首页
chatGPT知识
chatGPT问答
chatGPT百科
编程日记
25 参数估计——样本量的确定
article
/
2025/11/8 18:58:50
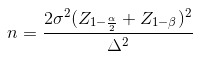
1 估计总体均值时样本量的确定
2 、估计总体比例时样本量的确定
http://chatgpt.dhexx.cn/article/02GcfIL2.shtml
相关文章
详细讲解ABTest假设检验【实验设计结论分析】数据分析
大家早上好,本人姓吴,如果觉得文章写得还行的话也可以叫我吴老师。欢迎大家跟我一起走进数据分析的世界,一起学习! 感兴趣的朋友可以关注我或者我的数据分析专栏,里面有许多优质的文章跟大家分享哦。 目录 一、实验设计…
阅读更多...
增长黑客AB-Test系统(四)——AB-Test 最小样本量
作者:livan 来源:数据python与算法 前沿 统计计算主要应用在效果评估领域。客户经过分流之后在各个试验组中产生数据,统计的作用即为查看对应组的样本量是否达到最小样本量,数据之间是否存在显著性差异,以及进行差异大…
阅读更多...
A/B test --计算实验所需样本量
如果懒得看下方内容,或者是看完了还有些许不懂,可以直接用这个好用又免费的计算器来计算 https://www.evanmiller.org/ab-testing/sample-size.html 新加一个 https://www.eyeofcloud.com/abtest-widget/124.html …………………………………………………
阅读更多...
如何确定抽样统计的最小样本量(附:随机抽样统计的抽样误差Excel计算表格)
在电视节目中经常看到关于选举的报道中经常会后有支持率的数字,例如:调查结果为 a方支持率为45.3%;b方支持率为30.2%;c方支持率为8.5%;...最后都会说明一下,此次电话调查的数量2300,置信度为95%﹐最大容许误差为2.5%,这就是抽样调查的典型情景:一个大的集合(比如:数…
阅读更多...
你们要的最小样本量计算来了。
总第179篇/张俊红 这一篇我们讲讲统计中的最小样本量计算。大家先想想为什么叫最小样本量,而不是最大或者直接叫样本量计算呢? 这是因为最小样本量这个概念主要用在抽样统计中,抽样统计为了研究某一事物的情况而从整体中抽取部分样本来进行研…
阅读更多...
问卷分析预调查之确定样本容量
在问卷预调查,不仅能够检验出不符合的题项,也能确定调查所需要的样本容量,根据以下公式可以确定 公式介绍:n 表示样本数量, Z 表示置信水平, σ 表示样本总量中某一特定属性样本的比例(比如说在…
阅读更多...
如何确定抽样的样本数量
总体为9200人,预设的整体置信度为95%,最大容许误差为正负5%,求样本容量 网上搜到的第一个有价值的内容如下: 题目 某公司对60000人中的吸烟比例做调查,置信度为95%的情况下,若要使误差保持在4%以内,需要的最小样本容量是 这里并…
阅读更多...
样本容量的确定
• 样本容量: 样本中个体的数目或组成抽样总体的单位数。 • 必要样本容量 : 亦称必要样本单位数,是指满足调查目的要求的情况下,至少需要选择的样本单位数。 一、估计总体均值时样本容量的确定 1.重复抽样 一旦确定了置信水平&…
阅读更多...
Topic 5. 样本量确定及分割
每次做方案设计的时候,都会涉及到一个尖锐的问题,客户会问我得用多少的样本量才能发文章,这个嘛,事情从理论上回答还是有依据的,但是从实际出发永远都是 “理想很丰满,现实很骨感!” 。不过还是…
阅读更多...
参数估计-两个参数总体区间估计、样本量确定(三)
2019独角兽企业重金招聘Python工程师标准>>> 一、两个总体均值之差的区间估计 1、大样本估计 两个总体为正态分布,或两个总体不服正态分布但两个样本都为大样本,根据抽样分布知识可知 两个样本均值只差 服从期望为(μ1-μ2)、方差为( )的正态分布,转化为标准…
阅读更多...
ABtest如何确定样本量?
如何计算样本量 商业分析的面试,很少会让面试者直接默写公式并进行计算。为啥?一,面试官八成自己也不记得公式。二,真实工作都是用网上的计算器,一键呵成,无需手算。 网上随手找的的sample size计算器 那么…
阅读更多...
Topic 5. SCI 文章之样本量确定及分割
**每次做方案设计的时候,都会涉及到一个尖锐的问题,客户会问我得用多少的样本量才能发文章,这个嘛,事情从理论上回答还是有依据的,但是从实际出发永远都是 “理想很丰满,现实很骨感!” 。不过还…
阅读更多...
AB实验样本量确定
文章目录 1. 统计功效与关键概念2. Z检验样本量确定2.1 统计功效公式推导2.2 样本量计算公式2.3 求解样本量 3. 卡方检验样本量确定3.1 求解样本量 4. 简要总结Reference 在数据分析过程中, 一个完整的闭环是从数据中得到洞察,根据洞察得到某种假设&…
阅读更多...
临床试验中样本量确定的统计学考虑
样本量确定(sample size determination),又称样本量估计(sample size estimation),是指为满足统计的准确性和可靠性(I类错误的控制和检验效能的保证)计算出所需的样本量,它是临床试验设计中一个极为重要的环节,直接关系到研究结论…
阅读更多...
在前端中的缓存
http缓存 http缓存基本认识 http缓存分为强缓存和协商缓存 1、浏览器在加载资源时,先根据这个资源的一些http header判断它是否命中强缓存,强缓存如果命中,浏览器直接从自己的缓存中读取资源,不会发请求到服务器。比如某个css文…
阅读更多...
前端缓存方案
前端几种本地缓存机制_蜗牛小前的博客-CSDN博客_前端本地缓存在漫长的前端开发过程中,我们常用的几种本地缓存机制:Cookie,LocalStorge,SessionStorge 1.Cookie的特点1)cookie的大小受限制,cookie大小被限制在4KB,不能…
阅读更多...
【前端】深入浅出缓存原理
缓存的基本原理 对于前端来说,缓存主要分为浏览器缓存(比如 localStorage、sessionStorage、cookie等等)以及http缓存,也是本文主要讲述的。 当然叫法也不一样,比如客户端缓存大概包括浏览器缓存和http缓存 所谓htt…
阅读更多...
前端浏览器缓存机制
目录 1 缓存定义及其优点2 强缓存2.1 expires 和 Cache-Control 3 协商缓存4 浏览器缓存位置 1 缓存定义及其优点 什么是缓存? 当我们第一次访问网站的时候,电脑会把网站上的图片和数据下载到电脑上,当我们再次访问的时候,网站就会…
阅读更多...
前端缓存机制
目录 前言 目的 缓存过程分析 强制缓存(强缓存) 强制缓存的缓存规则 浏览器的缓存存放在哪里 协商缓存 更新缓存 合理应用缓存 前言 对于浏览器缓存,每个前端开发者应该都不会陌生,同时它也是我们在日常开发中存在的一个…
阅读更多...
前端缓存【web缓存】
前端缓存--http缓存 web缓存http缓存定义优点缺点http缓存类型 强缓存Expires实现的强缓存Cache-control实现的强缓存 协商缓存last-modified实现的协商缓存ETag实现的协商缓存缺点 设置缓存文件缓存(html、js、css、png)总结 web缓存 web缓存主要指:浏…
阅读更多...
推荐文章
【ChatGPT使用笔记】 ChatGPT回答不完整,如何获取后续的内容
被封了?教你如何解封chatgpt账号,中英版都有
chatGPT陪你读源码
ChatGPT爆火网络背后的故事?
如何使用chatgpt4.0?
ChatGPT实现代码生成
uniapp 离线打包 添加文件读写权限
python 文件读写操作总结
Linux监控文件读写
C#文件读写操作 [详细]
Qml读写文件
文件读写基本流程