关于贝塞尔曲线的详细数学原理及公式可参考:
贝塞尔曲线_百度百科
我们来谈谈贝塞尔曲线
本文给出了一种用Java实现贝塞尔曲线的方法,并且可以用鼠标拖动改变锚点。
效果演示图:

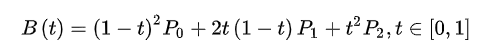
这里引用百度百科给出的公式:
二次方公式
三次方公式
核心算法代码:
// 二次贝塞尔曲线
for (double k = t; k <= 1 + t; k += t) {double r = 1 - k;x = Math.pow(r, 2) * keyPointP[0].getX() + 2 * k * r * keyPointP[1].getX()+ Math.pow(k, 2) * keyPointP[2].getX();y = Math.pow(r, 2) * keyPointP[0].getY() + 2 * k * r * keyPointP[1].getY()+ Math.pow(k, 2) * keyPointP[2].getY();g.drawOval((int) x, (int) y, 1, 1);// 画圆的方式比下面注释掉的画线效果更好// g.drawLine((int) x, (int) y, (int) x, (int) y);
}
// 三次贝塞尔曲线
for (double k = t; k <= 1 + t; k += t) {double r = 1 - k;x = Math.pow(r, 3) * keyPointP[0].getX() + 3 * k * Math.pow(r, 2) * keyPointP[1].getX()+ 3 * Math.pow(k, 2) * (1 - k) * keyPointP[2].getX() + Math.pow(k, 3) * keyPointP[3].getX();y = Math.pow(r, 3) * keyPointP[0].getY() + 3 * k * Math.pow(r, 2) * keyPointP[1].getY()+ 3 * Math.pow(k, 2) * (1 - k) * keyPointP[2].getY() + Math.pow(k, 3) * keyPointP[3].getY();g.drawOval((int) x, (int) y, 1, 1);
}
完整代码:
package test;import java.awt.Color;
import java.awt.Dimension;
import java.awt.Graphics;
import java.awt.Graphics2D;
import java.awt.RenderingHints;
import java.awt.event.MouseAdapter;
import java.awt.event.MouseEvent;
import java.awt.event.MouseMotionAdapter;
import java.awt.geom.Ellipse2D;
import java.awt.geom.Point2D;import javax.swing.JFrame;
import javax.swing.JPanel;/*** @author: happyaaakkk* @date : 2020年4月28日* @Description:贝塞尔曲线测试*/
public class TestBezier {/*** 存关键点的x、y的数组*/private static Point2D[] keyPointP;/*** 存关键点的x、y、width、height的数组*/private static Ellipse2D.Double[] keyPointE;/*** 关键点数*/private static int keyPointNum;/*** 偏移量,越小曲线越精细*/private static double t = 0.001;/*** 显示蓝色辅助线的标记*/private static boolean flagShow = true;static class BezierPanel extends JPanel {/*** */private static final long serialVersionUID = 1L;/*** 关键点编号*/private int keyPointID = -1;BezierPanel() {this.addMouseListener(new MouseAction());this.addMouseMotionListener(new MouseMotion());}@Overrideprotected void paintComponent(Graphics gs) {// 重写repaintsuper.paintComponent(gs);Graphics2D g = (Graphics2D) gs;g.setRenderingHint(RenderingHints.KEY_ANTIALIASING, RenderingHints.VALUE_ANTIALIAS_ON);g.setColor(Color.BLUE);if (flagShow) {for (int i = 0; i < keyPointNum; i++) { // 绘制圆点if (i > 0 && i < (keyPointNum - 1)) {g.fill(keyPointE[i]);// 中间的关键点画实心圆} else {g.draw(keyPointE[i]);// 第一个和最后一个画空心圆}if (keyPointNum > 1 && i < (keyPointNum - 1)) {g.drawLine((int) keyPointP[i].getX(), (int) keyPointP[i].getY(), (int) keyPointP[i + 1].getX(),(int) keyPointP[i + 1].getY());// 画关键点之间连接的直线}if (i == 0) {g.drawString("A", (int) keyPointE[i].x, (int) keyPointE[i].y);} else if (i == 1) {g.drawString("B", (int) keyPointE[i].x, (int) keyPointE[i].y);} else if (i == 2) {g.drawString("C", (int) keyPointE[i].x, (int) keyPointE[i].y);} else if (i == 3) {g.drawString("D", (int) keyPointE[i].x, (int) keyPointE[i].y);}}}// 二次贝塞尔曲线if (keyPointNum == 3) {double x, y;g.setColor(Color.RED);for (double k = t; k <= 1 + t; k += t) {double r = 1 - k;x = Math.pow(r, 2) * keyPointP[0].getX() + 2 * k * r * keyPointP[1].getX() + Math.pow(k, 2) * keyPointP[2].getX();y = Math.pow(r, 2) * keyPointP[0].getY() + 2 * k * r * keyPointP[1].getY() + Math.pow(k, 2) * keyPointP[2].getY();g.drawOval((int) x, (int) y, 1, 1);// 画圆的方式比下面注释掉的画线效果更好// g.drawLine((int) x, (int) y, (int) x, (int) y);}}// 三次贝塞尔曲线if (keyPointNum == 4) {double x, y;g.setColor(Color.RED);for (double k = t; k <= 1 + t; k += t) {double r = 1 - k;x = Math.pow(r, 3) * keyPointP[0].getX() + 3 * k * Math.pow(r, 2) * keyPointP[1].getX()+ 3 * Math.pow(k, 2) * (1 - k) * keyPointP[2].getX() + Math.pow(k, 3) * keyPointP[3].getX();y = Math.pow(r, 3) * keyPointP[0].getY() + 3 * k * Math.pow(r, 2) * keyPointP[1].getY()+ 3 * Math.pow(k, 2) * (1 - k) * keyPointP[2].getY() + Math.pow(k, 3) * keyPointP[3].getY();g.drawOval((int) x, (int) y, 1, 1);}}}class MouseAction extends MouseAdapter {@Overridepublic void mouseClicked(MouseEvent e) {// 点击鼠标左键if (e.getButton() == MouseEvent.BUTTON1) {if (keyPointNum < 4) {double x = e.getX();double y = e.getY();keyPointP[keyPointNum] = new Point2D.Double(x, y);keyPointE[keyPointNum] = new Ellipse2D.Double(x - 4, y - 4, 8, 8);keyPointNum++;repaint();}} // 点击鼠标右键else if (e.getButton() == MouseEvent.BUTTON3) {flagShow = false;// 隐藏蓝色辅助线,但并不能真正移除repaint();}}@Overridepublic void mousePressed(MouseEvent e) {// 按下鼠标,判断是不是点击了关键点for (int i = 0; i < keyPointNum; i++) {if (keyPointE[i].contains((Point2D) e.getPoint())) {keyPointID = i;break;} else {keyPointID = -1;}}}}class MouseMotion extends MouseMotionAdapter {@Overridepublic void mouseDragged(MouseEvent e) {// 鼠标拖动关键点if (keyPointID != -1) {double x = e.getX();double y = e.getY();keyPointP[keyPointID] = new Point2D.Double(x, y);keyPointE[keyPointID] = new Ellipse2D.Double(x - 4, y - 4, 8, 8);repaint();}}}}public TestBezier() {JFrame f = new JFrame();f.setTitle("Bezier Test");f.setDefaultCloseOperation(JFrame.EXIT_ON_CLOSE);f.setSize(800, 600);f.setLocationRelativeTo(null);keyPointNum = 0;keyPointP = new Point2D[4];keyPointE = new Ellipse2D.Double[4];BezierPanel bezierPanel = new BezierPanel();bezierPanel.setPreferredSize(new Dimension(800, 600));bezierPanel.setBackground(Color.WHITE);f.setContentPane(bezierPanel);f.setVisible(true);}public static void main(String[] agrs) {new TestBezier();}
}



















