观测器的改进措施有很多,本期文章主要介绍采用一阶低通滤波器来替换掉…

一阶数字低通滤波器-C语言/matlab实现

一阶低通滤波适用于较大惯性的系统,如水位,温度,低速电机等 这里先介绍一下一阶RC低通滤波器,因为一阶数字低通滤波器原理来自于这个 1.一阶硬件低通滤波器 原理:RC组成简单的一阶低通滤波电路 计算:电路…

几种常见的RC滤波器-RC低通滤波器

模型及详细使用地址:RC低通滤波器 低通滤波器 图中输入电压为Vi,输出电压为Vo,假设输出阻抗很大,不带负载,输入阻抗很小,理想情况,可以得到一下公式: 进行拉氏变换,假设…

一阶RC低通滤波器(转)

原 【滤波器学习笔记】一阶RC低通滤波 2016年08月11日 20:38:40 吖勉 阅读数&#xff1a;101584 <span class"tags-box artic-tag-box"><span class"label">标签&#xff1a;</span><a data-track-click"{&quot;mod&quo…

四阶RC低通滤波器推导及matlab仿真

四阶RC低通滤波器推导及matlab仿真 RC电路原理推导四阶RC低通滤波电路matlab仿真 RC电路原理推导 因为最近有做一些RC滤波电路的东西&#xff0c;算是将电路知识复习了下&#xff0c;也算是做一些整理&#xff0c;并且将推倒的结果在matlab上进行仿真实验&#xff0c;以验证其…

c语言rc,RC低通滤波器中R和C参数选择

描述 滤波器,顾名思义,是对波进行过滤的器件。“波”是一个非常广泛的物理概念,在电子技术领域,“波”被狭义地局限于特指描述各种物理量的取值随时间起伏变化的过程。该过程通过各类传感器的作用,被转换为电压或电流的时间函数,称之为各种物理量的时间波形,或者称之为信…

RC有源滤波器之低通滤波器(一)

记录一下&#xff0c;方便以后翻阅~ 其他类型滤波器&#xff1a; RC有源高通滤波器RC有源带阻滤波器RC有源带通滤波器 过去的滤波器都是由R、L、C等无源元件组成&#xff0c;称为无源滤波器。现在的滤波器大都是由R、C元件与有源器件&#xff08;如运算放大器&#xff09;组…

一阶电路误差分析_电子电路中的一阶RC低通滤波器

关于一阶滤波器的种种有很多资料可查,像截止频率啊,相移啊什么的,这些在这里就不再重复了。本文主要阐述一下阿呆在学习过程中曾被困扰的地方,及本人的简要分析。 本文从无源RC低通滤波器说起,以一个实例为讨论背景:有一个心电放大电路,最后一级输出阻抗50欧姆,但是该电…

无源低通滤波器

无源RC滤波器“滤除”不需要的信号&#xff0c;因为它们分离并允许仅通过其频率的正弦输入信号&#xff0c;最简单的是无源低通滤波器网络。 在低频应用&#xff08;高达100kHz&#xff09;中&#xff0c;无源滤波器通常使用简单的RC&#xff08;电阻-电容&#xff09;网络构建…

PLC信号处理系列之RC低通滤波器(梯形图)

一阶RC低通滤波器(有些文章称为一阶滞后滤波FirstOrderLagFilter)的详细算法讲解可以参看专栏的其它文章。这里主要考虑有些控制器(FX1S,工控板之类)只支持梯形图语言只能利用梯形图进行编程的。这里我们直接给出一阶RC低通滤波器的梯形图算法程序。希望对大家理解RC低通滤波…

一阶低通滤波器 matlab,(1条消息)RC一阶低通滤波器

由于工作原因一直在接触滤波器,但是对其详细概念和原理一知半解,所以一直想好好学习一下。最近终于抽出时间搜遍各种资料,但总觉得知识点太散,不太方便系统的理解,所以自己整理了一下,希望有所帮助。 第一次编辑发博客,实在不易,word编辑好了,想直接拷贝上来还不行,公…

一阶RC低通滤波器详解(仿真+matlab+C语言实现)

加入技术交流群 领取资料 文章目录 1 预备知识2 simulink 仿真3 simulink 运行结果4 matlab实现5 matlab运行结果6 C语言实现7 C语言运行结果如果本文帮到了你,帮忙点个赞; 如果本文帮到了你,帮忙点个赞; 如果本文帮到了你,帮忙点个赞; HPF 一阶RC高通滤波器详解(仿真…

一阶电路误差分析_一阶RC低通滤波器杂记

关于一阶滤波器的种种有很多资料可查,像截止频率啊,相移啊什么的,这些在这里就不再重复了。本文主要阐述一下阿呆在学习过程中曾被困扰的地方,及本人的简要分析。 本文从无源RC低通滤波器说起,以一个实例为讨论背景:有一个心电放大电路,最后一级输出阻抗50欧姆,但是该电…

RC一阶低通滤波器

1.RC一阶低通滤波器 其中&#xff1a;1/RC 有频率的量纲。如令 代入公式&#xff08;1&#xff09;得到 截止频率 2.【滤波器学习笔记】一阶RC低通滤波

低通滤波器计算截止评率_你需要了解的RC低通滤波器

最近在设计方案时,遇到了有关滤波器的问题,好难搞定哦;所以就顺便总结下滤波器的基础知识。 滤波电路是我们在设计电路时随处可见的,尤其是简单的RC低通滤波器,我们在信号输入、输出都会随手 放置一个; 因为太常见,反而我觉得自己理解得不深刻,今天好好学习总结下。 滤…

一阶RC低通滤波器的离散化

文章目录 1、一阶RC滤波电路1.1、一阶RC电路的时域分析1.2、一阶RC电路的频域分析 2、一阶RC低通滤波器的离散化3、一阶低通数字滤波器的Simulink仿真 前面我们讲了一阶系统传函的标准形式和时域响应。今天说下生活中对应的一个一阶系统——一阶RC低通滤波器。 1、一阶RC滤波电…

低通滤波器计算截止评率_电容基础5——RC低通滤波器和RC高通滤波器

经过前文的介绍,我们已经知道电容的阻抗和信号频率有关,不同频率信号的输入下可以得到不同的阻抗。利用这个特点,可以设计滤波器。 最基础的滤波器是由电阻和电容构建的RC滤波器,有低通和高通滤波器之分,RC滤波器的截止频率的计算公式为:F(cutoff) = 1 / (2πRC)。截止频…

一阶低通滤波器方程_一阶RC低通滤波器杂记

原标题:一阶RC低通滤波器杂记 关于一阶滤波器的种种有很多资料可查,像截止频率啊,相移啊什么的,这些在这里就不再重复了。本文主要阐述一下阿呆在学习过程中曾被困扰的地方,及本人的简要分析。 本文从无源RC低通滤波器说起,以一个实例为讨论背景:有一个心电放大电路,最…

RC低通滤波器截止频率公式推导

一阶RC低通滤波器 一阶RC滤波器如图所示&#xff0c;电阻 R R R串联电容 C C C&#xff0c;输入电压记为 U i U_i Ui​&#xff0c;输出电压记为 U o U_o Uo​&#xff0c;电容容抗记为 X c 1 j ω c X_c\frac{1}{j\omega c} Xc​jωc1​&#xff0c; 根据串联分压&#xff0…