LRU算法和LFU算法

article/2025/10/17 0:17:02

文章目录

  • 1、LRU算法
  • 2、LFU算法

1、LRU算法

LRU是Least Recently Used的缩写,即最近最少使用,是一种常用的页面置换算法,选择最近最久未使用的页面予以淘汰。该算法赋予每个页面一个访问字段,用来记录一个页面自上次被访问以来所经历的时间 t,当须淘汰一个页面时,选择现有页面中其 t 值最大的,即最近最少使用的页面予以淘汰。

简单的 LRU 算法的实现思路是这样的:

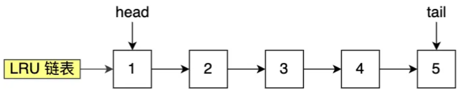
  1. 采用链表实现LRU算法,头部节点表示最近访问的节点,而尾部节点表示最近最久没有访问的节点。
  2. 当访问的的key所对应的节点在LRU链表中,就直接把该链表节点移动到链表的头部。
  3. 当访问的的key所对应的节点不在LRU链表中,就构建一个新的节点,放入到 LRU 链表的头部,如果LRU链表的大小超过一个阈值,还要淘汰 LRU 链表末尾的节点。

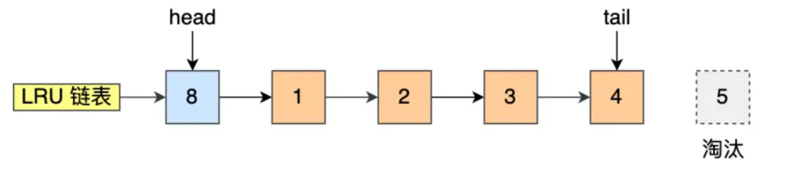
比如下图,假设 LRU 链表长度为 5,LRU 链表从左到右有 1,2,3,4,5。
在这里插入图片描述
如果访问了 3 ,因为 3 LRU链表中,所以把 3 移动到头部即可。
在这里插入图片描述
而如果接下来,访问了 8,因为 8 不在LRU链表中 ,所以需要先淘汰末尾的 5,然后再将 8 加入到头部。

在这里插入图片描述

LeetCode原题:460. LFU 缓存

在这里插入图片描述

class LRUCache {
public:LRUCache(int capacity):cap(capacity){}int get(int key) {if(map.find(key) == map.end()) return -1; //在map中找不到就返回-1auto key_value = *map[key];//找到了,获取对应的key_valcache.erase(map[key]);//将cache对应key_val的删除cache.push_front(key_value);//将key_val插入到lru头部map[key] = cache.begin();//更新映射return key_value.second;}void put(int key, int value) {if(map.find(key) == map.end()){if(cache.size() == cap)//map中没有key,但容量满了,需要删除lru链表的最后一个元素,同时将map的映射删除{map.erase(cache.back().first);cache.pop_back();}}else{cache.erase(map[key]);//map中有key,则删除cache中的key_val,并把它插入到lru头部}cache.push_front({key, value});map[key] = cache.begin();//更新映射}int cap;list<pair<int, int>> cache;//lru链表unordered_map<int, list<pair<int, int>>::iterator> map;//用于表示key_val是否存在,并指向lru链表中的具体位置
};

2、LFU算法

LFU是Least Frequently Used的缩写,即最近最不经常使用。择最近使用次数最少的页面予以淘汰。

对于每个节点,都需要维护其使用次数 count、最近使用时间 time。
cache容量为n,即最多存储n个节点。

那么当我需要插入新节点并且cache已经满了的时候,需要删除一个之前的节点。删除的策略是:优先删除使用次数count最小的那个节点,因为它最近最不经常使用,所以删除它。如果使用次数count最小值为min_cnt,这个min_cnt对应的节点有多个,那么在这些节点中删除最近使用时间time最早的那个节点(举个栗子:a资源和b资源都使用了两次,但a资源在5s的时候最后一次使用,b资源在7s的时候最后一次使用,那么删除a,因为b资源更晚被使用,所以b资源相比a资源来说,更有理由继续被使用,即时间局部性原理)。

可以采用哈希表+集合,集合负责对节点进行排序,哈希表则能在O(1)时间内查找key对应的节点。

LeetCode原题:460. LFU 缓存
在这里插入图片描述

class Node
{
public:int count, time, key, value;Node(int _count, int _time, int _key, int _value):count(_count),time(_time),key(_key),value(_value){}//重载小于bool operator<(const Node& node) const{return count == node.count ? time < node.time : count < node.count;}
};class LFUCache {
public://容量和时间戳int capacity, time;unordered_map<int, set<Node>::iterator> keyTable;set<Node> S;LFUCache(int _capacity) :capacity(_capacity),time(0){keyTable.clear();S.clear();}int get(int key) {//如果LFUCache为0if(capacity == 0){return -1;}//哈希表没有对应的key-valauto it = keyTable.find(key);if(it == keyTable.end()){return -1;}//从哈希表中获得旧的缓存Node cache = *(it->second);S.erase(cache);//更新旧缓存cache.count += 1;cache.time = ++time;//将缓存从新放入到哈希表和set中S.insert(cache);it->second = S.find(cache);return cache.value;}void put(int key, int value) {if(capacity == 0) {return;}auto it = keyTable.find(key);//哈希表没有对应的key-valif(it == keyTable.end()){//如果达到缓存容量上限if(keyTable.size() == capacity){//从哈希表和set中删除最近最少使用的缓存keyTable.erase(S.begin()->key);S.erase(S.begin());}//创建新缓存Node cache = Node(1, ++time, key, value);//将新缓存加入到哈希表和set中S.insert(cache);keyTable[cache.key] = S.find(cache);}else{//从哈希表中获得旧的缓存Node cache = *(it->second);S.erase(cache);//更新旧缓存cache.count += 1;cache.time = ++time;cache.value = value;//将缓存从新放入到哈希表和set中S.insert(cache);it->second = S.find(cache);}}
};

http://chatgpt.dhexx.cn/article/ww0Yiwq3.shtml

相关文章

LRU算法与LFU算法

LRU算法 LRU是Least Recently Used的缩写&#xff0c;即最近最少使用算法&#xff0c;是操作系统中页面置换算法的一种&#xff0c;由于内存中存放的页数有限&#xff0c;所以将最近没有使用到的算法会移出内存。 LRU原理&#xff1a; LRU原理如下图所示&#xff1a; 它会将最…

【算法】LFU及其优化

文章目录 什么是LFU&#xff1f;设计思路代码实现&#xff08;基础版本&#xff09;参考论文代码实现&#xff08;优化版本&#xff09;区别 什么是LFU&#xff1f; LRU及其实现 上文讲解了LRU&#xff0c;他是一个基于最近是否被访问来做缓存淘汰的策略。 那么今天介绍一个新…

LRU和LFU算法解析

文章目录 LRU和LFU算法解析LRULRU概念LRU算法实现LRU算法描述LRU算法图示LRU C代码代码测试 LFULFU概念LFU算法实现LFU算法描述LFU算法图示LFU C代码代码测试 总结 LRU和LFU算法解析 LRU LRU概念 LRU&#xff08;The Least Recently Used&#xff0c;最近最少未使用&#xf…

LRU和LFU的区别

对于web开发而言&#xff0c;缓存必不可少&#xff0c;也是提高性能最常用的方式。无论是浏览器缓存(如果是chrome浏览器&#xff0c;可以通过chrome:://cache查看)&#xff0c;还是服务端的缓存(通过memcached或者redis等内存数据库)。缓存不仅可以加速用户的访问&#xff0c;…

LFU算法族:LFU算法

LFU算法族相关文章目录汇总&#xff1a; LFU算法&#xff08;本文&#xff09;​​​​​​​ LFU-Aging算法 window-LFU算法 1、原理 LFU&#xff08;Least Frequently Used&#xff09;算法&#xff0c;即最少访问算法&#xff0c;根据访问缓存的历史频率来淘汰数据&…

LFU算法详解

LFU算法&#xff1a;least frequently used&#xff0c;最近最不经常使用算法 对于每个条目&#xff0c;维护其使用次数 cnt、最近使用时间 time。 cache容量为 n&#xff0c;即最多存储n个条目。 那么当我需要插入新条目并且cache已经满了的时候&#xff0c;需要删除一个之…

算法题就像搭乐高:手把手带你拆解 LFU 算法

f学算法认准labuladong 东哥带你手把手撕力扣???? 点击下方卡片即可搜索???? PS&#xff1a;以后每篇文章最后&#xff0c;labuladong 都会推荐一些自己学过的优质技术专栏&#xff0c;供读者参考。 上篇文章 算法题就像搭乐高&#xff1a;手把手带你拆解 LRU 算法 写了…

LRU LFU 概念、底层原理及其实现 超详细~

0. 前置提要 本篇约为8650字&#xff0c;阅读完需要约40~60分钟。主要介绍页面置换算法,LRU和LFU的原理及其实现&#xff0c;对应leetcode140和460&#xff0c;如果能给个赞就更好了^-^。 1.从内存置换算法说起 计算机的运行的程序和数据保存在内存中&#xff0c;内存的空间是有…

如何实现LFU缓存(最近最少频率使用)

目录 1.什么是LFU缓存&#xff1f; 2.LFU的使用场景有哪些&#xff1f; 3.LFU缓存的实现方式有哪些&#xff1f; 4.put/get 函数实现具体功能 1.什么是LFU缓存&#xff1f; LFU缓存是一个具有指定大小的缓存&#xff0c;随着添加元素的增加&#xff0c;达到容量的上限&…

LFU缓存策略算法

在之前的文章中&#xff0c;我们介绍了如何设计一个LRU算法–如何设计LRU Cache算法&#xff0c;今天我们再聊一聊另一种缓存策略LFU。目前博主个人博客已经搭建发布&#xff0c;后期相关文章也会发布在上面&#xff0c;大家有兴趣可以去上面学习&#xff0c;点击即可前往文青乐…

国内编程学习网站

在本文中&#xff0c;我们介绍了来自两岸三地的编程学习网站&#xff0c;通过它们&#xff0c;不仅可以一窥国内App开发的发展现状&#xff0c;而且这些网站各有特点&#xff0c;无论是主打游戏学习还是视频学习&#xff0c;对于想要自学的开发者而言&#xff0c;都是个好去处。…

如何高效的自学编程

现在的社会对于IT人才的需求越来越大&#xff0c;程序员的薪资水平在各个行业中都算比较高的。所以很多人都想往IT行业发展&#xff0c;已经身处这个行业的人也需要不断的学习新的知识&#xff0c;因为IT行业的技术更新实在是太快了&#xff0c;不像传统行业那样是越老越吃香。…

电脑编程自学(零基础自学编程怎么入门)

电脑编程自学入手:确定编程学习的方向。编程语言有多种:php,C++,C,C#,JAVA,Python等,每种语言都有不同的优缺点,可以根据自己的兴趣方向选择一门编程语言作为自己的学习目标。 基础阶段的语法学习。学习任何一门编程语言,都需要掌握其编程的语法规则,可以通过阅读一…

自学编程的 6 个致命误区

嗨&#xff0c;小伙伴们大家好&#xff0c;我是沉默王二。本篇文章来和大家聊聊自学编程中的一些误区——这是我在 B 站上看了羊哥的一期视频后有感而发的文章。因为确实有很多读者也曾私信问过我这些方面的问题&#xff0c;很有代表性&#xff0c;所以我就结合自己的亲身体会来…

java编程自学app_Java编程自学软件

Java编程自学软件是是一款Java学习软件。Java编程自学软件为用户提供Java语言&#xff0c;ISh和SQL 数据库编程等技术方便用户学习Java知识。有需要自学Java编程的小伙伴们可在华军软件园下载Java编程自学软件。 Java编程自学软件功能特色 专业化、具体化。 有真正意义上的实战…

c语言 软件编程入门自学,软件编程入门自学

文章目录[隐藏] 软件编程入门自学 作为界面&#xff0c;MFC方便上手&#xff0c;QT也不错。您好&#xff0c;自学编程建议从C语言开始。可以说60%~80%的程序员都是从C语言开始的。 众所周知&#xff0c;编程语言分为结构化编程语言和面向对象编程语言。结构化编程语言比面向对象…

自学编程,收藏好这7个免费网站,可省你上万块钱的学费

如果你要自学编程&#xff0c;一定要收藏好这7个网站&#xff0c;上面免费的优质教程很多&#xff0c;完全可以省去你上万块钱的学费&#xff01; 话不多说&#xff0c;直接上干货&#xff01; 第一个&#xff0c;W3school 一个主打图文教程的网站&#xff0c;不管是前端开发…

蛙跳算法优化VMD参数,惩罚系数,分解层数,matlab语言 ,最小包络熵为适应度函数。

蛙跳算法优化VMD参数&#xff0c;惩罚系数&#xff0c;分解层数&#xff0c;matlab语言 &#xff0c;最小包络熵为适应度函数。

粒子群算法(6)-----几个适应度评价函数

下面给出几个适应度评价函数&#xff0c;并给出图形表示 头几天机子种了病毒&#xff0c;重新安装了系统&#xff0c;不小心把程序全部格式化了&#xff0c;痛哭&#xff01;&#xff01;&#xff01;没办法&#xff0c;好多程序不见了&#xff0c;现在把这几个典型的函数重新编…

粒子群算法几个适应度评价函数

http://blog.csdn.net/niuyongjie/article/details/1619496 粒子群算法(6)-----几个适应度评价函数 标签&#xff1a; 算法图形function 2007-05-21 16:28 37960人阅读 评论(25) 收藏 举报 分类&#xff1a; 粒子群算法研究&#xff08;8&#xff09; 版权声明&#xff1…