Bezier曲线的生成方法
生成一条Bezier曲线实际上就是要求出曲线上的点。
1.根据定义直接生成Bezier曲线
定义:
其中
![]()
那么生成步骤为:
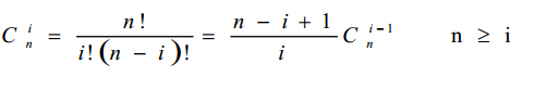
①首先给出 的递归计算式:

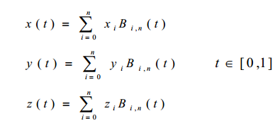
②:将表示成分量形式

由于的计算量大,算法效率不高。
2.Bezier曲线的递推(de Casteljau)算法
Bezier曲线上的任一个点p(t),都是其它相邻线段的同等比例(t)点处的连线,再取同等比例(t)的点再连线,一直
取到最后那条线段的同等比例(t)处,该点就是Beizer曲线上的点(t)。
以二次Bezier曲线为例,其中的n表示从哪个点作为起点,i表示i次,两个直线相连次数加1:
带入后得到:![]()
下面开始递推:
二次Bezier曲线(三个点)可以定义为分别由前两个顶点(P0,P1)和后两个顶点(P1,P2)决定的一次Bezier曲线的线性组合。
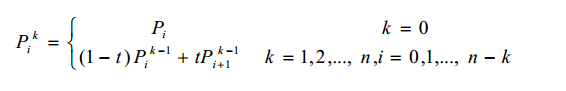
由(n+1)个控制点Pi(i=0,1,...,n)定义的n次Bezier曲线可被定义为分别由前、后n个控制点定义的两条(n-1)次Bezier曲线P0n-1与P1n-1的线性组合:
即:
这个大家可以在纸上画画三次,四次,会对这个递推式印象更深
由此得到de Casteljau算法:

优点:稳定可靠,直观简便。
3.Bezier曲线计算举例



















