概率论——二维正态分布及二维几何分布

article/2025/10/9 6:03:50

在这里插入图片描述
在这里插入图片描述
在这里插入图片描述
在这里插入图片描述
在这里插入图片描述在这里插入图片描述

在这里插入图片描述在这里插入图片描述
在这里插入图片描述


http://chatgpt.dhexx.cn/article/SRhD8BqR.shtml

相关文章

多维联合正态分布代码matlab(以二维为例)

clc; close all; clear; % 多维联合高斯概率分布 %% % 二维联合概率分布%方法一:调包 mu zeros(1,2); % 均值 sigma [1 , 0.9; 0.9 , 1]; % 协方差 rng(default) % For reproducibility X mvnrnd(mu,sigma,1000);y mvnpdf(X,mu,sigma); figure scatter3…

二维高斯分布(Two-dimensional Gaussian distribution)

1、多维高斯分布的概率密度函数 多维变量 X ( x 1 , x 2 , . . . x n ) X(x_1,x_2,...x_n) X(x1​,x2​,...xn​)的联合概率密度函数为:         其中:   d:变量维度。对于二维高斯分布,有d2;    u ( u 1 u 2 … u…

一维、二维正态分布概率密度曲线的绘制

在MATLAB中使用 Y normpdf(X,MU,SIGMA)函数求一维正态分布的概率密度,其中X为随机矢量,MU为期望,SIGMA为标准差 matlab代码如下: x-8:0.1:8; y1normpdf(x,0,1);%期望为0,标准差为1的正态分布 y2normpdf(x,1,2);%期望…

二维正态分布的参数与概率密度图形

用 Microsoft Mathematics 绘制二维正态分布的概率密度图形,参数可以交互地调整。 N(μ1, μ2; σ1, σ2, ρ) 下载 二维正态概率密度.gcw 然后点击重绘图形 μ1 1, μ2 1, σ1 0.49, σ2 0.49, ρ 0 μ1 0, μ2 0, σ1 0.49, σ2 0.49, ρ 0 μ1 0, …

正态分布,二维正态分布,卡方分布,学生t分布——概率分布学习 python

目录 基本概念 概率密度函数(PDF: Probability Density Function) 累积分布函数(CDF: Cumulative Distribution Function) 核密度估计((kernel density estimation) 1.正态分布 概率密度函数(pdf) 正态分布累积分布函数(CD…

概率第三章 二维随机变量及其分布

目录 一、二维随机变量及其分布 1、二维随机变量 2、二维离散型随机变量(X,Y) 3、二维连续型随机变量(X,Y) 二、二维随机变量的独立性 三、二维均匀分布和二维正态分布 二维均匀分布 二维正态分布 四、二个随机变量函数Zg(X,Y)的分布 X、Y均为离散型随机变量&#xf…

一维正态分布、二维正态分布的matlab实现

%%%%%%%%%%%%%%%%%%%%%%%%%%%%%%%%%%%%%%%%%% %本程序用于产生一维正态分布、二维正态分布 %%%%%%%%%%%%%%%%%%%%%%%%%%%%%%%%%%%%%%%%%% %绘制一维正态分布 xlinspace(-3,3); ynormpdf(x,0,1); figure(1) plot(x,y,r); %绘制二维正态分布 x-20:0.5:20; y-20:0.5:20; mu[-1,2];…

Matlab二维正态分布可视化

高维分布一直都是一个很抽象的概念,本人在学的时候很多概念不太能理解,于是使用了Matlab进行了可视化。并对均值、方差以及相关系数进行了调整。  图中x,y为两个变量的取值,z为出现的概率密度。 图1 三维图1 图2 俯视图1 变量x的均值为0&…

概统 | 连续型概率分布——正态分布(二维)

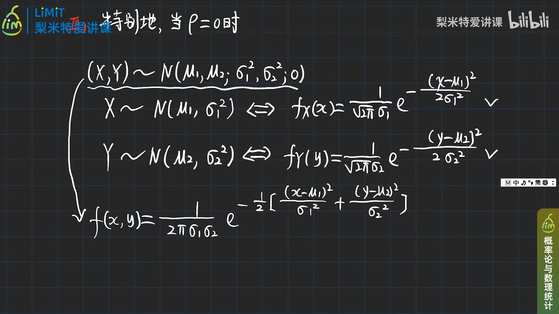
​ 编辑 设二维连续型随机变量(X,Y)的联合概率密度为

PT_二维连续型随机变量(二维均匀分布@二维正态分布)

文章目录 PT经典二维分布二维均匀分布二维正态分布二维均匀分布性质例 正态分布小结一维正态分布二维正态分布 二维正态分布二维正态概率密度边缘密度函数😊分布函数😊性质独立性二维随机变量函数的相关分布规律确定性和不确定性🎈正态分布的…

【笔记】概统论与数理统计第五章知识点总结

5.1 正态分布及其密度函数和分布函数 正态分布是自然界中最常见的分布,很多特征都服从正态分布,背后的原理是中心极限定理 1. 标准正态分布X~N(0, 1) 随机变量X的概率密度函数φ(x)随机变量x的分布函数𝝓(𝒙) 性质(偶…

【概率论】5-10:二维正态分布(The Bivariate Normal Distributions)

title: 【概率论】5-10:二维正态分布(The Bivariate Normal Distributions) categories: - Mathematic - Probability keywords: - The Bivariate Normal Distributions toc: true date: 2018-04-05 22:03:55 Abstract: 本文介绍第一个多变量连续分布——双变量正态分布(本篇内…

连续型概率分布——正态分布(二维)

1. 定义&#xff1a;设二维连续型随机变量&#xff08;X&#xff0c;Y)的联合概率密度为 其中μ1&#xff0c;μ2&#xff0c;σ1&#xff0c;σ2&#xff0c;ρ均为常数&#xff0c;且σ1>0, σ2>0, |ρ|<1则称&#xff08;X&#xff0c;Y&#xff09;服从参数为μ1&…

【考研数学】三. 微分方程

文章目录 三. 微分方程1. 概念理解2. 求一阶微分方程的通解的方法2.1 可分离变量法2.2 换元法2.3 公式法&#xff08;线性&#xff09;2.4 变量替换&#xff08;非线性&#xff09; 3. 二阶微分方程的通解3.1 二阶常系数齐次微分方程的通解3.2 二阶常系数非齐次微分方程的通解3…

PKM是什么意思?

原创不易,麻烦点个关注,点个赞,谢谢各位。 PKM是什么意思? 这三个字母代表着:Personal Knowledge Management,个人知识管理系统。简单地说,就是构建一个系统,把你重要的信息都放在里面管理起来。 PKM? 锁定目标,正向学习 周期整理,合理保存 积极共享,树立品牌 大…

字符串匹配的KPM算法

转至&#xff1a;http://www.ruanyifeng.com/blog/2013/05/Knuth–Morris–Pratt_algorithm.html 字符串匹配是计算机的基本任务之一。 举例来说&#xff0c;有一个字符串"BBC ABCDAB ABCDABCDABDE"&#xff0c;我想知道&#xff0c;里面是否包含另一个字符串"…

学习报告:kmp

我们应该都知道一个这样子的题目&#xff0c; 输入两个字符串&#xff0c;求一个字符串在另一个字符串出现的次数&#xff0c;我们可以使用两个for循环来解决这个事&#xff0c;可是这个方法的时间要太久了&#xff0c;所以就需要我们kmp&#xff0c;我们先来介绍一个表 这个表…

图解+原理推导完全读懂KPM算法

文章目录 串定长顺序存储方式串的模式匹配BF算法KMP算法KMP算法原理KMP算法实现求模式串T的next值算法 时间复杂度分析BF算法分析KMP算法分析KMP算法与BF算法比较 串定长顺序存储方式 我们显式地在串的索引为0处存储串长。 #define MAXSTRLEN 255 // 用户可在255以内定义最…

英文打字速度180kpm

刚测了一下打字&#xff1b; 基本在180kpm左右&#xff1b; 作为程序员应该足够用了&#xff1b; 我看了一下kpm的意思&#xff1b; 请问英文的打字速度的KPM要多少才是一般录入员的速度呢?我177KPM是高还是低呀??? - ...... 一分钟要打60个字以上,大约要打420kpm,你的17…

4. 串的【朴素模式匹配算法】、【KPM算法:求next数组、nextval数组】

串的模式匹配:在主串中,找到与模式串相同的子串,并返回其所在位置。 其实就是给出一个串abc,找到abc在主串的位置【abc都要匹配】 模式串:给出一个串abc 子串:主串中的abc【可能没有】 文章目录 1. 串的朴素模式匹配算法1.1 方法一:用k记录位置1.2 方法二:不用k2. KPM算…