离散型随机变量的概率分布

article/2025/10/21 14:20:20

这一小节我们一起学习几个离散型随机变量里的特殊的概率分布:几何分布、二项分布和泊松分布。

几何分布

乘风破浪的姐姐最近正在热播,还记得万茜小姐姐第一次个人solo的那段吉他弹唱吗?第一次她在台上弹错了,第二次虽然也有失误,但算是完整地弹了下来,假定她没有失误完成弹唱的概率是0.2,可以彩排两次,试一次或者两次就能成功的概率是多大?(如果第一次直接成功,则不进行第二次)

这是个概率的问题,还记得上一小节的内容吗?可以画个图来理解下这个问题。


已知:

P(X=1) =P(第一次成功) = 0.2

即第一次弹唱就能成功的概率是0.2。

如何求第一次没成功第二次才成功的概率呢?就是:

P(X=2) = P(第二次成功且第一次失败) = 0.2 x 0.8 = 0.16

回到问题本身,她试弹一次或者两次就能成功的概率是多少呢?加一起:

P(X=1) + P(X=2) = 0.36

这是假设她试弹不超过3次的前提下成功的概率,那如果要求她试弹10次,100次呢?一个一个算也是可以的,但未免太麻烦了些,通过前人一次一次算的过程中总结的规律,得到了几何分布的概率可以用如下公式快速计算:

p是成功的概率,q是失败的概率(1-p),结合到我们的案例里,p就是0.2,q就是0.8,有了这个公式,就不用我们一个一个算就能得出一个一劳永逸的方法了。

回过头来我们再想一下这个案例有什么特点,也就能得出符合什么条件可以使用几何分布了:

  • 进行一系列相互独立的试验
  • 每次试验可能成功,也可能失败,且单次试验成功的概率相同
  • 我们研究的主要是为了取得第一次成功需要进行多少次试验

代入到这个案例里就特别明显了,每次弹唱彩排都是相互独立的,每次弹唱可能成功也可能失败,且单次成功的概率都是0.2,而我们重点关心的则是首次成功需要进行多少次试验

下面是几何分布的形状,可以看出来,其实仅尝试一次就成功的概率是最大的。
几何分布

总结一下

二项分布

假设总共有5个单选题,每个问题都有4个选项,每回答对一题的概率是0.25,回答对1到题的概率是多少呢?

回答对一道题有3种情况:

  • 第一题答对,第二题第三题答错,概率是:0.25x0.75x0.75
  • 第一题答错,第二题答对,第三题答错,概率是:0.75x0.25x0.75
  • 第一题答错,第二题答错,第三题答对,概率是:0.75x0.75x0.25

归纳一下,P(X=1) = 3x0.75^2x0.25
这是回答对1道题,那么回答对5道题,r道题呢?

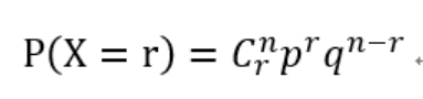
类似上述这种单选题一样包含两个结果(答对或答错)的试验其随机变量服从的分布就是二项分布,它们的特征可总结如下:

  • 一系列独立试验
  • 每次试验可能成功,也可能失败,且单次试验成功的概率相同(同几何分布)
  • 试验次数有限

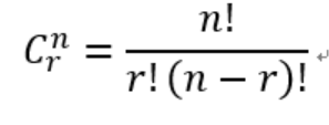
满足二项分布模型后,X表示n次试验中的成功次数,如果要求成功r次的其概率可以用如下公式快速计算:

其中,

它的形状是这样的,可以看出图形比较对称。

对比几何分布

相同:

  • 都是独立试验
  • 每次试验都有成功或失败

不同:

  • 几何分布:取得首次成功前要试验多少次
  • 二项分布:试验次数固定,求成功次数的概率

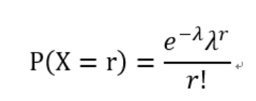
泊松分布

在一定时间范围内或指定面积/体积内某一事件出现的次数的分布,就属于泊松分布。

比如某企业每月发生事故的次数,单位时间内到底某一柜台的客户人数。

这与几何分布、二项分布不同,它没有一系列的试验,它是已知某一事件在特定区间内的平均发生次数,求发生r次事件的概率,符合泊松分布的条件是这样的:

  • 单独事件在给定时间/空间内随机、独立地发生
  • 已知该时间/空间内的事件发生率 入

满足泊松分布后,X表示给定区间内事件发生次数,发生率为 入,那么求给定区间内发生r次事件的概率就可以用如下公式计算:

泊松分布的形状取决于入的值,入越小,分布越向右偏斜,随着入变大,分布会月对称:

比如某企业每月发生事故的次数是3.4次,要求下周不发生事故的概率,不发生事故的意思就是X=0,那么:


http://chatgpt.dhexx.cn/article/Uu5qirFc.shtml

相关文章

正态分布是离散分布还是连续分布_什么是正态分布?知道它有什么用?

什么是正态分布?正态分布(Normal Distribution),也被称为高斯分布,代表着概率的分布情况,是统计学中的一个重要概念。 在科学理论不甚发达的过去,早期科学家们往往先从观察事物现象开始,发现、记录并试图归纳、总结,最后抽象出背后的规律。 当一组观察数据或样本涉及到“…

正态分布是离散分布还是连续分布_简单统计学|正态分布之连续数据的概率分布...

到目前为止,我们接触到的都是可以指定确切数值的概率分布。然而并非所有数据 集合都是如此,还有几类数据并不符合我们之前遇到的概率分布。我们将在这一章 里讲解所谓的连续型概率分布,并介绍最重要的概率分布类型之一——正态分布。 1. 离散分布并非无所不能 离散数据可取确…

负二项分布(一种离散分布)

负二项分布 负二项分布是伯努利分布的推广,它模拟了在指定(非随机)失败次数(表示为r)发生之前,一系列独立且同分布的伯努利试验中的成功次数 负二项分布可以用来确定一个系列中多于1次失败的概率 比如&…

正态分布是离散分布还是连续分布_正态分布,谁与争峰

大千世界随机现象众多,其分布各异。 按数据变量类型划分可以分为离散型与连续性两类: 离散型变量根据名称很好理解,就是数据的取值是不连续的。例如掷硬币就是一个典型的离散数据,因为抛硬币的就2种结果。你可以把离散数据想象成一块一块垫脚石,你可以从一个数值调到另一个…

离散分布的分布函数_数据分析|概率分布

当我们对一组数据作分析的时候,一定要明确的是,这组数据只是研究对象(population)中的一部分样本(sample)。我们只是对一部分样本进行分析,然后去推测出整个对象的规律。概率分布可以很好的发现数据的内在规律;又根据随机变量所属…

离散分布

离散随机变量只能取有限个离散值,取每个值都对应着发生的概率,随机变量的取值以及取值的概率就构成了随机变量的分布,经典的离散随机变量分布包括伯努利分布,二项分布,泊松分布,几何分布,负二项…

离散分布概率:几何分布、二项分布和泊松分布

离散分布主要包括3个重要的分布:几何分布、二项分布和泊松分布,这里主要介绍下这三种分布解决的典型概率问题,区别和联系。 1. 几何分布: 问题:查德在任意一次滑雪中(假定每次滑雪都是独立事件&#xff0…

离散分布总结

目录 离散分布的基础定义 经典离散分布 矩母函数 Moment Generating Function 切比雪夫定理 Tchebysheff’s Theorem 离散分布的基础定义 一个离散变量Y的概率分布可以表示成每个离散概率分布都满足以下两个条件: 对于每个y, ,所有y的非…

JS获取日历每个月有多少天

new Date(year, month, 0).getDate()使用 new Date() 创建时间对象时,如果 date 传入 0,就能直接通过 getDate() 获取到最后一天的日期

输入年月判断每月有多少天

/* * Copyright(c)2011,烟台大学计算机学院 * All right reserved. * 文件名称:test.cpp * 作者: 张凯 * 完成日期:2013年10月16日 * 版本号: v1.0 * 输入描述:输入年月 * 问题分析:先判断是闰年还是平年…

java编程三月有几天_3月有多少天

2019-04-19 阴历1993年3月26日到2014年3月26日一共多少天? 亲,1993阴历有2个三月,有闰一个月的,你指的是哪个农历三月啊? 我先给你算第一个三月,如果你是闰月的就自己再减掉一个月 93年阴历3月26日 阳历4月…

本月有多少天

上机内容:编写程序计算某年某月多少天 上机目的:练习使用switch * Copyright (c) 2012, 烟台大学计算机学院 * All rights reserved. * 作 者: 徐本锡 * 完成日期:2012 年 10 月27 日 * 版 本 号:v1.0 * * …

jqery获取每个月天数_jQuery日期选择器-正确计算每个月有多少天

如下图所示,我们有时需要做这样的一个日期选择表单: 相对的难点是如何正确显示2月份的具体天数。通常是28天,闰年是29天。 HTML结构: --- 年 --- 月 --- 日 jQuery代码: function contactFormDate() {if ($(.birthday).length != 0) {/* 填充年份下拉菜单 */ $cur_year = …

java日期输入12月以上,java 编写程序,打印1-12月每个月各有多少天

java 编写程序,打印1-12月每个月各有多少天 关注:134 答案:5 mip版 解决时间 2021-02-05 15:07 提问者预订小鲜肉 2021-02-04 17:41 java 编写程序,打印1-12月每个月各有多少天 最佳答案 二级知识专家琉璃知世 2021-02-04 19:07 通过Calendar 自带的方…

用java计算每月天数_如何自动计算每月天数(快逸免费版)

对于一串有规律的数字,如果靠手动填写就显的机械化。例如,一年有十二个月,一个月有多少天都是有规律的,对于这样的数字我们可以用to函数去实现,但是如果随便输入一个年份,随便输入一个月份,自动…

scipy基础—io

scipy是构建在numpy的基础之上的,它提供了许多的操作numpy的数组的函数。scipy.io包提供了多种功能来解决不同格式的文件的输入和输出。 举个例子: import numpy as np import scipy.io as ioif __name__ __main__:B np.mat([[12], [-2], [10]])x [1…

磁盘IO是什么意思?如何判断服务器硬盘io性能好不好?

IO实际上是计算机用语,也写作I/O,指输入/输出(Input/Output)。硬盘IO就是指对字节的读取速度,即硬盘的读写能力。这里我们只讨论服务器磁盘IO。服务器硬盘IO的性能也是服务器硬件配置中需要考虑的问题。那么如何判断服务器硬盘IO的性能好不好…

【io】io等待为什么引发cpu过高?

磁盘读频繁,数据量大 ---> iowait高 ---> CPU飙升 IO(input output)主要指:文件IO,网络IO。 “等待IO就绪“究竟等的什么? 你一定不止在一个地方看到类似"cpu等待IO就绪,线程挂起.…

platformIO环境安装

使用Platform IO作为Arduino的交叉编译环境 文章目录 使用Platform IO作为Arduino的交叉编译环境1.1 PlatformIO简介1.2 VScode下安装PlatformIO1.3软件启动界面1.4 软件配置 2. 开发平台和固件安装 最新安装方法请查看我另一篇博文: https://blog.csdn.net/kimiyan…

文件IO、标准IO的区别及其效率

系统IO:Unix/Linux下的系统文件IO,即文件访问机制不经过操作系统内核的缓存,数据直接在磁盘和应用程序地址空间进行传输。 标准IO:带缓存的IO,又称为标准IO(C标准库中提供了标准IO库,即stdio),…