题目
用一片74LS195寄存器和一片八选一数据选择器,设计一个移存型计数器,要求状态转移规律为:1→2→4→9→3→6→12→8→1→2……设计要求自启动,画出逻辑图。
知识点
中规模移位寄存器实现序列信号发生器的设计,数据选择器实现函数
解答
-
画出状态转移表:Y为反馈电路输入:

-
画出卡诺图:

得到Y的函数表达式:

-
由于74LS195有一个QD输出端,考虑吧QB QC QA作为数据选择器的地址端输入QD在数据端输入,整理Y得:

于是乎确定Di的输入:
D 0 = 1 D_0=1 D0=1
D 1 = Q D D_1 =Q_D D1=QD
D 2 = D 3 = D 5 = D 6 = D 7 = 0 D_2 = D_3 = D_5 = D_6 = D_7 = 0 D2=D3=D5=D6=D7=0
D 4 = Q D D_4 = ~Q_D D4= QD -
检验自启动:从卡诺图来看,未圈入的任意项为0,圈入的为1,来看下一状态;
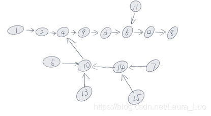
得到状态转移表:

得到状态转移图:

-
画出电路图:

















